Un entusiasta de la salud quiere tener un mínimo de 36 unidades de vitamina A al día, 28 unidades de vitamina C y 32 unidades de vitamina D. Cada pastilla de la marca1 costa 0,03 € y proporciona 2 unidades de vitamina A, 2 de C y 8 de D.
Cada pastilla de la marca2 costa 0,04 € y proporciona 3 unidades de vitamina A, 2 de C y 2 de D.
Cuántas pastillas de cada marca tendrá que comprar para cada día si quiere cubrir las necesidades básicas con el menor coste posible?
Hola Unicoos, me pueden decir si tengo algún fallo en estos dominios y me podrían ayudar en el último?
Muchas gracias.

Hola todo esta perfecto!!
Veamos el último caso:
Para el numerador
2 - x >= 0 , de donde x <= 2
Para el denominador
x^2 +x+2 ! 0
Como ya viste no encuentras raíces reales que anulen al denominador , por lo tanto en el denominador x puede tomar cualquier valor y nunca va ser cero.
La única restricción es la del numerador y es la que en este caso da el dominio
( - infinito , 2]
Queremos organizar una excursión por 400 personas. Nos ponemos en contacto con una empresa que dispone de 10 autocares de 50 plazas, y de 8 de 40 plazas. Pero sólo dispone de 9 conductores. El alquiler de un autocar gran costará 800 € y el de un pequeño 600 €. Cuántos autocares debemos contratar de cada tipo para que la excursión salga tan económica como sea posible? ¿Cuál será el precio a pagar en este caso?
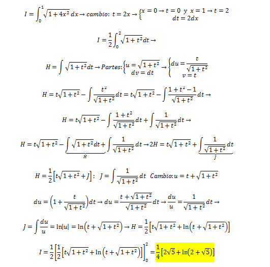
buenas tardes; me pueden ayudar con \int _0^1\sqrt{1+4x^2}\:dx, gracias...

Lo siento pero no entiendo que quieres expresar. ¿Lo escribes en un papel y nos dejas una foto?.
Sospechando que puede ser... ¿has visto este video?