Hola Unicoos ayúdenme por favor
¿Cuál seria la interpretación gráfica de "Caudal por unidad de ancho" ?

Si llamas P1 a la potencia sonora del susurro, y P2 a la potencia sonora de la voz en clase, tienes en tu enunciado que la relación es:
P2 = 500*P1, haces pasaje de factor como divisor y queda: P2/P1 = 500 (1).
Luego, plantea la expresión de la diferencia entre las potencias en decibelios:
dB = 10*log(P2/P1), reemplazas y queda:
dB = 10*log(500) ≅ 10*2,69897 = 26,9897.
Espero haberte ayudado.

Establece un sistema de referencia con eje de posiciones OX sobre la vía, con sentido positivo favorable al movimiento de la zorra y del tren, y con origen en el punto en que se encuentra la locomotora del tren cuando es avistado por los trabajadores que viajan en zorra, y consideramos instante inicial (ti = 0) a este momento.
Luego, para cada móvil tienes los datos y ecuación de Movimiento Rectilíneo Uniforme (x = xi + v*(t - ti)):
Tren:
xi = 0, vT = 36 Km/h = 36*1000/3600 = 10 m/s,
y su ecuación de movimiento queda (observa que cancelamos términos nulos):
x = 10*t (1).
Zorra:
xi = 180 m, vZ = a determinar,
y su ecuación de movimiento queda (observa que cancelamos términos nulos):
x = 180 + vZ*t (2).
Luego, plantea que ambos móviles se encuentran en la posición del desvío (x = 180 + 120 = 300 m),
reemplazas en las ecuaciones señaladas (1) (2) y queda el sistema de ecuaciones:
300 = 10*t
300 = 180 + vZ*t,
divides por 10 en ambos miembros de la primera ecuación y queda:
30 s = t, que es el tiempo que tardan los móviles en alcanzar la posición del desvío,
luego reemplazas en la segunda ecuación y queda:
300 = 180 + vZ*30, divides en todos los términos de la ecuación por 30 y queda:
10 = 6 + vZ, haces pasaje de término y queda:
4 m/s = vZ, que es la velocidad mínima que debe tener la zorra para alcanzar la posición del desvío sin ser impactada por el tren.
Espero haberte ayudado.
Se que esta en ingles pero si alguien me puede ayudar en este ejercicios sobre unidades perfecto! Muchas Gracias
A water company wants to check that it will have sufficient water if there is a prolonged drought in the area. The region it covers is 500 square miles and various different offices have sent in the following consumption figures. There is sufficient information to calculate the amount of water available, but unfortunately it is in several different units.
Of the total area 100 000 acres are rural land and the rest urban. The density of the urban population is 50 per square kilometre. The average toilet cistern is sized 200mm by 15in by 0.3m and on average each person uses this 3 time per day. The density of the rural population is 5 per square mile. Baths are taken twice a week by each person with the average volume of water in the bath being 6 gallons. Local industry uses 1000 m3 per week. Other uses are estimated as 5 gallons per person per day. A US air base in the region has given water use figures of 50 US gallons per person per day.
The average rain fall in 1in per month (28 days). In the urban area all of this goes to the river while in the rural area 10% goes to the river 85% is lost (to the aquifer) and the rest goes to the one reservoir which supplies the region. This reservoir has an average surface area of 500 acres and is at a depth of 10 fathoms. 10% of this volume can be used in a month.
a) What is the total consumption of water per day?
b) If the reservoir was empty and no water could be taken from the river, would there be enough water if available if rain fall was only 10% of average?
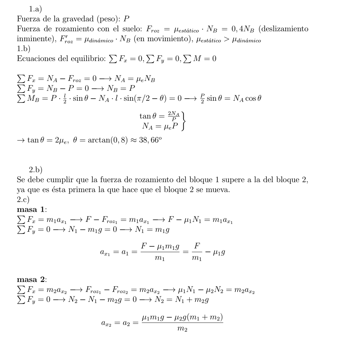
Una ayuda con este problema. Sé que la velocidad angular es la misma para todo punto, pero la velocidad tangencial no es la misma porque depende del radio. Vt=ωR, he tomado ω (velocidad angular constante) para sacar las respectivas velocidades tangenciales de cada uno respecto a su radio. ¿Está bien así o es lo contrario? ¿Tomar como velocidad constante la velocidad tangencial? ¡Ayuda!

Recuerda que cuando varias poleas comparten su eje de rotación tienes que sus velocidades angulares son iguales, pero
observa que en este problema tienes que la correa la misma y rodea a las tres poleas, por lo tanto tienes que la velocidad tangencial es la misma para las tres poleas.
Luego, tienes para cada polea (observa que empleamos el Sistema Internacional de Unidades de Medida):
1)
R1 = 0,10 m,
ω1 = 50 rev/min = 50*2π/60 = 5π/3 rad/s,
luego tienes:
v = R1*ω1 = 0,10*5π/3 = 0,5π/3 = π/6 m/s;
luego su frecuencia queda:
f1 = ω1 / 2π = (5π/3) / 2π = 5/6 Hz;
y su periodo queda:
T1 = 1/f1 = 6/5 = 1,2 s.
2)
R2 = 0,06 m,
luego tienes:
ω2 = v / R2 = (π/6) / 0,06 = π/0,36 = 100π/36 = 25π/9 rad/s;
luego su frecuencia queda:
f2 = ω2 / 2π = (25π/9) / 2π = 25/18 Hz;
y su periodo queda:
T2 = 1/f2 = 18/25 = 0,72 s.
3)
R3 = 0,02 m,
luego tienes:
ω3 = v / R3 = (π/6) / 0,02 = π/0,12 = 100π/12 = 25π/3 rad/s;
luego su frecuencia queda:
f3 = ω3 / 2π = (25π/3) / 2π = 25/6 Hz;
y su periodo queda:
T3 = 1/f3 = 6/25 = 0,24 s.
Espero haberte ayudado.

