Hola a todos, tengo dudas en tres ejercicios, me está costando mucho su resolución. Si alguien me puede ayudar será bienvenido. Muchas gracias de antemano.

Me encantaría ayudarte, pero no respondemos dudas universitarias que no tengan que ver específicamente con los videos que ya ha grabado como excepcion el profe . O de otras asignaturas que no sean matemáticas, física y química. Lo siento de corazón… Espero lo entiendas
Ojalá algun unicoo universitario se anime a ayudarte (de hecho lo ideal es que todos los universitarios intentarais ayudaros los unos a los otros)

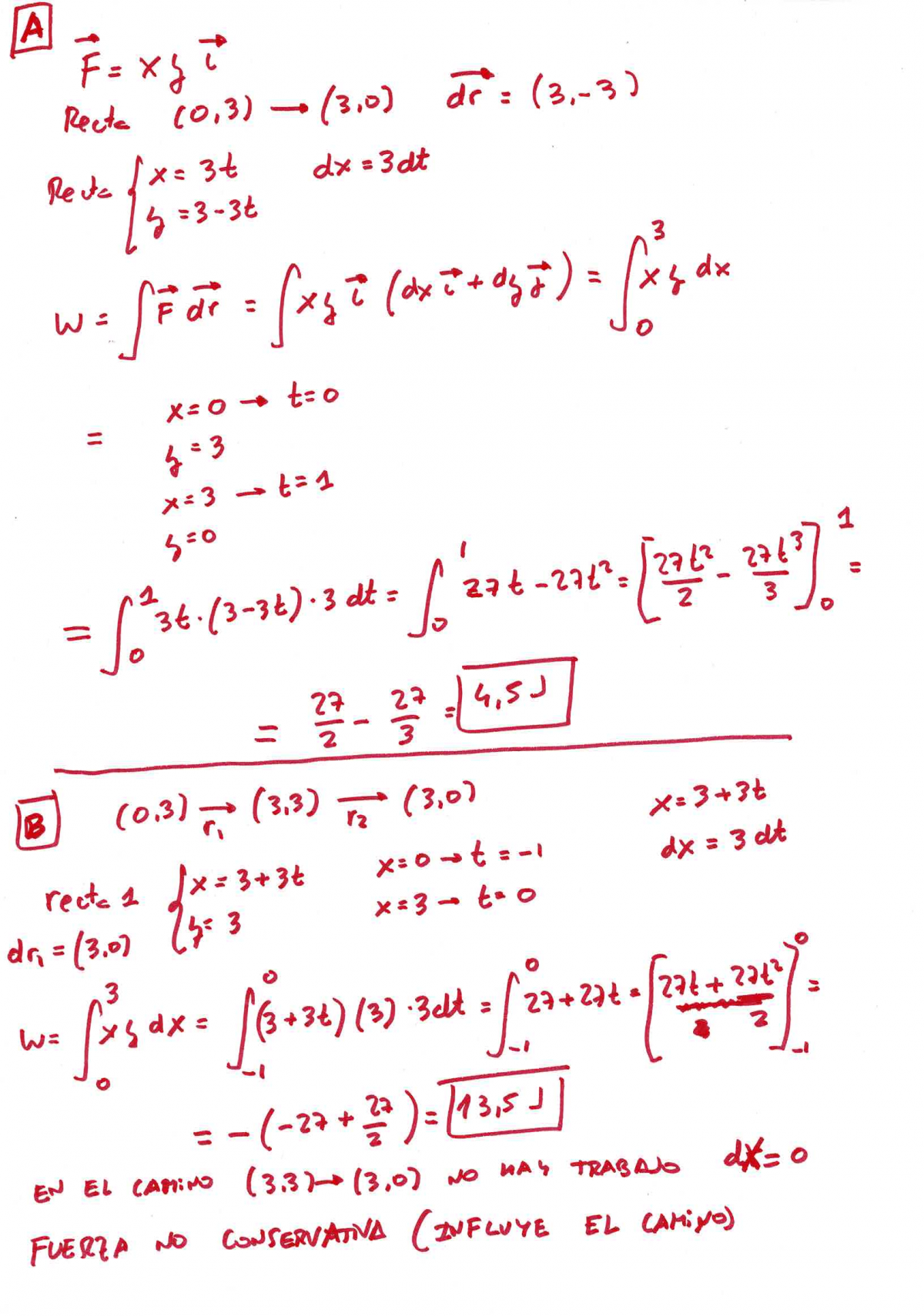
Ejercicio 7 (Lo estoy haciendo con libro en mano, por tanto no te prometo que no haya ningún error).
Me olvido del sistema de referencia planteado y elijo uno mas convencional.
Eje x horizontal positivo hacia la derecha, eje y vertical positivo hacia arriba.
El campo eléctrico entre las placas es uniforme y perpendicular a las placas.
