Foro de preguntas y respuestas de Matemáticas

logo beUnicoos
Los foros de unicoos se han unificado en nuestra nueva plataforma beUnicoos. Para dejar nuevas preguntas deberás hacerlo allí, donde además podrás encontrar nuevas asignaturas y herramientas para ayudarte más con tus estudios.

  • icon

    Ylenia Montes
    el 4/1/18

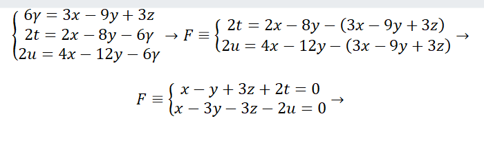
    Tengo una pregunta. Donde se encuentra la flecha roja, ¿ese determinante no tendría que ir multiplicado por -1? 

    replythumb_up0 voto/sflag
    icon

    César
    el 4/1/18

    Efectivamente debería tener -1 delante , pero no afecta a la solución, pues 3a3=0    a=-1

    thumb_up1 voto/sflag
    icon

    Ylenia Montes
    el 4/1/18

    Me refiero al tema de - + - + ¿verdad?

    thumb_up0 voto/sflag
    icon

    César
    el 4/1/18

    eso es al desarrollar por el elemento a(2,3) le corresponde (-1)^(i+j) =(-1)^(2+3)=-1

    thumb_up1 voto/sflag
    icon

    Ylenia Montes
    el 4/1/18

    Ya lo entendí. Muchas gracias

    thumb_up0 voto/sflag
  • icon

    Sergio
    el 4/1/18


    replythumb_up0 voto/sflag
    icon

    Antonius Benedictus
    el 4/1/18


    thumb_up2 voto/sflag
  • icon

    Roy
    el 4/1/18

    me puden decir si está bien el 5?

    replythumb_up0 voto/sflag
    icon

    César
    el 4/1/18

    Correcto hasta donde lo has hecho


    thumb_up0 voto/sflag
  • icon

    Carlos
    el 4/1/18

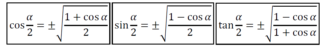
    Hola, como podría calcular razones trigonométricas sin el uso de calculadora? Por ejemplo sin 7π/6 lo paso ha grados sin 210 y como se que en el 1r cuadrante sería sin 30 su resultado es 1/2 pero para ángulos como cos 3π/8 que serian cos 67,5 en grados, como puedo calcular esa expresión sin usar calculadora ni tampoco transportador?

    replythumb_up0 voto/sflag
    icon

    Antonius Benedictus
    el 4/1/18

    67.5º=135º/2 

    135º=180º-45º

    El signo se escoge según el cuadrante de alfa/2.


    thumb_up1 voto/sflag
  • icon

    Ylenia Montes
    el 4/1/18

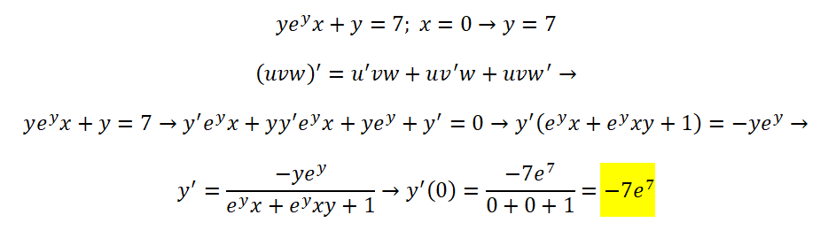
    ¿Alguien puede ayudarme con este ejercicio? Muchas gracias.

    replythumb_up0 voto/sflag
    icon

    Antonius Benedictus
    el 4/1/18


    thumb_up1 voto/sflag
  • icon

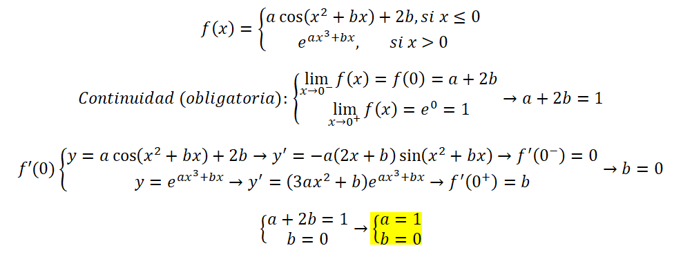
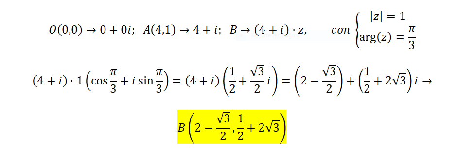
    Ane
    el 4/1/18

     Un triángulo equilátero tiene dos de sus vértices en (0,0) y (4,1). Halla las coordenadas del
    tercer vértice sabiendo que está en el primer cuadrante.

    replythumb_up0 voto/sflag
    icon

    Antonius Benedictus
    el 4/1/18


    thumb_up0 voto/sflag
  • icon

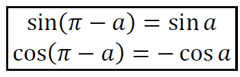
    Yagami Tsuki
    el 4/1/18

                              




    Buenas Unicoos, antes que nada gracias por la ayuda que me han brindado en el poco tiempo que llevo en el foro, hoy les traigo un ejercicio de un triángulo rectángulo, me piden hallar X, pero quise facilitarme el trabajo usando únicamente propiedades de los ángulos y propiedades de los ángulos de los triángulos rectángulos, y di con un resultado, quería comprobar si todo estaba correcto, claro, olvidé acotar en las imágenes que catetos determinaba como el menor y el mayor, los determiné por la propiedad de los triángulos que dice que el ángulo mayor se le opone al lado mayor. Todo esto lo hice ya que tengo examen la semana que viene, y esto me ayudará mucho a ganar tiempos a la hora de resolver triángulos. 

    replythumb_up0 voto/sflag
    icon

    Antonius Benedictus
    el 4/1/18

    Pon foto del enunciado original.

    thumb_up1 voto/sflag
    icon

    Yagami Tsuki
    el 4/1/18


    thumb_up0 voto/sflag
    icon

    Antonius Benedictus
    el 4/1/18


    thumb_up1 voto/sflag
    icon

    Yagami Tsuki
    el 4/1/18

    Muchas gracias. :)

    thumb_up0 voto/sflag
  • icon

    maria
    el 4/1/18

    ayudenme porfa ...

    replythumb_up0 voto/sflag
    icon

    Antonius Benedictus
    el 4/1/18


    thumb_up1 voto/sflag
  • icon

    maria
    el 4/1/18

    por favor   ... 

    replythumb_up0 voto/sflag
    icon

    Antonius Benedictus
    el 4/1/18


    thumb_up1 voto/sflag
  • icon

    Roy
    el 3/1/18

    Cómo determino si 5 puntos son coplanarios?

    replythumb_up0 voto/sflag
    icon

    César
    el 3/1/18

    sustituyéndolos en la ecuación del plano, que deberán verificar.


    thumb_up0 voto/sflag