Foro de preguntas y respuestas de Matemáticas

logo beUnicoos
Los foros de unicoos se han unificado en nuestra nueva plataforma beUnicoos. Para dejar nuevas preguntas deberás hacerlo allí, donde además podrás encontrar nuevas asignaturas y herramientas para ayudarte más con tus estudios.

  • icon

    Paula Sánchez
    el 18/6/17

    Si cosα =  3√13 / 13  porqué cos^2 = 9/13? No entiendo por qué es así 

    replythumb_up0 voto/sflag
    icon

    Antonio
    el 18/6/17

    Paso a paso:

    (3√13 / 13)2=(3√13)2 / (13)2=[32(√13)2] / (13)2=(13) / (13·13)=9/13

    thumb_up0 voto/sflag
  • icon

    AnDres Navarrete
    el 18/6/17

    Ayuda con la pregunta 11 es el literal que esta subrayado. 


    replythumb_up0 voto/sflag
    icon

    Antonius Benedictus
    el 18/6/17

    Acaba las operaciones, Andrés:


    thumb_up1 voto/sflag
    icon

    AnDres Navarrete
    el 19/6/17

    Gracias Antonio eres el mejor!  Solo tu ha sido la persona que me ayudado aquí en el foro! Sera muy grato conocerte algún día maestro

    thumb_up0 voto/sflag
  • icon

    Paula Sánchez
    el 18/6/17

    Hola!! Cómo se realizaría este ejercicio!?😭


    Gracias!!



    replythumb_up0 voto/sflag
    icon

    Antonius Benedictus
    el 18/6/17

    http://www.jorge-fernandez.es/proyectos/angulo/temas/teman/index.html

    thumb_up0 voto/sflag
    icon

    Antonius Benedictus
    el 18/6/17

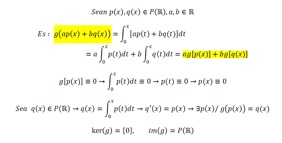
  • icon

    Rodolfo Catunta
    el 18/6/17

    Ayuda con esta integral impropia 

    replythumb_up0 voto/sflag
    icon

    César
    el 18/6/17


    thumb_up0 voto/sflag
  • icon

    luna
    el 18/6/17

    por favor ns como hacer esta ecuacion 5-x/2 - x+3/6 = 9-x/4 - 6x+2/16 

    alguien me puede ayudar??

    replythumb_up0 voto/sflag
    icon

    César
    el 18/6/17


    thumb_up1 voto/sflag
  • icon

    anaespo
    el 18/6/17

    El proceso está bien??

    replythumb_up0 voto/sflag
    icon

    César
    el 18/6/17

    Correcto anaespo

    thumb_up0 voto/sflag
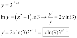
  • icon

    stefany
    el 18/6/17

    Hola, como se desarrolla esta derivada


    replythumb_up0 voto/sflag
    icon

    AnDres Navarrete
    el 18/6/17


    thumb_up0 voto/sflag
    icon

    DueFreitas
    el 18/6/17


    thumb_up0 voto/sflag
    icon

    César
    el 18/6/17

    Un poquito mas 

    thumb_up0 voto/sflag
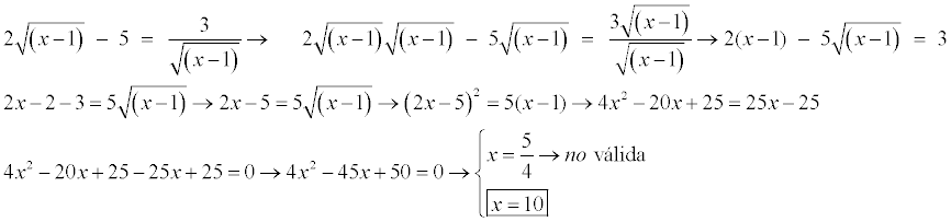
  • icon

    diego
    el 18/6/17

    Necesito ayuda con este ejercicio.

    2√(x-1) - 5 = 3/(√(x-1) )

    replythumb_up0 voto/sflag
    icon

    César
    el 18/6/17


    thumb_up0 voto/sflag
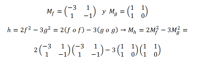
  • icon

    AnDres Navarrete
    el 18/6/17
    flagflag

    Ayuda con el ejercicio 3 literal b, acerca del nucleo y el rango estoy algo confundido muchas gracias por su ayuda.


    replythumb_up0 voto/sflag
    icon

    Antonius Benedictus
    el 18/6/17


    thumb_up1 voto/sflag
    icon

    AnDres Navarrete
    el 18/6/17

    La imagen de B me da de respuesta esto. Podrías explicarme


    thumb_up0 voto/sflag
    icon

    Antonius Benedictus
    el 18/6/17

    Me despisté al final:


    thumb_up0 voto/sflag