La fuerza eléctrica tiene la misma dirección que el campo y es opuesta a la componente x de la tensión T.
∑Fx = Fe - Tsen(ω) = 0 => Fe = Tsen(ω)
∑Fy = Tcos(ω) - P = 0 => Tcos(ω) = P => T = P/cos(ω)
Fe = P sen(ω)/cos(ω) = mg tg(ω) ≅ 0.1*9.8*0.577 ≅ 0.566 N
E = F/q ≅ 0.566/-1*10-6 ≅ -0.566 *106 ≅ - 566 kN/C
Obviamente, la placa positiva es la de la derecha.
τFe = Fe L sin(θFe) ≅ 0.566 * 0.05 * sin(90 - ω) ≅ 0.566 * 0.05 * sin (60) ≅ 0.0245 Nm (sentido antihorario)
τP = P L sin(θP) = 0.1 * 9.8* 0.05 * sin(ω) = 0.1 * 9.8 * 0.05 * sin(30) = 0.0245 Nm (sentido horario)
ΔV = ED ≅ 0.566 * 106 * 0.1 ≅ 0.0566*106 ≅ 56.6 KV
Q = VC ≅ 1*10-3 * 56.6 * 103 = 56.6 C
Espero haberte ayudado en algo.
Hola. Aquí en el primer momento de inercia que pide cómo debo hacerlo? Considerando el centro de masas? Considerando el moentde inercia de las dos esferas, de la primera solo...? Y para el del centro de masas?

