Buenas tardes, ¿alguien me podría decir cómo es el programa para el siguiente enunciado?
Se trata de justificar numéricamente que
∫1/√(a^2-x^2)dx=π/2 (la integral va de 0 a 'a')
independientemente del valor de a. Para ello, debes calcular dicha integral con el método quad de la librería ascipy.integrate utilizando al menos 100 valores positivos diferentes para a en el rango 1<=a<=10, mostrando que la diferencia entre cada uno de ellos y π/2 es siempre menor que el error cometido al calcular la integral. El programa debe devolver True si todas las integrales cumplen la condición y False si alguna de ellas no la cumple.

¡Hola! Nos encantaría ayudarte, pero no solemos responder dudas universitarias que no tengan que ver específicamente con los vídeos que David Calle ha grabado como excepción. O de otras asignaturas que no sean Matemáticas, Física y Química. Lo sentimos de corazón… Esperamos que lo entiendas.
Ojalá algún unicoo universitario se anime a ayudarte (de hecho, lo ideal es que todos los universitarios intentarais ayudaros los unos a los otros).
Buenas tardes, ¿alguien me podría decir cómo es el programa para el siguiente enunciado?
Implementa una función llamada RECORTA a la que se le pasen como parámetros una matriz M y dos números enteros positivos i y j. La función debe devolver la matriz obtenida recortando M por la fila i y la columna j (eliminando las filas anteriores a la i y las columnas anteriores a la j). Consideramos que la primera fila/columna de la matriz tiene índice 1. Ten en cuenta las siguientes posibilidades:
-Si i es mayor que el número de filas de M o j es mayor que el número de columnas se debe devolver una matriz vacía
-Si i<=1 o j<=1 se deben devolver todas las filas o columnas respectivamente
No se debe leer ni imprimir nada

¡Hola! Nos encantaría ayudarte, pero no solemos responder dudas universitarias que no tengan que ver específicamente con los vídeos que David Calle ha grabado como excepción. O de otras asignaturas que no sean Matemáticas, Física y Química. Lo sentimos de corazón… Esperamos que lo entiendas.
Ojalá algún unicoo universitario se anime a ayudarte (de hecho, lo ideal es que todos los universitarios intentarais ayudaros los unos a los otros).
Buenas tardes, ¿alguien me podría decir cómo es el programa para el siguiente enunciado?
Escribe un programa que calcule el valor medio de los cuadrados de los números que va leyendo desde el teclado hasta que el usuario introduzca s. Para ello el programa pedirá los números con el mensaje "Introduce el número i (s para acabar):" (i debe ser el orden del número solicitado). Si la cadena introducida no es un número real válido (o s) se debe emitir el mensaje 'Número incorrecto' y volver a pedir el número.

¡Hola! Nos encantaría ayudarte, pero no solemos responder dudas universitarias que no tengan que ver específicamente con los vídeos que David Calle ha grabado como excepción. O de otras asignaturas que no sean Matemáticas, Física y Química. Lo sentimos de corazón… Esperamos que lo entiendas.
Ojalá algún unicoo universitario se anime a ayudarte (de hecho, lo ideal es que todos los universitarios intentarais ayudaros los unos a los otros).
¿yomatematica? ¡Túinformática!
Estoy algo desentrenado, pero si me dices en qué paso tienes duda puedo intentarlo
Te recuerdo que para implementar un programa lo recomendable es:
1º Esquemilla
2º Psedocódigo
3º Código
4º Etiquetado e implementación (¿qué lenguaje empleas: java, javascript....?, qué programa usas en caso de que sea java, qué versión?
Buenos días, estoy haciendo mates 1 en la universidad y me han puesto un ejercicio que no se como resolver, dice lo siguiente: Determina la dimensión del subespacio que genera el siguiente conjunto de vectores: {(1,2,1), (2, −1,3), (3, −4,5)}. La respuesta es 2 pero no se como llegar a ella
Muchas gracias por vuestra atención :)
Buenas les agradeceria si alguien me pudiera enviar un video o teoria de como se calcula esta serie, o incluso si me dan el resultado. Muchas gracias.

