
Puedes aplicar cambio de base para reescribir el primer término:
log[x] (y) = lny / lnx, (donde log[x] (y) indica "logaritmo en base x del argumento y"), y la ecuación queda:
lny/ lnx + x^2 - y - 2 = 0, con las aclaraciones. x > 0, y > 0, lnx distinto de 0 (que corrresponde a x distinto de 1);
luego puedes multiplicar por lnx en todos los términos y queda:
lny + x^2 * lnx - y * lnx - 2lnx = 0.
Luego puedes derivar implícitamente término a término, y continuar a partir de aquí.
Observa que el punto de evaluación tiene a su primera coordenada expresada en forma general, por lo que llegarás a una expresión de la derivada en función de Xo.
Espero haberte ayudado.
Buen día únicos, saludos cordiales, me brindarían su ayuda, al corregir el resultado al que e llegado. es que en verdad no estoy muy seguro, y en tal caso de estar equivocado podrían indicarme como debo atacar este tipo de problemas

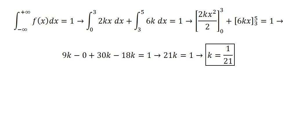
Recuerda que una función de densidad de probabilidad cumple condiciones:
siempre es positiva,
su integral entre - infinito y + infinito es igual a 1.
Observa luego que la integración efectiva corresponde a los dos primeros trozos, ya que el tercero no aporta "masa" por ser igual a cero.
Luego, integras el primer trozo:
Int (2kx*dx) = 2k*Int (x*dx) = 2k * x^2 / 2 = k * x^2, que debe ser evaluado entre 0 y 3, que te lleva al resultado: I1 = k * (3^2 - 0^2) = 9k.
Luego integras el segundo trozo:
Int (6k * dx) = 6k * Int (dx) = 6k * x, que debe ser evaluado entre 3 y 5, que te lleva al resultado: I2 = 6k * (5 - 3) = 6k * 2 = 12*k.
Observa que los dos trozos de la función toman valores positivos en sus intervalos, por lo que nos falta plantear solamente:
I1 + I2 = 1
reemplazamos y queda:
9k + 12k = 1
luego:
21k = 1
y finalmente:
k = 1/21,
Espero haberte ayudado.
Hola UNICOOS, ¿podrías ayudarme a resolver este ejercicio?
Prueba que si r es raíz de los polinomios P(x) y Q(x) entonces también es raíz del polinomio alphaP(x) + betaQ(x).
PD: el alpha y el beta los he escrito en letra porque no sé cómo ponerlos en símbolo.