Me encantaría ayudarte, pero no respondo dudas universitarias que no tengan que ver específicamente con los videos que ya he grabado como excepcion. O de otras asignaturas que no sean matemáticas, física y química. Lo siento de corazón… Espero lo entiendas
Ojalá algun unicoo universitario se anime a ayudarte (de hecho lo ideal es que todos los universitarios intentarais ayudaros los unos a los otros)

Considera un sistema de referencia con origen en el punto O, con eje OX hacia el punto O', y con eje OY perpendicular a él, con sentido positivo hacia arriba, tal como tienes dibujado en la imagen.
Luego, observa que los centros de las esferas quedan expresados: O(0,0) y O'(R1+R2,0).
a)
Si consideras que las dos esferas son homogéneas, entonces puedes considerarlas como partículas con sus masas concentradas en sus centros, por lo que las coordenadas del centro de masa del sistema quedan expresadas:
xc = ( M1*0 + M2*(R1+R2) ) / (M1+M2) = ( 0 + M2*(R1+R2) ) / (M1+M2) = ( M2*(R1+R2) ) / (M1+M2),
yc = ( M1*0 + M2*0 ) / (M1+M2) = ( 0 + 0 ) / (M1+M2) = ( 0 ) / (M1+M2) = 0;
por lo que el centro de masas del sistema queda expresado:
C( ( M2*(R1+R2) ) / (M1+M2) , 0 ).
b)
Planteas los momentos de inercia por separado (observa que para la esfera menor debes aplicar el Teorema de Steiner, y que la distancia entre los centros de las esferas es la suma de sus radios), y queda:
I1 = (2/5)*M1*R12,
I2 = (2/5)*M2*R22 + M2*(R1+R2)2;
luego, planteas la expresión del momento de inercia total, y queda:
IO = I1 + I2, sustituyes expresiones, y queda:
IO = (2/5)*M1*R12 + (2/5)*M2*R22 + M2*(R1+R2)2.
c)
Planteas la expresión de la distancia entre el centro de la esfera más grande (O) y el centro de masas (C), y queda:
d = |OC| = |( M2*(R1+R2) ) / (M1+M2) - 0| = M2*(R1+R2) / (M1+M2) (1);
luego, planteas el Teorema de Steiner, y tienes la ecuación:
IC + (M1+M2)*d2 = IO,
restas (M1+M2)*d2 en ambos miembros, y queda:
IC = IO - (M1+M2)*d2,
sustituyes la expresión remarcada y la expresión señalada (1), y queda:
IC = (2/5)*M1*R12 + (2/5)*M2*R22 + M2*(R1+R2)2 - (M1+M2)*( M2*(R1+R2) / (M1+M2) )2,
distribuyes la potencia en el segundo factor del último término, y queda:
IC = (2/5)*M1*R12 + (2/5)*M2*R22 + M2*(R1+R2)2 - (M1+M2)*M22*(R1+R2)2/(M1+M2)2,
simplificas en el último término, y queda:
IC = (2/5)*M1*R12 + (2/5)*M2*R22 + M2*(R1+R2)2 - M22*(R1+R2)2/(M1+M2),
extraes factores comunes entre los dos últimos términos, y queda:
IC = (2/5)*M1*R12 + (2/5)*M2*R22 + M2*(R1+R2)2*( 1 - M2/(M1+M2) ),
resuelves el último factor del último término, y queda:
IC = (2/5)*M1*R12 + (2/5)*M2*R22 + M2*(R1+R2)2*( M1/(M1+M2) ),
ordenas factores en el último término, y queda:
IC = (2/5)*M1*R12 + (2/5)*M2*R22 + M1*M2*(R1+R2)2/(M1+M2).
Espero haberte ayudado.
Hola! Me podrían ayudar a resolver este problema:
Un automóvil de masa 1400 kg circula por una carretera horizontal y de repente describe una curva de radio 70 m de radio a una velocidad constante de 60 km/h. El coeficiente de fregamiento estático entre los neumáticos y el suelo vale 0'5.
a) ¿Cuál es la fuerza de fregamiento necesaria para que el automóvil pueda tomar a la velocidad indicada?
b) ¿El automóvil, puede tomar la curva sin derrapar?
Resultado a) 2288 N b) 6300 N

Te recomiendo eches previamente un vistazo a los vídeo de colisiones, que hay bastantes e intentes a su vez aportar algo mas que el enunciado. De esta manera podremos ver en qué fallas (planteamiento, desarrollo, cálculo) y podremos ayudarte mucho mejor, ánimo y nos cuentas ;)