Plantea los elementos de la sucesión de sumas parciales:
S2 = ln(1 - 1/4) = ln(3/4),
S3 = ln(3/4) + ln(8/9) = ln( (3/4)*(8/9) ) = ln(2/3) = ln(4/6),
S4 = ln(2/3) + ln(15/16) = ln( (2/3)*(15/16) ) = ln(5/8),
S5 = ln(5/8) + ln(24/25) = ln( (5/8)*(24/25) ) = ln(3/5) = ln(6/10),
S6 = ln(3/5) + ln(35/36) = ln( (3/5)*(35/36) ) = ln(7/12),,
y puedes inferir:
Sn = ln( (n+1)/(2n) ) = ln( 1/2 + 1/(2n) ),
Luego, tienes para la serie de tu enunciado:
S = Lím(n→+∞) Sn,
sustituyes expresiones, y queda:
∑(n=2,+∞) (1-1/n2) = Lím(n→+∞) ln( 1/2 + 1/(2n) ) = ln(1/2+0) = ln(1/2) = -ln(2).
Espero haberte ayudado.

Observa que tienes la abscisa (x=1) del punto de contacto entre la curva y la recta tangente, por lo que evalúas para él en la ecuación de la recta tangente,
y tienes que su ordenada es: y = 6, por lo que el punto de contacto queda: A(1,6); y luego, evalúas también en la ecuación de la curva, y queda la ecuación:
a*13 - 2*12 + b = 6, resuelves operaciones entre números, y queda la ecuación: a - 2 + b = 6, haces pasaje de término, y queda: a + b = 8 (1).
Luego, planteas la expresión de la función derivada, y queda: f ' (x) = 3*a*x2 - 4*x,
luego evalúas para el punto de contacto, y queda: f ' (1) = 3*a*12 - 4*1 = 3*a - 4;
luego, observa que la pendiente de la recta tangente es: m = 5, por lo que puedes plantear la condición de tangencia para el punto de contacto:
f ' (1) = m, sustituyes expresiones, y queda:
3*a - 4 = 5, haces pasaje de término, y queda: 3*a = 9, haces pasaje de factor como divisor, y queda: a = 3;
luego, reemplazas en la ecuación señalada (1), y queda:
3 + b = 8, haces pasaje de término, y queda: b = 5.
Luego, la expresión de la función queda:
f(x) = 3*x3 - 2*x2 + 5.
Espero haberte ayudado.

