Buenas tardes.
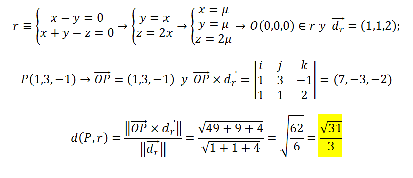
He resuelto este problema por rangos y me sale que el rango de A es 2, mientras que el rango de A* es 3. Según la teoría que creo conocer, en este caso sería un Sistema incompatible, pero en la resolución dice que es secante. ¿Alguien podría arrojarme algo de luz? Gracias.

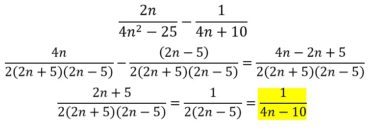
Hola me podrian ayudar con este problema de limites , muchas gracias de antemano

Me encantaría ayudarte, pero no respondo dudas universitarias que no tengan que ver específicamente con los videos que ya he grabado como excepcion. O de otras asignaturas que no sean matemáticas, física y química. Lo siento de corazón… Espero lo entiendas
Ojalá algun unicoo universitario se anime a ayudarte (de hecho lo ideal es que todos los universitarios intentarais ayudaros los unos a los otros)