Te ayudo con el planteo.
Establece un sistema de referencia con origen en el punto de disparo del proyectil, eje OX horizontal con sentido positivo hacia la derecha, y eje OY vertical con sentido positivo hacia arriba, y considera como instante inicial t = 0 al momento del disparo del proyectil.
Luego, planta las ecuaciones de movimiento para el proyectil y para el avión.
Observa que para el proyectil debes plantear las ecuaciones de Tiro Oblicuo (o Parabólico).
x = xi + vi*cosα*t
y = yi + vi*senα*t - (1/2)*g*t2;
reemplazas valores y queda:
x = vi*cosα*t
y = vi*senα*t - 4,9*t2.
Observa que para el avión debes plantear las ecuaciones de Movimiento Rectilíneo Uniforme:
x = va*t
y = ya;
reemplazas valores y queda:
x = 200*t
y = 100 (constante).
Luego, para determinar las coordenadas de encuentro, plantea el sistema de ecuaciones:
x = vi*cosα*t
y = vi*senα*t - 4,9*t2
x = 200*t
y = 100;
igualas ecuaciones y queda:
vi*cosα*t = 200*t
vi*senα*t - 4,9*t2 = 100.
Luego, revisa tu apunte, y si tienes el ángulo de disparo del proyectil (α) solo queda que resuelvas el sistema y tendrás el instante de encuentro (t) y el módulo de la velocidad inicial del proyectil (vi), y luego reemplazas en las ecuaciones de movimiento y tendrás las coordenadas de encuentro (x e y).
Espero haberte ayudado.
Clara compra un auto deportivo y decide probarlo haciendo una carrera contra su amigo Esteban. Ambos parten del reposo, pero el tramposo Esteban parte 1 segundo antes que Clara. Si Esteban se mueve con una aceleración (constante) de 3,5 m/s2 y Clara con una de 4,5 m/s2 (también constante), determine:
a) El tiempo que tarda Clara en alcanzar a Esteban.
b) La distancia que recorre antes de alcanzarlo.
c) La rapidez de ambos al momento del alcance.
ojala alguien pueda ayudarme :c
graacias

Establece un sistema de referencia con eje OX horizontal, con dirección y sentido acorde a los movimientos de los autos, con origen en el punto de partida.
Luego, plantea para cada móvil la ecuación de Movimiento Rectilíneo Uniformemente Acelerado, y considera que el instante inicial (ti = 0) corresponde al momento en que Esteban comienza su carrera:
x = xi + vi*(t - ti) + (1/2)*a*(t - ti)2.
Para Esteban tienes los datos: ti = 0, xi = 0, vi = 0, a = 3,5 m/s2, reemplazas, cancelas términos nulos, resuelves coeficientes y queda:
x = 1,75*t2 (1).
Para Clara tienes los datos: ti = 1 s, xi = 0, vi = 0, a = 4,5 m/s2, reemplazas, cancelas términos nulos, resuelves coeficientes y queda:
x = 2,25*(t - 1)2 (2).
Luego igualas las expresiones señaladas (1) (2) para determinar el instante de encuentro:
1,75*t2 = 2,25*(t - 1)2; desarrollas en el segundo miembro y queda:
1,75*t2 = 2,25*t2 - 4,5*t + 2,25; haces pasajes de términos y queda:
- 0,5*t2 + 4,5*t - 2,25 = 0, multiplicas por -2 en todos los términos de la ecuación y queda:
t2 - 9*t + 4,5 = 0, que es una ecuación polinómica cuadrática cuyas soluciones son:
t1 = ( 9 - √(63) )/2 ≅ 0,531 s, que no tiene sentido para este problema (observa que este instante es anterior al instante de partida de Clara);
t2 = ( 9 + √(63) )/2 ≅ 8,469 s, que es el instante en que Clara alcanza a Esteban.
Luego reemplazas en las ecuaciones de movimiento y quedan:
x ≅ 1,75*8,4692 ≅ 125,518 m;
x ≅ 2,25*(8,469 - 1)2 ≅ 125,518 m, que es la distancia que recorren los móviles hasta encontrarse.
Luego, plantea para cada móvil su ecuación de velocidad.
Para Esteban:
v = vi + a*t, reemplazas valores, cancelas el término nulo y queda:
v ≅ 3,5*8,469 ≅ 29,642 m/s.
Para Clara:
v = vi + a*(t - ti), reemplazas valores, cancelas el término nulo y queda:
v ≅ 4,5*(8,469 - 1) ≅ 33,611 m/s.
Espero haberte ayudado.