como se extrae de una grafica la funcion...
Mira la teoría y ejercicios resueltos:
http://lurneurtzaile.wixsite.com/misitio/single-post/2016/03/17/De-la-gr%C3%A1fica-a-la-expresi%C3%B3n-anal%C3%ADtica-rectas-y-par%C3%A1bolas
Después intenta resolver los ejercicios que te proponen y si no estás seguro de tu respuesta nos preguntas.
A ver si me podeis echar un cable con este ejercicio.
Ariadna vende el 40% de un terreno que tiene en propiedad. Dos meses mas tarde, vende el 20% de la parte del terreno que le queda. En total ha vendido 728 hecatareas. Calcula que porcentaje total de terreno ha vendido y cual era el área del terreno.
Gracias
Siendo x el terreno total:
Ariadna vende el 40% de un terreno que tiene en propiedad -------------> x-0.4x=0.6x
Dos meses mas tarde, vende el 20% de la parte del terreno que le queda -------> 0.6x-(0.6x*0.2) = 0.6x-0.12x= 0.48x le quedan al final
Como x es el 100% y le quedan 0.48x (correspondientes al 48%), entonces ha vendido 100-48= 52%
52% <--------------------> 728 hectáreas
100% <--------------------> x= (728*100)/52 = 1400 hectáreas era el área del terreno.
El * es un signo de multiplicación (cuando tienes la preposición "de" generalmente hay que usarlo)
En nuestro ejercicio el 100% está representado por la "x" como te apunté anteriormente, entonces:
El 20% de 60% del terreno = 0.2*0.6x = 0.12x
60% del terreno menos el 20% de 60% = 0.6x-0.12x
-------------------------------------------------------------------------------
((puedes MULTIPLICAR y comprobar con tu calculadora que 0.6*0.2 = (0.6)/5 = 0.12 ))
Me ayudais con esto? No entiendo la diferencia entre dominio y recorrido. Y tambien necesito la imagen: Im(f)

El dominio es el conjunto de valores reales que toma la variable "x". Geométricamente lo obtienes proyectando la curva sobre el eje de abscisas.
El recorrido es el conjunto de valores reales que toma la variable "y". Geométricamente lo obtienes proyectando la curva sobre el eje de ordenadas.


¡Hola! Nos encantaría ayudarte, pero no solemos responder dudas universitarias que no tengan que ver específicamente con los vídeos que David Calle ha grabado como excepción. O de otras asignaturas que no sean Matemáticas, Física y Química. Lo sentimos de corazón… Esperamos que lo entiendas.
Ojalá algún unicoo universitario se anime a ayudarte (de hecho, lo ideal es que todos los universitarios intentarais ayudaros los unos a los otros).

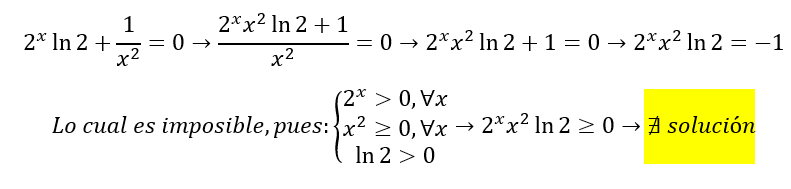
Vamos con una orientación.
Comienza por expresar a la derivada como cociente entre diferenciales, luego compones con la potencia de exponente -1 ye ambos miembros, y queda:
dx/dy = 2*sen(2y) + x*seny.
Luego, restas x*seny en ambos miembros, y queda:
dx/dy - x*seny = 2*sen(2y).
Luego, ordenas factores en el segundo términos del primer miembro, aplicas la identidad trigonométrica del seno del doble de un ángulo en el segundo miembro, y queda:
dx/dy - seny*x = 4*cosx*seny;
y observa que tienes una ecuación diferencial lineal de primer grado y de primer orden,
y observa que al resolverla puedes obtener la expresión de la variable x como función de la variable y.
Luego, queda que resuelvas la ecuación diferencial remarcada, y tendrás la solución general de la ecuación diferencial de tu enunciado, presentada con variable independiente x y con variable dependiente y.
Haz el intento de terminar la tarea y, si te resulta necesario no dudes en volver a consultar.
Espero haberte ayudado.