Foro de preguntas y respuestas de Matemáticas

logo beUnicoos
Los foros de unicoos se han unificado en nuestra nueva plataforma beUnicoos. Para dejar nuevas preguntas deberás hacerlo allí, donde además podrás encontrar nuevas asignaturas y herramientas para ayudarte más con tus estudios.

  • icon

    silvia
    el 19/7/16
    flagflag

    hola me gustaria que me ayudasen con este ejercicio.
    Muchas gracias

    replythumb_up0 voto/sflag
    icon

    David
    el 19/7/16

    Sorry! Lamento de todo corazon no poder ayudarte, pero unicoos (por ahora) solo llega hasta bachiller con matemáticas, física y química. Tu duda se da en la "uni". Espero lo entiendas...

    thumb_up0 voto/sflag
    icon

    Antonius Benedictus
    el 19/7/16

    Te completamos, Silvia.

    thumb_up0 voto/sflag
  • icon

    Jocelyn J
    el 19/7/16
    flagflag


    Pueden ayudarme con esto.. lo he intentado y sigo frustrandome porque no sale el resultado que debería...

    replythumb_up0 voto/sflag
    icon

    David
    el 19/7/16

    Sorry! Lamento de todo corazon no poder ayudarte, pero unicoos (por ahora) solo llega hasta bachiller con matemáticas, física y química. Tu duda se da en la "uni". Espero lo entiendas...

    thumb_up1 voto/sflag
    icon

    Antonius Benedictus
    el 19/7/16

    Mira a ver si sale esto, Jocelyn:

    thumb_up1 voto/sflag
  • icon

    Carlos
    el 19/7/16
    flag

    Alguien puede ser capaz de ayudarme ya me estoy frustrando con este ejercicio que le buscado respuesta, pero no hallo una. No se como pude resolver los anteriores :(
    "Las siguientes expresiones se han obtenido derivando ciertas funciones. En cada caso, hállese la función para los valores dados de la variable y de la función"
    //Derivada de la función : bx³+ax+4
    // Valor de la variable b
    // Valor de la función 10
    Saludos y gracias al equipo Unicoos.

    replythumb_up0 voto/sflag
    icon

    David
    el 19/7/16

    Para hallar la funcion hay que integrar... f(x)= b.x^4 / 4 + a.x² / 2 +4x + C
    Como f(b)=10... b.b^4 / 4 + a.b² / 2 +4b + c =10, de donde podrás despejar la constante C

    thumb_up0 voto/sflag
    icon

    Carlos
    el 19/7/16

    Todo eso es el valor de C Wow.. Gracias

    thumb_up0 voto/sflag
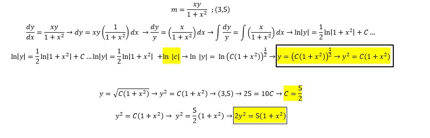
  • icon

    Sebástian
    el 19/7/16
    flag

    Buen día unicos
    Denme una mano con un ejercicios un poco complicado
    Me piden hallar la ecuación de la familia de curvas cuya pendiente es la indicada y la ecuación de la curva que pasa por el punto dado.
    m=(xy)/(1+x²) ; (3.5)

    Respuesta // y²=C(1+x²) ; 2y²=5(1+x²)
    Gracias

    replythumb_up0 voto/sflag
    icon

    David
    el 19/7/16

    Sorry! Lamento de todo corazon no poder ayudarte, pero unicoos (por ahora) solo llega hasta bachiller con matemáticas, física y química. Tu duda se da en la "uni". Espero lo entiendas...

    thumb_up0 voto/sflag
    icon

    Axel Morales Piñón.
    el 19/7/16

    Te ayudamos Sebástian:

    thumb_up1 voto/sflag
  • icon

    Sandy Murillo S...
    el 19/7/16
    flag

    Hola estimados amigos de unicoos, me podrían de favor ayudarme con el un problema de integración...

    * Halla la ecuación de la curva cuya subnormal es constante e igual a 2a.
    Sol. y²=4ax+C (Parábola)
    Gracias de antemano...

    replythumb_up0 voto/sflag
    icon

    David
    el 19/7/16

    Sorry! Lamento de todo corazon no poder ayudarte, pero unicoos (por ahora) solo llega hasta bachiller con matemáticas, física y química. Tu duda se da en la "uni". Espero lo entiendas...

    thumb_up0 voto/sflag
    icon

    Antonius Benedictus
    el 19/7/16

    http://www.aprendematematicas.org.mx/notas/calcdiferencial/DGB5_2_4.pdf

    thumb_up1 voto/sflag
  • icon

    Nacho
    el 19/7/16

    Estoy calculando la derivada a partir de una integral por el teorema fundamental del calculo.
    La primera me quedo g(x²)2x

    Como queda la segunda derivada aplicando la regla de la cadena??

