Me lo explica alguien paso a paso
Realiza la siguiente suma algebraica
x/x²+x-2/x-12x/x³-x)
Descompon en factores
x³-5x²+2x+8
2x³-8x²+8x

Vamos con la primera expresión (observa que su coeficiente principal es 1).
Observa que 2 es una raíz del polinomio, por lo que tienes que (x-2) es uno de sus factores;
luego, divides la expresión por (x-2), por ejemplo con la Regla de Ruffini, y el cociente queda: x2-3x-4;
luego, aplicas la fórmula de las raíces para un polinomio cuadrático, y tienes que -1 y 4 son raíces del cociente,
por lo que tienes qu (x+1) y (x-4) son sus factores;
luego, tienes que la expresión queda factorizada:
x3 - 5x2 + 2x + 8 = (x-2)*(x+1)*(x-4).
Espero haberte ayudado.
Hola me podrían ayudar con este ejercicio
Sean los puntos P(8, 13, 8) y Q(-4,-11,-8) se considera el plano de π perpendicular a PQ que pasa por su punto medio.
a)Obtener la ecuación de π.
b)Calcula la proyección del punto O (0,0,0) sobre π
c) Hallar el volumen del tetraedro determinado por los puntos en los que el plano π corta a los ejes coordenadas y el origen de coordenadas
Muchas gracias.
Hola, alguien podría ayudarme a resolver el siguiente problema: El cociente de una división es 6; el resto es la mitad del cociente; y el divisor es cuatro veces el cociente. Calcular el dividendo.
Gracias, un saludo

Hola,
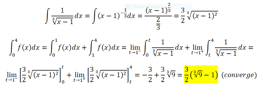
estoy revisando exámenes de años anteriores y mi pregunta és si lo de la imagen es correcto, ya que pensaba que en una raiz cúbica el dominio siempre eran todos los numeros reales.
Gracias.
Para estudiar el dominio de una función racional, recuerda que tienes que ver cuando el denominador es 0, y luego el dominio seran todos los reales menos lo que hagan el denominador 0. En este caso, seran todos los reales excepto los que raiz cubica (x-1) = 0 --> x-1 = 0 --> x = 1. Por tanto, son todos los reales menos el 1.
Saludos.