Foro de preguntas y respuestas de Matemáticas

logo beUnicoos
Los foros de unicoos se han unificado en nuestra nueva plataforma beUnicoos. Para dejar nuevas preguntas deberás hacerlo allí, donde además podrás encontrar nuevas asignaturas y herramientas para ayudarte más con tus estudios.

  • icon

    Nicolas
    el 22/10/18

    Hola! Como resuelvo esto? 


    replythumb_up0 voto/sflag
    icon

    Antonius Benedictus
    el 22/10/18

    Revisa operaciones:


    thumb_up0 voto/sflag
  • icon

    Adrian Mateos Hurtado
    el 22/10/18

    Necesito ayuda con este limite, gracias

    replythumb_up0 voto/sflag
    icon

    Antonius Benedictus
    el 22/10/18

    El numerador es un polinomio de quinto grado y el denominador también. Los coeficientes de los términos de mayor grado son: 2^3 *3^2  arriba y 1 abajo.

    Entonces, el límite pedido es: (2^*3^2)/1=8*9=72

    thumb_up0 voto/sflag
  • icon

    Elena Cabello Lujan
    el 22/10/18


    replythumb_up0 voto/sflag
    icon

    Antonius Benedictus
    el 22/10/18

    Ha de decir "menor o igual":




    thumb_up0 voto/sflag
  • icon

    Maria
    el 22/10/18

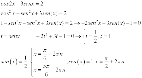
    Podrían resolverme la siguiente ecuación trigonométrica por favor, gracias:

    cos2x+3senx=2 

    replythumb_up0 voto/sflag
    icon

    César
    el 22/10/18


    thumb_up0 voto/sflag
  • icon

    Maria
    el 22/10/18

    Podrían resolverme la siguiente identidad trigonométrica, gracias:

    .Demostrar que si a, b, c son los ángulos de un triángulo , se verifica que : cos2 (a+b)-cos2 (b+c)=senbsen(a-c) 

    replythumb_up0 voto/sflag
    icon

    Antonius Benedictus
    el 22/10/18

    Pon foto del enunciado original y te ayudo.

    thumb_up1 voto/sflag
    icon

    Maria
    el 23/10/18


    thumb_up0 voto/sflag
  • icon

    Uriel Dominguez
    el 22/10/18

    Que tal, quisiera saber si en el canal de unicoos hay algunos vídeos que me puedan ayudar con el siguiente tema que comenzaré a ver 

    replythumb_up0 voto/sflag
    icon

    César
    el 22/10/18

    thumb_up1 voto/sflag
  • icon

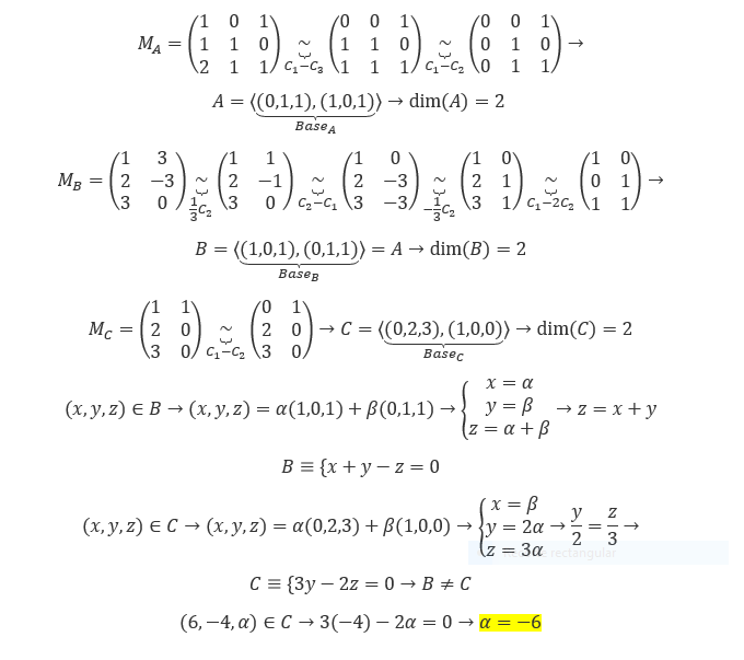
    Carlos Martín
    el 22/10/18

    Hola, necesitaría ayuda con este ejercicio, he hecho gauss con los tres:

    en A me ha salido 1 y 2 en  B me ha salido 1 y 1 y en C me ha salido 0 y 3/2

    Gracias

    replythumb_up0 voto/sflag
    icon

    Antonius Benedictus
    el 22/10/18


    thumb_up1 voto/sflag
  • icon

    Juan Encio Avello
    el 22/10/18

    puedo mandaros archivos adjuntos? esq trabajo con ordenador*

    *si sabeis algun programa mas facil pa matematicas decidme porfa


    replythumb_up0 voto/sflag
    icon

    César
    el 22/10/18

    Diria que no, solo jpg, gif,png.

     

    thumb_up0 voto/sflag
  • icon

    Mariano Cornejo
    el 22/10/18
    flag

    Hola unicoos quería saber cómo resuelvo el siguiente ejercicio que les dejo abajo, es todo muchísimas gracias. Saludos.


    replythumb_up0 voto/sflag
    icon

    David
    el 31/10/18

    No sabria que decirte con el enunciado que planteas. Si la tabla de valores corresponde a una recta, solo tendrás que dibujar los puntos y unirlos con una regla..

    thumb_up0 voto/sflag
  • icon

    Joel Aday Dorta Hernández
    el 22/10/18


    replythumb_up0 voto/sflag
    icon

    Antonius Benedictus
    el 22/10/18

    Aquí te los resuelven paso a paso: 

    https://matrixcalc.org/es/


    thumb_up0 voto/sflag