    Me pasaron que daba 4x^2.g'(x^2) + 2g(x^2)

    Mi duda ea como llegar a eso intente aplicat formulas pero no se como llego al 4x^2

    replythumb_up0 voto/sflag
    icon

    Axel Morales Piñón.
    el 19/7/16

    g(x²)2x
    g'(x²).2x.2x + 2g(x²)
    g'(x²)4x² + 2g(x²)

    thumb_up0 voto/sflag
    icon

    Nacho
    el 19/7/16

    Sigo sin entender el segundo renglon porque 2x.2x???????

    thumb_up0 voto/sflag
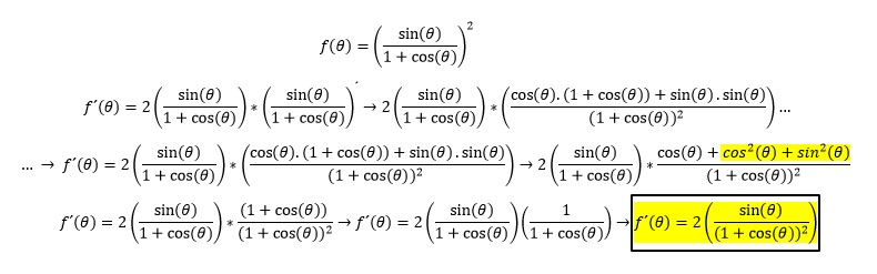
  • icon

    aylen
    el 19/7/16

    Alguien me ayuda con esto por favor? La hice pero noce como simplificarla

    replythumb_up0 voto/sflag
    icon

    Axel Morales Piñón.
    el 19/7/16

    Pide derivar Aylen ¿¿??

    thumb_up0 voto/sflag
    icon

    aylen
    el 19/7/16

    siii perdón me falto escribir eso jaja

    thumb_up0 voto/sflag
    icon

    Axel Morales Piñón.
    el 19/7/16

    La derivada...

    thumb_up0 voto/sflag
    icon

    aylen
    el 19/7/16

    :O puede ser que usted halla usado algunas identidades trigonométricas?

    thumb_up0 voto/sflag
    icon

    jorge velazquez
    el 19/7/16

    uso la identidad fundamental de la trigonométrica (identidad pitagorica) en un paso. lo resalta en el ejercicio.

    thumb_up0 voto/sflag
    icon

    Axel Morales Piñón.
    el 19/7/16

    Buena observación Jorge, efectivamente me he auxiliado Aylen, lo resaltado es la identidad pitagórica (cos²(θ) + sin²(θ) = 1)

    thumb_up0 voto/sflag
    icon

    aylen
    el 19/7/16

    aaaah claroooo ya entendí..! muchísimas gracias a los dos no se que haríamos nosotros los alumnos sin personas como ustedes!!!

    thumb_up0 voto/sflag
    icon

    Axel Morales Piñón.
    el 19/7/16

    Soy un colega tuyo Aylen, estudiante de preparatoria :-)

    thumb_up0 voto/sflag
    icon

    aylen
    el 19/7/16

    :O geniooo :)

    thumb_up0 voto/sflag
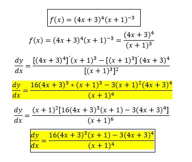
  • icon

    aylen
    el 19/7/16

    hola!! alguien me ayuda con esto? cual es la derivada de f(x)= (4x+3)^4 (x+1)^-3
    creo que es un producto pero lo que no se es como resolverla por las potencias que tienen :(

    replythumb_up0 voto/sflag
    icon

    Axel Morales Piñón.
    el 19/7/16

    Te ayudamos Aylen:

    thumb_up0 voto/sflag
    icon

    aylen
    el 19/7/16

    muchisimas gracias!!!

    thumb_up0 voto/sflag
  • icon

    julian
    el 19/7/16

    hola unicos necesito una ayuda si alguine me puede explicar mas o menos como se hace esto. gracias saludos

    replythumb_up0 voto/sflag
    icon

    Antonius Benedictus
    el 19/7/16

    2^n /3^(n-1)=3·2^n/3^n=3·(2/3)^n
    Se trata de una progresión geométrica cuyo primer término es 3·(2/3)=2 y cuya razón es r=2/3
    Entonces, podemos sumar los infinitos términos con la fórmula: a_1/(1-r)
    2/(1-2/3)=2/(1/3)=6

    thumb_up0 voto/sflag
  • icon

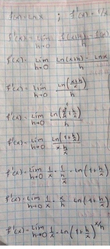
    GABRIELA
    el 19/7/16

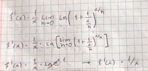
    Hola chicos, alguno podría pasarme la demostracion de la derivada de ln u ???? Gracias

    replythumb_up0 voto/sflag
    icon

    Sebastian Quintero
    el 19/7/16

    ya la subo

    thumb_up1 voto/sflag
    icon

    GABRIELA
    el 19/7/16

    Graciasssss sebas !!!!

    thumb_up0 voto/sflag
    icon

    jorge velazquez
    el 19/7/16

    aquí esta la demostración solo cambia la variable por u

    thumb_up1 voto/sflag
    icon

    jorge velazquez
    el 19/7/16

    esta es el la ultima parte

    thumb_up2 voto/sflag