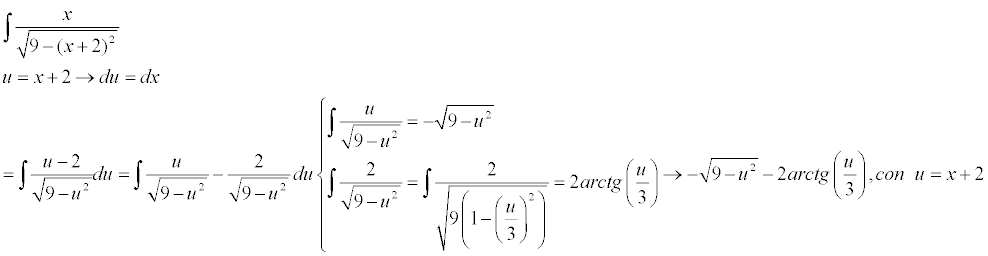
Hola , alguien tan amable de hacer el desarrollo de estas dos integrales , estoy intentando en la primera completando cuadrados en el denominador y luego haciendo un cambio de variable para pasarla trigonométrica , pero no logro terminarla , es esta = integral de x*dx/(√9-(x+2)^2) , todo el denominador esta bajo raíz cuadrada .
En esta segunda estoy tratando con un cambio de variable x=sen^2(t) , pero tampoco logro terminala del todo es esta = √1-x/(1-√x)*dx , en el numerado todo esta bajo raíz cuadrada , gracias de antemano .

¡Hola! Nos encantaría ayudarte, pero no solemos responder dudas universitarias que no tengan que ver específicamente con los vídeos que David Calle ha grabado como excepción. O de otras asignaturas que no sean Matemáticas, Física y Química. Lo sentimos de corazón… Esperamos que lo entiendas.
Ojalá algún unicoo universitario se anime a ayudarte (de hecho, lo ideal es que todos los universitarios intentarais ayudaros los unos a los otros).
Alguien me puede solucionar este problema por favor:
En un bar hacer 10 tortillas cuesta 80€ y el camarero tiene un salario mensual de 40€. Calcula cuanto es el coste unitario de cada tortilla y el coste total y beneficio final de hacer 200 tortillas si cada tortilla se vende a 20€.
PD: es un ejercicio de examen y no estoy de acuerdo con el resultado que da el profesor en cuanto al coste unitario.
Gracias.
Suponiendo que el camarero cobre 40 euros por MES y que haga 200 tortillas...
coste_tortilla=80/10= 8 euros
coste_del_tiempo_que_se_dedica_a_la_tortilla= 40/200= 1/5 euros= 20 céntimos
Coste unitario= (coste_tortilla)+(coste_del_tiempo_que_se_dedica_a_la_tortilla)= 8 euros y 20 céntimos