Foro de preguntas y respuestas de Matemáticas

logo beUnicoos
Los foros de unicoos se han unificado en nuestra nueva plataforma beUnicoos. Para dejar nuevas preguntas deberás hacerlo allí, donde además podrás encontrar nuevas asignaturas y herramientas para ayudarte más con tus estudios.

  • icon

    Kainanteh
    el 17/5/17

    Tengo unas dudas en este ejercicio:

    - Para el apartado b) he puesto dos formas de realizar el ejercicio la 1 que es sacando la base y la altura, y la 2 que es con formula, me gustaria saber si son equivalentes, la 1 diria que no esta bien planteado

    - La formula para resolver el b) y el d) (area y volumen), me gustaria saber en se basan esas formulas, por ejemplo si me pidieran el area de un cuadrado con cuatro puntos seria la misma formula quitando el 1/2?

    replythumb_up0 voto/sflag
    icon

    César
    el 17/5/17

    Para la ultima mira este video   el tetraedro seria 1/6 del producyo mixto


    thumb_up1 voto/sflag
    icon

    César
    el 17/5/17

    https://www.youtube.com/watch?v=SeroDDEq7SI&t=33s

    thumb_up1 voto/sflag
    icon

    Kainanteh
    el 18/5/17

    Entonces como seria si me pidieran el área de un cuadrado dándome cuatro vértices ?

    thumb_up0 voto/sflag
  • icon

    Marta
    el 17/5/17

    Hola, me podéis ayudar a representar el ejercicio 7?

    replythumb_up0 voto/sflag
    icon

    César
    el 17/5/17

    Podria ser así 


    thumb_up0 voto/sflag
  • icon

    David Avalos Fernàndez
    el 17/5/17

    Alguien me podría ayudar a encontrar la 1 DERIVADA??

    replythumb_up0 voto/sflag
    icon

    Antonio Silvio Palmitano
    el 17/5/17

    Debes aplicar la Regla del Producto:

    y = u*v, luego:

    y ' = u ' * v + u * v '.

    Tienes:

    u = 5x, entonces: u ' = 5,

    v = senx, entonces: v ' = cosx.

    Y solo falta que sustituyas en la expresion de la funcion derivada.

    Espero haberte ayudado.

    thumb_up1 voto/sflag
    icon

    David Avalos Fernàndez
    el 17/5/17

    Sii gracias🙄

    thumb_up0 voto/sflag
  • icon

    LUCIA ROLDAN HERNANDEZ
    el 17/5/17

    holaaa!! alguien me podría explicar como se resuelve graficamente este sistema:

    x+y=7

    3x - y= 9

    por los sistemas de  igualación, sustitución y reducción se, pero grafico no... :(


    replythumb_up0 voto/sflag
    icon

    Guillem De La Calle Vicente
    el 17/5/17


    thumb_up2 voto/sflag
  • icon

    David Avalos Fernàndez
    el 17/5/17

    Alguien me podría ayudar a encontrar la 1 derivada de esta FUNCIÓN?? No se ahora como sacar el seno. Gracias

    replythumb_up0 voto/sflag
    icon

    Guillem De La Calle Vicente
    el 17/5/17


    thumb_up2 voto/sflag
  • icon

    Rolando Irribarra
    el 17/5/17

    Buenas unicoos, me podrían ayudar un poco con este ejercicio matricial de álgebra lineal?


    replythumb_up0 voto/sflag
    icon

    Antonio
    el 17/5/17

    Debes sustituir cada uno de los tres pares de valores en la ecuación con lo que tendrás tres ecuaciones con tres incognitas

    y luego resolver el sistema aplicando uno de los varios métodos que existen

    thumb_up0 voto/sflag
  • icon

    Luz
    el 17/5/17
    flagflag

    Hola unicoos,esto como seria?? Tengo examen y en foro de quimica no contestan!!!

    Nombrar la enzima que cataliza la reaacion:


    replythumb_up0 voto/sflag
    icon

    David
    el 19/5/17

    Ten paciencia.. Todos los días nuestros profesores revisan los foros, que te recuerdo son gratis...
    En este foro no podemos ayudarte con tu duda,.

    thumb_up0 voto/sflag
  • icon

    Luz
    el 17/5/17
    flag

    Hola unicoos,podrian ayudarme con esto??? Tengo examen y en foro de quimica no contestan!!!

    Cuando dice dado el siguiente monosacarido:  CH2 OH  CO  CHOH  CHOH  CHOH  CH2OH      como seria esto??

    a)Quimicamente como lo definiria 

    b) Formule los 2 anomeros del mismo.

    c) Cuales son sus carbonos asimetricos

    d) Cual es su carbono anomerico

    replythumb_up0 voto/sflag
    icon

    Jaber Matni
    el 17/5/17

    Yo tambien tengo examen


    thumb_up0 voto/sflag
  • icon

    Guillem De La Calle Vicente
    el 17/5/17

    ¿Cómo se forma un numero complejo imaginario en álgebra?

    replythumb_up0 voto/sflag
    icon

    Antonius Benedictus
    el 17/5/17

    Lee las dos primeras páginas del documento que te envío.

    thumb_up0 voto/sflag
  • icon

    Guillem De La Calle Vicente
    el 17/5/17

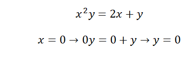
    Sean x,y∈ℛ. Demuestra que si x²y=2x+y, entonces si y≠0 entonces x≠0.

    replythumb_up0 voto/sflag
    icon

    Antonius Benedictus
    el 17/5/17


    thumb_up0 voto/sflag
    icon

    Antonio
    el 17/5/17


    thumb_up0 voto/sflag