Establece un sistema de referencia con eje OX con dirección y sentido positivo acordes al desplazamiento antes del choque de la bola B, y con eje OY perpendicular con sentido positivo acorde al desplazamiento después del choque de la bola B.
1)
Planteas las expresiones de las componentes del impulso (cantidad de movimiento) antes del choque, y queda:
p1x = pA1x + pB1x = MA*0 + MB*v0 = 0 + MB*v0 = MB*v0,
p1y = pA1y + pB1y = MA*0 + MB*0 = 0 + 0 = 0.
2)
Planteas las expresiones de las componentes del impulso (cantidad de movimiento) después del choque (observa que designamos con θ al ángulo determinado por la velocidad de la bola A con el semieje OX positivo), y queda:
p2x = pA2x + pB2x = MA*vA*cosθ + MB*0 = MA*vA*cosθ + 0 = MA*vA*cosθ,
p2y = pA2y + pB2y = MA*vA*senθ + MB*v0/2 = MA*vA*senθ + (1/2)*MB*v0.
Luego, como no actúan fuerzas exteriores al sistema formado por las dos bolas en el plano de movimiento, puedes plantear conservación del impulso, por lo que igualas componentes, y queda:
p2x = p1x,
p2y = p1y.
a)
Sustituyes expresiones en el sistema de ecuaciones, y queda:
MA*vA*cosθ = MB*v0,
MA*vA*senθ + (1/2)*MB*v0 = 0,
multiplicas por 2 en todos los términos de la segunda ecuación, y queda:
MA*vA*cosθ = MB*v0,
2*MA*vA*senθ + MB*v0 = 0,
restas x en ambos miembros de la segunda ecuación, y queda:
MA*vA*cosθ = MB*v0 (1),
2*MA*vA*senθ = -MB*v0 (2);
luego, divides miembro a miembro la segunda ecuación entre la primera, simplificas, y queda:
2*tanθ = -1, divides por 2 en ambos miembros, y queda:
tanθ = -1/2, compones en ambos miembros con la función inversa de la tangente, y queda:
θ ≅ -26,505°.
b)
Luego, considera el sistema formado por la ecuación señalada (1), y por la ecuación señalada (2) luego de dividir por 2 en sus dos miembros, y queda:
MA*vA*cosθ = MB*v0,
MA*vA*senθ = -(1/2)*MB*v0,
elevas al cuadrado en ambos miembros, sumas miembro a miembro, extraes factor común y aplicas la identidad pitagórica en el primer miembro, y queda:
MA2*vA2 = (5/4)*MB2*v02,
divides por MA en ambos miembros por x, agrupas factores, y queda
vA2 = (5/4)*(MB2/MA2)*v02 (3),
luego, extraes raíz cuadrada positiva en ambos miembros, distribuyes la raíz entre los factores del segundo miembro, y queda:
vA = ( √(5)/2 )*(MB/MA)*v0 (3).
c)
Planteas la expresión de la energía cinética del sistema antes del choque, y queda:
EC1 = (1/2)*MA*02 + (1/2)*MB*v02 = 0 + (1/2)*MB*v02 = (1/2)*MB*v02.
Planteas la expresión de la energía cinética del sistema después del choque, y queda:
EC2 = (1/2)*MA*vA2 + (1/2)*MB*(v0/2)2 = (1/2)*MA*vA2 + (1/4)*MB*v02.
Luego, planteas la expresión de la variación de energía cinética del sistema debida al choque, y queda:
ΔEC = EC2 - EC1,
sustituyes expresiones en el segundo miembro, y queda:
ΔEC = (1/2)*MA*vA2 + (1/4)*MB*v02 - (1/2)*MB*v02,
reduces términos semejantes, y queda
ΔEC = (1/2)*MA*vA2 - (1/2)*MB*v02;
luego, como tienes que el choque es inelástico, entonces tienes que la energía cinética disminuye a causa del choque, por lo que tienes que la variación de energía cinética es negativa, y puedes plantear la ecuación:
ΔEC < 0,
sustituyes la expresión de la variación de energía cinética en el primer miembro, y queda:
(1/2)*MA*vA2 - (1/2)*MB*v02 < 0,
sumas (1/2)*MB*v02 en ambos miembros, y queda:
(1/2)*MA*vA2 < (1/2)*MB*v02,
multiplicas por 2/MB en ambos miembros, y queda:
(MA/MB)*vA2 < v02,
sustituyes la señalada (3) en el primer miembro, y queda:
(MA/MB)*(5/4)*(MB2/MA2)*v02 < v02,
simplificas factores, y queda:
(5/4)*(MB/MA)*v02 < v02,
multiplicas por 4 y divides por 5 y por x en ambos miembros, y queda:
MB/MA < 4/5,
inviertes expresiones en ambos miembros (observa que cambia la desigualdad), y queda:
MA/MB > 5/4.
Espero haberte ayudado.
Hola buenas si tengo dos conductores rectilineos verticales y paralelos existiendo una distancia de 10 cm entre ellos y por el conductor A (es el que esta a la izquierda) circula una corriente de 10 A hacia arriba, puede ser nulo el campo magnético en un punto intermedio de los dos conductores?

Será nulo el campo magnético en el centro si la Intensidad que circula por el conductor de la derecha también es de 10 A y también dirigido hacia arriba
Ley de Biot SavartTenemos un globo lleno de aire que al que aplicamos nitrógeno líquido, por lo que su volumen se reduce notablemente. Sabiendo que la composición del aire es 78% en N2 y21% en O2 (porcentaje en volumen) y que la densidad del aire líquido es 870 g/l, calcular la reducción relativa del volumen del globo cuando se condense el aire.
Muchas gracias.

