Buenas. En este problema según mis cálculos creo que los potenciales se anularían y él trabajo sería 0.
pero no sé si estoy en lo cierto.

La energia potencial del sistema tienes que calcular mediante el principio de superposicion, es decir,
sumar las energias potenciales que se ejerce entre cada masa, al ser las masas y la distancia iguales tendrias que:
Ept=3Ep (ya que tienes que calcular la que ejercer la 1º masa sobre la 2º y la 1º sobre la 3º y la 2º sobre la 3º=
Finalmente el trabajo sería W=m·ΔEp, la energia potencial en el infinito si que es cero, pero en el punto en el cual están no lo es, con lo cual tu trabajo no sería cero
Será negativo pues debes realizar un trabajo en contra de la fuerza gravitatoria.
Espero lo entiendas
Te dejo a ti los pasos, nos cuentas ;)

Vamos con una orientación para plantear el problema.
Debes prestar atención a la descomposición de las fuerzas que no son paralelas a los ejes coordenados que definiremos para plantear las sumas de fuerzas que actúan sobre los cuerpos.
Consideramos que el módulo de la aceleración gravitatoria terrestre es g = 9,8 m/s2.
1)
Para estudiar las fuerzas que actúan sobre el bloque B establecemos un sistema de coordenadas cartesiano OXY, con eje OX horizontal y positivo hacia la derecha y eje OY vertical y positivo hacia arriba.
Observa que los módulos de las fuerzas que intervienen sobre el bloque B, y de su aceleración, son:
Peso: WB, vertical hacia abajo,
Acción normal del bloque A sobre él: NAB, vertical hacia arriba,
Rozamiento del bloque A sobre él: frAB, horizontal hacia la derecha,
y observa que la aceleración del sistema tiene dirección paralela al plano inclinado, y sus componentes son:
Aceleración horizontal: ax = a*cosθ,
Aceleración vertical: ay = a*senθ.
Luego, planteamos la Segunda Ley de Newton según las componentes:
frAB = MB*ax
NAB - WB = MB*ay
WB = MB*g
frAB = μAB*NAB.
2)
Para estudiar las fuerzas que actúan sobre el bloque A establecemos un sistema de coordenadas cartesiano OXY, con eje OX paralelo al plano inclinado y positivo hacia arriba y eje OY perpendicular al plano inclinado y positivo hacia arriba.
Observa que los módulos de las fuerzas que intervienen sobre el bloque A, y de su aceleración son:
Peso: WA, vertical hacia abajo, cuyas componentes son: WAx = WA*senΘ y WAy = WA*cosΘ,
Reacción normal del bloque A sobre él: NAB, vertical hacia abajo, cuyas componentes son: NABx = NAB*senΘ y NABy = NAB*cosΘ,
Reacción al rozamiento del bloque A sobre él: frAB, horizontal hacia la izquierda, cuyas componentes son: frABx = frABx*cosΘ y frABy = frAB*senΘ,
Acción normal del plano inclinado sobre él: NA, perpendicular al plano hacia arriba
y observa que la aceleración del sistema tiene dirección paralela al plano inclinado, y sus componentes son:
Aceleración paralela al plano: ax = a,
Aceleración vertical: ay = 0,
Luego, planteamos la Segunda Ley de Newton según las componentes:
F - frABx - NABx - WAx = MA*a
- NABy - WAy + NA = MA*0y
WA = MA*g
frAB = μAB*NAB (observa que esta ecuación ya la hemos consignado en el paso anterior).
Luego, debes resolver el sistema de siete ecuaciones, y observa que al reemplazar las expresiones de los módulos de los pesos de los bloques y de la fuerza de rozamiento. el sistema se reduce rápidamente a cuatro ecuaciones.
Haz el intento de resolverlo, y si te es preciso no dudes en volver a consultar.
Espero haberte ayudado.
Mira tengo una duda no es muy concreta y se que el profe David Hizo un video pero queria comprobar si es equivalen la 3ra ley de Kepler T2/R3 Si es equivalente a T=2πr/v teniendo en cuenta que actuan 2 cuerpos como seria la tierra y el sol.Posdata no se si expreso bien mi duda es solo que me da curiosidad.Gracias de antemano.
La Via Lactea se estima que suno tamaño es cien mil años luz. El sistems solar tiene doce mil millones dede km de diametro. Calcula cuantas veces mayor es la Via Lactea. Ayudadme con este ejercicio de tamaños de universo porfavor