Puedes plantear:
a partir de las hipótesis
r es raíz de P(x), entonces P(r) = 0
res raíz de Q(x), entonces Q(r) = 0
debemos probar que r es raíz de S(x) = aP(x) + bQ(x), con a y b números (reales o complejos, según corresponda).
Para demostrar, evaluamos al polinomio S para x = r:
S(r) = aP(r) + bQ(r) =
ahora aplicamos las hiótesis y queda:
= a*0 + b*0 = 0,
por lo que concluimos que r es raíz del polinomio S(x) = aP(x) + bQ(x).
Espero haberte ayudado.
Hola. Me podrían ayudar con este ejercicio, con TVM es fácil, pero no estoy muy seguro como sería con intervalos encajados. Use el principio de los intervalos encajados para probar directamente
(sin usar el Teorema del Valor Medio) que si f : I →
R es derivable, con f′(x) = 0 en todo punto x del intervalo I,
entonces f es constante.
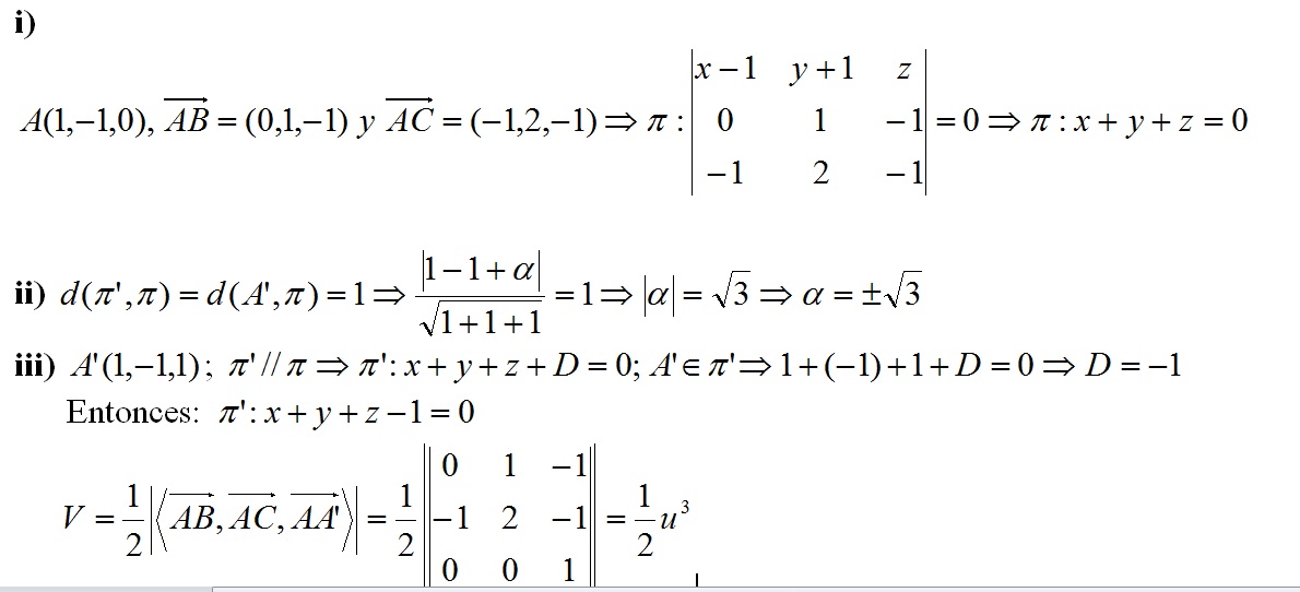
En este apartado me piden hallar el valor de α para que el plano π' , que contiene a los puntos A', B' y C', diste una unidad del plano π.
El plano π lo he conseguido hallar sin ningún problema; π≡x+y+z=0 . Pero no entiendo eso de α. Qué tengo que hacer exactamente?
Adjunto una imagen del ejercicio a mano;
Hola unicos porfa alguien puede hacer este ejercicio para calcular los puntos de inflexión de esta función sen (π⁄2 x) pi sobre dos, todo esto por x.
la hice pero quiero ver si la hice bien desde ya gracias!!!

La función con la que trabajamos tiene como dominio al conjunto de los números reales, y su expresión es:
y = sen((pi/2)x)
su derivada primera queda:
y ' = (pi/2)*cos((pi/2)x) (observa que la derivada primera está definida para todos los números reales)
y su derivada segunda queda:
y ' ' = - (pi/2)^2 * sen((pi/2)x) (obreva que la derivada segunda está definida para todos los números reales)
Planteamos la condición para puntos de inflexión:
y ' ' = 0
reemplazamos y queda:
- (pi/2)^2 * sen((pi/2)x) = 0
pasamos el factor numérico de la izquierda como divisor de cero al lado derecho, resolvemos y queda:
sen((pi/2)x) = 0
luego, componemos con la función inversa de seno para despejar el argumento:
(pi/2)x = arcsen(0)
(pi/2)x = n*pi , con n perteneciente al conjunto de los números enteros (observa que el seno toma el valor cero para múltiplos enteros de pi)
luego despejamos, simplificamos y llegamos a:
x = 2n, con n perteneciente al conjunto de los números enteros.
Puedes plantear el ejercicio a partir de considerar que la función es periódica, y que su periodo es 4.
Espero haberte ayudado.

Comencemos por tener en cuenta que V(3x) = V(3) * V(x), para luego extraer el factor numérico fuera de la integral.
I = (1/V(3)) * Integral (1 / (V(x) * (1 + V(x))^2) * dx
luego puedes plantear la sustitución (cambio de variable):
w = 1 + V(x)
lo que nos conduce a:
dw = (1 / (2 * V(x)) * dx, de donde despejamos y queda: 2 * dw = (1 / V(x)) * dx
luego sustituyes en la integral extraes factores numéricos y queda:
I = (2 / V(3)) * Integral ((1 / w^2) * dw)
a continuación resuelves y queda:
I = - (2 / V(3)) * 1/w + C
y para concluir, vuelve a sustituir la expresión para w y queda:
I = - (2 / V(3)) * 1/(1 + V(x)) + C.
Espero haberte ayudado.
hola únicos!!! me podrían decir cuanto es π⁄2 por π⁄2 ? tengo una ecuación y debo multiplicarlos. Cuanto es?