
¡Hola! Nos encantaría ayudarte, pero no solemos responder dudas universitarias que no tengan que ver específicamente con los vídeos que David ha grabado como excepción. O de otras asignaturas que no sean Matemáticas, Física y Química. Lo sentimos de corazón… Esperamos que lo entiendas.
Ojalá algún unicoo universitario se anime a ayudarte (de hecho, lo ideal es que todos los universitarios intentarais ayudaros los unos a los otros).
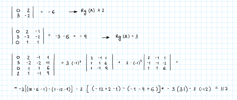
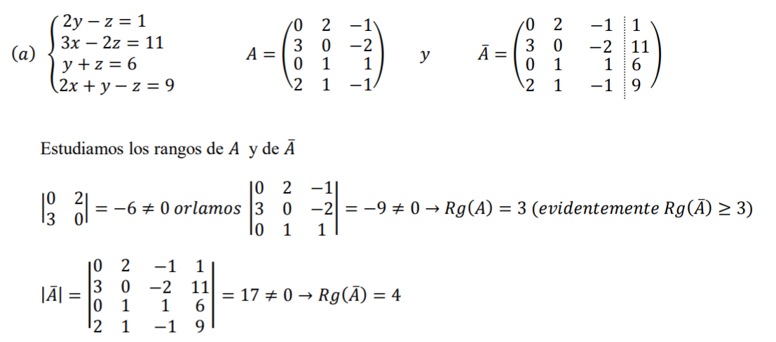
Buenas tardes, me gustaría pediros si me sabriais decir por qué la matriz ampliada da como resultado 17, ya que lo he intentado varias veces y me daba como resultado distintos números. ¿El resultado depende de como simplifiquemos la matriz para lograr que tenga más ceros o debe dar siempre lo mismo? Muchas gracias.
en una distribución bidimensional la media de "x" puede tener cualquier valor mientras que no sea negativo no?
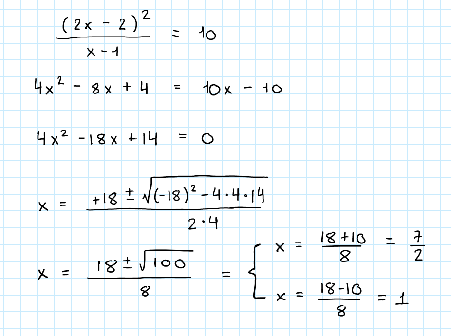
hola una pregunta como se haria (2x-2)^2 partido de (x-1) igual a 10?
Dados los puntos P(1, −2, 1), Q(−4, 0, 1), R(−3, 1, 2), S(0, −3, 0), se pide:
-Hallar la ecuacion del plano que contiene a ´ P, Q y R.
-Estudiar la posicion relativa de la recta ´ r, que pasa por los puntos P y Q, y la recta s, que pasa por R y S.
plss. Gracias