Tienes los datos:
Velocidad de la luz: c = 300000 Km/s = 3*105 Km/s;
1 año luz = c*1 año = (3*105 Km/s) * (365*24*3600 s) = 94608*1010 Km.
Diámetro de la galaxia: x = 105 años luz = 105*94608*1010 Km = 993384*1011 Km = 9,93384*1016 Km.
Diámetro del sistema solar: y = 12*109 Km = 1,2*1010 Km.
Luego, planteamos la razón entre el diámetro de la galaxia y el diámetro del sistema solar:
r = x/y = (9,93384*1016 Km)/(1,2*1010 Km) = 8,2782*106 = 8278200.
Espero haberte ayudado.
¿Es asi de complejo?. Perdona pero yo doy fisica en 2 de la Eso. Y yo simplemente para resolver el ejercicio he hecho un factor de conversion para pasar a km la unidad de años luz de la via lactea. Y por ultimo he hecho otro factor de conversion siguiente: 9'5·10¹7 : 12·10 9km. Ademas en los dos hablo de sus diametros.¿Me puedes explicar esto porfavor?
Buenas! En este video del profe de caida libre de dos cuerpos (https://www.youtube.com/watch?v=ydoSpyZDovE&list=PLOa7j0qx0jgOTUUV7Yf2hoyGXyhZRWh_X&index=6) la gravedad del cuerpo n1 no deberia de ser positiva?

Observa que en el vídeo, David ha establecido un eje OY vertical con sentido positivo hacia arriba, por lo que él considera en las ecuaciones que:
- los módulos de todos los vectores que tengan dirección vertical y sentido hacia arriba van con signo positivo (como es el caso de la velocidad inicial del cuerpo que es lanzado desde el pie del edificio);
- los módulos de todos los vectores que tengan dirección vertical y sentido hacia abajo van con signo negativo (como la velocidad del móvil que cae desde lo alto del edificio, y la aceleración gravitatoria terrestre, que tiene sentido hacia abajo).
Debes tener en cuenta que el sistema de coordenadas los fijas tu al plantear el problema (en este caso el eje OY vertical con sentido positivo hacia arriba), y eso determina los signos que hay que asignarles a los módulos de los vectores al ir armando las ecuaciones de movimiento.
Espero haberte ayudado.

Debes considerar los signos de la velocidad y de la aceleración en conjunto, y tienes dos casos:
1) si los signos son iguales, tienes Movimiento Acelerado, como ocurre con el cuerpo que cae desde lo alto del edificio, cuya velocidad es negativa (apunta hacia abajo) y la aceleración también es negativa (apunta hacia abajo), y tienes que el módulo de la velocidad (o rapidez) es cada vez mayor en la caída;
2) si los signos son distintos, tienes Movimiento Desacelerado, como ocurre en el ascenso del cuerpo que es lanzado desde el suelo, cuya velocidad mientras asciende es positiva (apunta hacia arriba), y la aceleración es negativa (apunta hacia abajo), y tiene que el módulo de la velocidad (o rapidez) es cada vez menor durante el ascenso.
Espero haberte ayudado.
Buenas tardes, llevo días dándole vueltas a este problema y no consigo hallar la solución:
Una piedra en caída libre pasa por delante de un observador situado a 300 m del suelo. Al cabo de 2 segundos pasa por delante de otro observador situado a 200 m del suelo. Calcula:
a) la altura de la que cae la piedra
b) cuánto tarda en llegar al suelo desde que empieza a caer
c) Con qué velocidad llega al suelo
Muchas gracias por vuestro tiempo

Hola, alguien me puede explicar porque la escoba es una palanca de tercer grado. Muchas gracias.