Tienes la densidad del aire líquido:
δL = 870 g/L = 870*10-3/10-3 Kg/m3 = 870 Kg/m3;
Puedes buscar la densidad del aire gaseoso en condiciones normales, a nivel del mar, a 15°C en libros o tablas, y tienes:
δG = 1,225 Kg/m3.
Luego, expresas a la masa de aire (observa que no varía con respecto al estado de agregación) en función de su densidad y su volumen en cada estado, y queda:
M = δL*VL (en estado líquido),
M = δG*VG (en estado gaseoso);
luego, igualas las expresiones de la masa de aire, y queda:
δL*VL = δG*VG,
divides por δL*VG en ambos miembros, simplificas, y queda:
VL/VG = δG/δL, reemplazas valores en el segundo miembro, y queda:
VL/VG = 1,225/870, resuelves el segundo miembro, y queda:
VL/VG ≅ 0,001408,
que es el volumen relativo del aire líquido con respecto al aire gaseoso;
luego, restas 1 en ambos miembros de la ecuación remarcada, y queda:
VL/VG - 1 ≅ 0,001408 - 1,
extraes denominador común en el primer miembro, resuelves el segundo miembro, y queda:
(VL - VG)/VG ≅ -0,998592,
expresas al numerador como una variación (VL - VG = ΔV), y queda:
ΔV/VG ≅ -0,998592,
que es la variación relativa de volumen de la masa de aire con respecto a su volumen ene estado gaseoso, y observa que el signo negativo nos indica que el volumen ha disminuido.
Espero haberte ayudado.
Hola, tengo dos preguntas sobre fisica cuantica:
1. Cuando uno lee la regla de cuantificación de Wilson-Sommerfeld aparece matemáticamente que la primera órbita del átomo es circular y las demás son elípticas, pero necesito una imagen o un dibujo
2.¿ La teoría cuantica antigua se aplica a todo?, es decir, ¿las ecuaciones del espectro atómico,lospostulados de Bohr, las series de Balmer, Lymann, etc¿son correctas para cualquier número de electrones de un átomo?, si no es así, ¿Qué teoría corrige esto?

Aquí puedes ver como Sommerfeld introduce el número cuántico azimutl (l) para intentar explicar el comportamiento del átomo.
https://es.wikipedia.org/wiki/Modelo_at%C3%B3mico_de_Sommerfeld
Los modelos atómicos han avanzado mucho desde Bohr que sólo era aplicable al hidrógeno y a modelos hidrogenoides (de un solo electrón), Como sabes después Schrodinger introdujo la cuantización (sólo son posibles determinadas órbitas).
BUENAS NOCHES UNICOOS! ME PODEIS CONFIRMAR QUE TENGO BIEN ESTE PROBLEMA?? LO HE HECHO CON LA FORMULA DEL Ef=Eo+vo*t+1/2*a*t Y EL SUMATORIO DE FUERZAS, PERO NO ESTOY MUY SEGURA. LA DISTANCIA ME DA 37'2m. ESTA BIEN??
Des de la parte de bajo de un plano inclinado de 30º se lanza hacia arriba un cuerpo a 25m/s, calcular la distancia que recorrera hasta detenerse si el coeficiente de rozamiento es 0'2. Muchas gracias de antemano y agradeceria un dibujo con el esquema de fuerzas, pues el planteamiento es lo que mas me cuesta, porque aplicar las formulas no me da problemas.

