Disculpen la molestia es que el otro enunciado lo redacte mal, entonces
lo vuelvo a resubir muchas gracias por la ayuda de antemano






Has planteado bien la matriz incógnita B (que tiene cuatro filas y dos columnas), has planteado bien los productos que corresponden, y has obtenido correctamente el sistema de cuatro ecuaciones con ocho incógnitas:
5a + 3e + 4g = 6, de aquí despejas: e = (- 5a - 4g + 6)/3 (1)
5b + 3f + 4h = 5, de aquí despejas: f = (- 5b - 4h + 5)/3 (2)
- a + 2c + g = 3, de aquí despejas: c = (a - g + 3)/2 (3)
- b + 2d + h = 5, de aquí despejas: d = (b - h + 5)/2 (4),
observa que cada una de las incógnitas que hemos despejado en las ecuaciones señaladas (1) (2) (3) (4) es independiente de las demás ecuaciones (observa que no tienes dónde sustituirlas), por lo tanto, este sistema tiene infinitas soluciones, y existen infinitas matrices B cuyos elementos quedan expresados:
B =
a b
(a - g + 3)/2 (b - h + 5)/2
(- 5a - 4g + 6)/3 (- 5b - 4h + 5)/3
g h
con a, b, g, h pertenecientes al conjunto de los números reales.
Espero haberte ayudado.

Tienes la ecuación trigonométrica:
4*sen2x*cos2x = 1/4, observa que en el primer miembro tienes un cuadrado perfecto, lo escribes y queda:
(2*senx*cosx)2 = 1/4, aplicas la identidad trigonométrica del seno del doble de un ángulo en el argumento del cuadrado y queda:
( sen(2x) )2 = 1/4, haces pasaje de potencia como raíz, y tienes cuatro opciones:
a)
sen(2x) = - 1/2, compones en ambos miembros con la función inversa del seno y queda:
2x = - π/6 + 2*k*π, con k ∈ Z (en el cuarto cuadrante),
divides por 2 en todos los términos de la ecuación y queda:
x = - π/12 + k*π, con k ∈ Z;
b)
sen(2x) = - 1/2, compones en ambos miembros con la función inversa del seno y queda:
2x = - 5*π/6 + 2*k*π, con k ∈ Z (en el tercer cuadrante),
divides por 2 en todos los términos de la ecuación y queda:
x = - 5π/12 + m*π, con m ∈ Z;
c)
sen(2x) = 1/2, compones en ambos miembros con la función inversa del seno y queda:
2x = π/6 + 2*n*π, con n ∈ Z (en el primer cuadrante),
divides por 2 en todos los términos de la ecuación y queda:
x = π/12 + n*π, con n ∈ Z;
d)
sen(2x) = - 1/2, compones en ambos miembros con la función inversa del seno y queda:
2x = 5*π/6 + 2*p*π, con p ∈ Z (en el segundo cuadrante),
divides por 2 en todos los términos de la ecuación y queda:
x = 5π/12 + p*π, con p ∈ Z.
Espero haberte ayudado.

Vamos con una orientación.
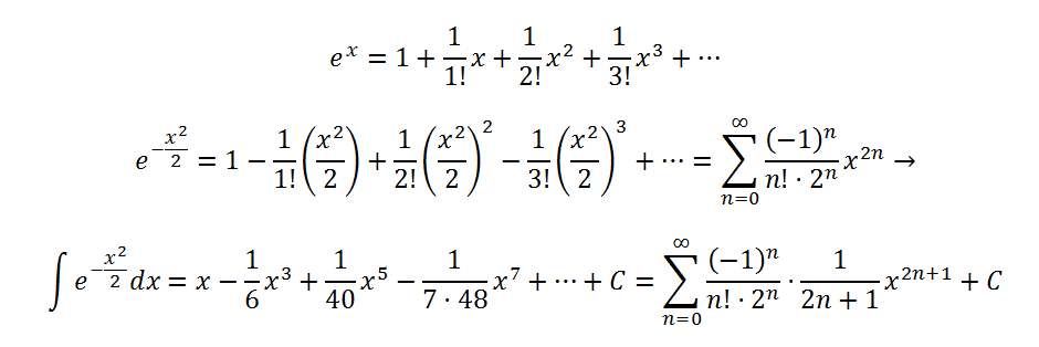
Recuerda la expresión del Polinomio de Taylor centrado en c = 0 asociado a la función exponencial, cuya expresión general es f(u) = eu:
T(u) = ∑(k=1,∞) (1/k!)*uk.
Luego, plantea la sustitución (cambio de variable): u = - v/2, sustituyes y queda:
T(v) = ∑(k=1,∞) (1/k!)*(-v/2)k = ∑(k=1,∞) (1/k!)*(-1*v/2)k = ∑(k=1,∞) (1/k!)*(-1)k*vk/2k= ∑(k=1,∞) (-1)k*(1/k!)*(1/2k)*vk.
Luego, plantea la sustitución (cambio de variable): v = x2, sustituyes y queda:
T(x) = ∑(k=1,∞) (-1)k*(1/k!)*(1/2k)*(x2)k = ∑(k=1,∞) (-1)k*(1/k!)*(1/2k)*x2k, que es el Polinomio de Taylor asociado a la función cuya expresión es: G(x) = e-x^2/2.
Luego, solo queda que sustituyas en la expresión de la función cuya expresión g(x) tienes en el enunciado, e integres término a término, y emplees los términos del Polinomio de Taylor que sean necesarios, según la aproximación que necesites para calcular los valores de dicha función.
Haz el intento de continuar la tarea, y si te es necesario no dudes en volver a consultar.
Espero haberte ayudado.
2) Una plancha metálica de 30[cm] de frente y 100[cm] de profundidad, se dobla como lo muestra la figura de frente y se construye una canaleta con base 10[cm] y “aletas” del mismo largo inclinadas un ángulo 𝛼 con respecto a la vertical. Calcular el ángulo óptimo para que la canaleta pueda contener un volumen de agua máximo. las aletas y la base valen 10 cm,