Buenas unicoos,
Alguien me podria explicar porqué el dominio de f(x) = sqrt(In(x^2-1)) es R-(-sqrt2, sqrt2)
A mi me sale que el dominio es R-(-1,1)
Gracias

como sabras. el dominio de una raiz cuadrara es [0,+∞) (con eso me refiero a que el argumento de la raiz tiene que ser >=0 )
ahora bien, tu argumento es un Ln. osea que tiene que ver cuando el logaritmo es >0 (y digo solo mayor por que el dominio de los logaritmos tiene que ser si o si mayo que o)
entonces ahora miras el argumento de tu logaritmo (x2-1)
planteas una inecuacion x2-1 >0
x2-1 >0
=(x-1)(X+1) >0
ahora con una tabla de valores ves los intervalos de positividad
que para este caso sera (-∞;-1) u (1;+∞)

perdonm me he equivocado en un numero
Como dije
Ln(x2-1)>=0
pero para que esto sea correcto
x2-1>1 (por que la funcion logaritmo empieza a ser positiva a partir de uno
por lo que te queda que
x2-1-1>0 ---> x2-2. entonces si factorizas esto llegas a que el conjunto solucion es (-∞;-√2) u (√2;+∞)

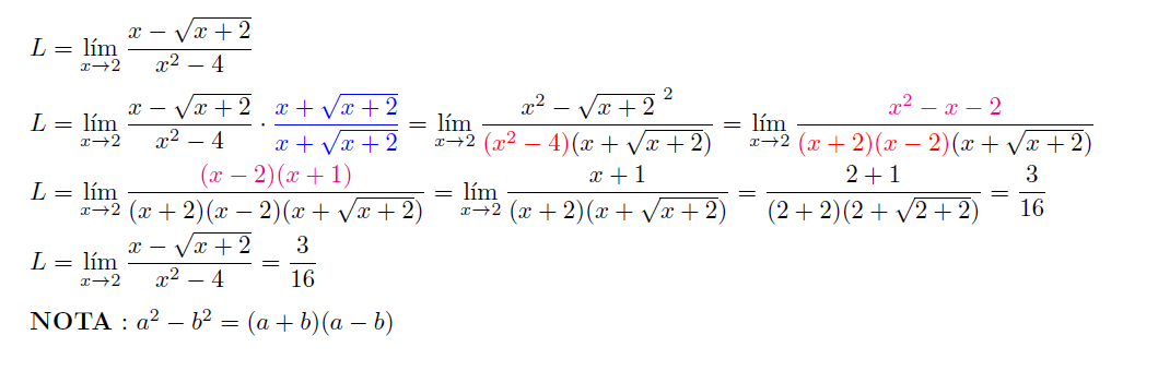
si sabes derivar. puedes aplicar l´hopital
sino pudes hacer diferencia de cuadrados, multiplicando el numerador por "su conjugado" osea x+√x+2
pero como no pudes multiplicar asi por que si, y no afectar a la funcion, lo divides por lo mismo osea (pongo fx por que no tengo manera de dibujarte la funcion que pusiste en el enunciado)
fx * (x+√x+2)/(x+√x+2)
ahora con esto notaras que por diferencia de cuadrados, te desaparece la raiz del numerador, ahora solo queda trabajarlo y veras que puedes simplificar algo del numerador con el denominador, espero haberte guiado, si no entiendes aun, avisa que te estare subiendo todo el resultado :D
Pff, pues la verdad que así escrito no lo entiendo muy bien he intentado hacerlo paso a paso pero me sigue sin salir no se me cancela nada, he intentado encontrar el pequeño erroe que debo de tener pero no le veo. Si me puedes mandar una foto con el ejercicio desarrollado, así puedo ver en que paso me he confundido. Muchas gracias!
Di si es cierta o falsa la siguiente afirmación:
∅ ⊆ {∅}
Hola, veo que se os ha escapado mi pregunta. La vuelvo a publicar:
Hago esta pregunta aquí, ya que aún que el ejemplo es de física utiliza la trigonometria. Me surge una duda conceptual respecto al calculo de la pendiente. En este caso para calcular la acelaración calculamos la pendiente 
. De todas formas según mi lógica, lo que estamos calculando es la hipotenusa y por tanto se podría calcular mediante hipotenusa. Xq no es así? gracias

Recuerda que la pendiente de una recta se define como la división entre la diferencia de ordenadas (en tu gráfico: desplazamiento para las velocidades) de dos de sus puntos, entre la diferencia de abscisas (en tu gráfico: desplazamiento para los tiempos) de dichos puntos.
Observa que no se corresponde con el cálculo de la longitud de la hipotenusa del triángulo de la gráfica.
Espero haberte ayudado.

La pendiente es la tangente del ángulo de inclinación de la recta , este ángulo se considera entre 0° y 180° .
En tu gráfica se observa que la tangente del ángulo de inclinación es : pendiente = Tan( θ ) = ΔV / Δt
** θ es el ángulo formado por la recta y la línea de rojo **
Ahora según Pitágoras : Hip ^2 = (Cat1)^2 + (Cat2)^2
Pitágoras NO dice que la hipotenusa es igual a la razón de catetos que es lo que tú estás argumentando .

Usted está confundiendo que la pendiente es igual a la hipotenusa , desde allí parte todo el error en su concepto .
Quizá sea por el lenguaje común que se emplea en el día a día y al decir pendiente se hace referencia a una zona a una región inclinada que para usted esto sería la hipotenusa , pero esto en matemáticas no es así , acá las cosas se definen de manera clara y no necesariamente coincide con el " sentido común "
si tengo la desigualdad -1<=sen(x)<=1 y la elevo al cuadrado ¿que pasa con el -1 de la isquierda?
buenas dias (en mi pais), tengo una duda sobre la derivada de este cociente:
3-2x3+2x