Observa cuando barras un piso, que tomas la escoba con tus dos manos:
una de ellas en el punto más alto del palo, y otra en el medio del palo, un poco más abajo,
y las cerdas de la escoba rozan el suelo.
Luego, tienes que el punto más alto es el punto de apoyo (observa que si te mantienes en la misma posición mientras accionas la escoba, este punto tiene poco movimiento), el punto más bajo es donde está aplicada la resistencia (rozamiento que ejerce el suelo sobre las cerdas de la escoba), y la fuerza accionante (o potencia) se encuentra aplicada en un punto intermedio entre ambas,
y es por esto que la consideramos una palanca de tercer género (como lo es también, por ejemplo, la caña de pesca).
Espero haberte ayudado.
Una ultima mano porfavor únicos:
Tengo los datos (empleamos el Sistema Internacional de Unidades de Medida):
Radio orbital de Fobos: rF = 9377 Km = 9,377*106 m,
Masa de Fobos: mF = 1,08*1016 Kg.
Diámetro de Fobos: dF = 22,2*103 m.
Periodo de traslación de Fobos: TF = 7,66 h = 7,66*3600 = 27576 s.
Periodo de traslación de Deimos: TD = 30,35 h = 30,35*3600 = 109260 s.
Constante de gravitación universal: G = 6.67*10-11 N*m2/Kg2.
Luego designo:
M = masa de Marte, mF = masa de Fobos, mD = masa de Deimos.
Luego, calculo las velocidades angulares de traslación para los dos satélites (te dejo los cálculos):
ωF = 2π/TF,
ωD = 2π/TD.
Luego, planteo, de acuerdo con la Segunda Ley de Newton, que el módulo de la fuerza de atracción grativatoria sobre cada satélite es igual al producto de su masa por su aceleración centrípeta (recuerdo que acp = ω2*r):
3) G*M*mF/rF2 = mF*ωF2*rF, y de aquí despejo la masa de Marte: M = mF*ωF2*rF3 / G*mF = ωF2*rF3 / G;
1) G*M*mD/rD2 = mD*ωD2*rD, y de aquí despejo: G*M*mD / mD*ωD2 = rD3, y luego queda: ∛(G*M / ωD2) = rD.
2) La velocidad orbital de Fobos queda: vF = ωF*rF.
4) Las fuerzas de atracción mutua entre Marte y Fobos tienen módulos iguales, igual dirección y sentido opuesto (atractivo), según la Tercera Ley de Newton, y su módulo quedaria: |F| = G*M*mF/rF2.
5) El radio de Fobos es: RF = dF/2 = 11,1*103 m,
y el módulo de su aceleración gravitatoria en un punto de su superficie que queda: gF = |F|/mF = G*mF/RF2.
6) Llamo h a la altura del punto con respecto a la superficie de Fobos, y planteo:
gF/2 = G*mF/(RF + h)2 ( Solo me quedaria resolver esto )
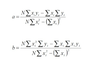
Yo te recomendaría obtener la ecuación de la recta de regresión de mínimos cuadrados con los valores de F (Fuerza) y Δy(distancia), la cual tendría la siguiente forma: F=aΔy+b, ya que de esta forma hallarías la recta que mejor se está ajustando a los datos proporcionados. Para esto puedes guiarte con la siguientes expresiones para el cálculo de la pendiente (a) y el intercepto (b):
para este caso se generaliza una función y=f(x) por lo y → F y x → Δy, y N es el número de puntos que tienes en tu papel milimétrico. Una vez que obtienes la recta de regresión lo único que quedaría es evaluar la integral de dicha función de recta entre los valores límites del intervalo (0 m y 0,302 m), lo que estás obteniendo es el trabajo efectuado en dicho trayecto por una fuerza variable, por lo tanto tendrá unidades de Energía (Joules [J]).
Saludos.