Observa que puedes operar en las expresiones de las funciones, para luego derivar.
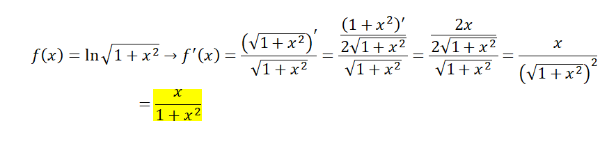
a)
f(x) = ln( √(1+x2) ) = aplicas la propiedad del logaritmo de una potencia, y queda: f(x) = (1/2)*ln(1+x2);
luego, derivas (observa que debes aplicar la regla de la cadena), y queda:
f ' (x) = (1/2)*( 1/(1+x2) )*2*x = simplificas = x/(1+x2).
c)
f(x) = x2*ex + x*ln(1/x) - √(2*x)/2x,
observa que tienes una suma de expresiones de funciones, y que debes derivar término a término, por lo que tratamos a cada término por separado:
A(x) = x2*ex, aplicas la regla del producto, y su derivada queda:
A ' (x) = 2*x*ex + x2*ex = extraes factores comunes = x*ex*(2+x) (1);
B(x) = x*ln(1/x), aplicas la propiedad del logaritmo del recíproco = x*(-lnx) = -x*lnx, aplicas la regla del producto, y su derivada queda:
B ' (x) = -1*lnx - x*(1/x) = -lnx - 1 (2);
C(x) = √(2*x)/2x = distribuyes la raíz = √(2)*√(x)/2x = expresas como producto de potencias = √(2)*x1/2*2-x, aplicas la regla del producto, y su derivada queda:
C ' (x) = √(2)*(1/2)*x-1/2*2-x + √(2)*x1/2*2-x*ln(2)*(-1) = extraes factores comunes = √(2)*2-x*( (1/2)*x-1/2 - ln(2)*x1/2 ) (3);
luego, planteas la expresión de la función derivada:
f ' (x) = A ' (x) + B ' (x) - C ' (x), sustituyes las expresiones señaladas (1) (2) (3), y queda:
f ' (x) = x*ex*(2+x) + (-lnx - 1) - √(2)*2-x*( (1/2)*x-1/2 - ln(2)*x1/2 ) = distribuyes el signo en el segundo término = x*ex*(2+x) - lnx + 1 - √(2)*2-x*( (1/2)*x-1/2 - ln(2)*x1/2 ).
e)
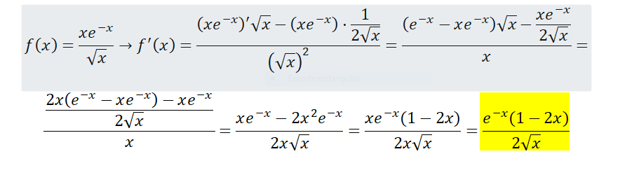
f(x) = x*e-x/√(x) = x*e-x/x1/2 = x*e-x*x-1/2, y observa que tienes un producto de tres expresiones (f(x) = u*v*w),
por lo que la expresión de su derivada queda: f ' (x) = u ' *v*w + u*v ' *w + u*v*w ' (1);
luego, plantea las derivadas de los factores por separado:
u = x, de donde tienes: u ' = 1,
v = e-x, de donde tienes (observa que debes aplicar la regla de la cadena): v ' = e-x*(-1) = -e-x,
w = x-1/2, de donde tienes: w ' = -(1/2)*x-3/2;
luego, sustituyes en la expresión señalada (1), y queda:
f ' (x) = 1*e-x*x-1/2 + x*(-e-x)*x-1/2 + x*e-x*( -(1/2)*x-3/2 ) = e-x*x-1/2 - x*e-x*x-1/2 - (1/2)*x*e-x*x-3/2 = e-x*x-1/2 - e-x*x1/2 - (1/2)*e-x*x-1/2 = e-x*(x-1/2 - x1/2 - (1/2)*x-1/2).
Espero haberte ayudado.
Hola, alguien podría explicarme como verificar que una ecuación f(x,y) es homogénea de grado cero?
Entiendo que hay que sustituir "x" por "tx" y y por "ty", pero al momento de estar dentro de una raíz no se como factorizar "t" para saber de que grado es la ED.
Tengo un par de ejemplos ojala puedan ayudarme con alguno
1) y'= (√(x^2 - y^2) + y) / x Nota: la raíz solo afecta lo que esta dentro del paréntesis
2) y'=( 1 + √(x-y) ) / ( 1 + √(x-y) ) Nota: Aquí me surgió la duda de saber si lo que esta en la parte derecha de la ecuación se puede reducir a 1 ya que se esta dividiendo algo entre si mismo o esto no puede hacerse por el hecho de que hay una suma?
Hola César, de la respuesta que me has dado en un problema no entiendo de dónde sale la relació (6+x)/x, y lo que sigue a la parte derecha de la Igualdad. No se me ocurre el porqué de está igualdad, porqué no seria con la razón de semejanza de los triangulos (no son proporcionades, según la conclusión)....¿Qué relación has escrito?
Adjunto respuesta (no sé cómo respondre sobre una respuesta).
Disculpa las molestias.
Hola podéis ayudarme con este ejercicio
F(x) 2x+1 si x ≤ -2
ax²+bx si -2<x≤4 determinada a y b
X-4 si 4<x
Gracias
Continuidad en x= -2
2*(-2) +1 = a(-2)2+b(-2) -------> -3 = 4a-2b
Continuidad en x= 4
a(4)2+b(4) = 4-4 --------> 16a+4b= 0
Resolvemos el sistema:
4a-2b = -3 -16a+8b = 12
16a+4b= 0 ----multiplicamos por (-4) la 1ª ecuación--------> 16a+4b= 0 ------------Sumamos----> 12b= 12 --------> b=1
Como 4a-2b = -3 ; b=1 entonces 4a-2*1= -3 -----> a= -1/4
**Mira el ejercicio de Ashley, resuelto en los mensajes anteriores un poco más abajo...quizá te sirva para comprender mejor tu ejercicio.