Observa que sobre el cuerpo actúan tres fuerzas, de las que indicamos sus módulos, direcciones y sentidos:
Peso: P = M*g, vertical, hacia abajo;
Acción normal del plano inclinado: N, perpendicular al plano inclinado, hacia arriba;
Rozamiento del plano inclinado: fr = μ*N, paralela al plano inclinado, hacia abajo.
Luego, estableces un sistema de referencia con origen de coordenadas en el pie del plano inclinado, eje OX paralelo al plano inclinado con sentido positivo hacia arriba, y eje OY perpendicular al plano inclinado con sentido positivo hacia arriba, aplicas la Segunda Ley de Newton (aquí es conveniente que hagas el diagrama de fuerzas), y queda el sistema de ecuaciones:
-M*g*senθ - fr = M*a,
N - M*g*cosθ = 0, de aquí despejas: N = M*g*cosθ = 0 (1);
luego, sustituyes la expresión del módulo de la fuerza de rozamiento en la primera ecuación, y queda:
-M*g*senθ - μ*N = M*a, aquí sustituyes la expresión señalada (1), y queda:
-M*g*senθ - μ*M*g*cosθ = M*a, aquí divides por M en todos los términos, y queda:
-g*senθ - μ*g*cosθ = a, aquí extraes factor común, y queda:
-(senθ + μ*cosθ)*g = a.
Luego, planteas la ecuación velocidad-desplazamiento de Movimiento Rectilíneo Uniformemente Variado (observa que esta ecuación es la más conveniente cuando no tienes al tiempo entre los datos y las incógnitas del problema), y queda:
2*a*Δx = vf2 - vi2,
cancelas el primer término del segundo miembro (recuerda que la velocidad final del cuerpo es nula), divides por 2*a en ambos miembros, y queda:
Δx = -vi2/(2*a),
sustituyes la expresión de la aceleración del cuerpo que tienes remarcada, y queda:
Δx = -vi2/(-2*(senθ + μ*cosθ)*g);
luego, reemplazas valores en esta última ecuación remarcada, y queda:
Δx = -252/(-2*( sen(30°) + 0,2*cos(30°) )*9,8),
resuelves el numerador de la expresión, resuelves el denominador, y queda:
Δx ≅ -625/(-13,195),
resuelves, y queda:
Δx ≅ 47,367 m,
que es la expresión del desplazamiento del cuerpo,
por lo que puedes concluir que éste recorrió aproximadamente 47,367 m sobre el plano, hasta detenerse.
Espero haberte ayudado.

Adjunto una imagen. Espero que ayude con el plateo del diagrama de fuerzas.
En estos ejercicios, en general se plantea un sistema de referencia que convenientemente tiene un eje paralelo al plano inclinado y el otro perpendicular a el, y cuando sea necesario, descompones fuerzas según este sistema de referencia. Por ejemplo, el peso.
El sentido de los ejes no es de gran importancia práctica, pero una vez establecido un sentido debes mantenerlo durante el ejercicio.
En linea a trazos es sistema de referencia propuesto, con sentidos positivos OX hacia arriba-izquierda y OY hacia arriba-derecha.
Desplazo un poco la fuerza de rozamiento para que se aprecie en el dibujo y su modulo no está a escala.
Esta fuerza tiene dirección hacia abajo-derecha mientras el cuerpo sube porque como dices, se opone al movimiento, que en principio es hacia arriba-izquierda, como indica el vector vi .
Luego el objeto se detendría y el cuerpo comenzaría a bajar, y la fuerza de rozamiento cambiaría de sentido, pero eso no formaría parte de este ejercicio.
Tanto Px como Fr tienen el mismo sentido mientras el cuerpo sube, que es negativo en el sistema de referencia que establecimos.
N tendría sentido positivo, y Py sentido negativo.
El sentido de las fuerzas es importante para cuando haces la sumatoria de fuerzas en cada eje. Dependiendo del sentido establecido en los ejes, el sentido de la fuerza indica si su signo es positivo o negativo en la sumatoria.
Respecto a la pregunta "Por que no tienes en cuenta la velocidad del coche como una fuerza?". O no te has explicado, o me dejas atónito.
Si no estoy entendiendo bien explícate, porque me parece que es una duda teórica muy de base. No se como explicarlo sin irme largo.
La velocidad no es una fuerza. Son magnitudes vectoriales diferentes. No se pueden sumar o restar (ni siquiera vectorialmente).
Llamamos velocidad a la variación de la posición en el tiempo. (Y llamamos reposo cuando v = 0)
Llamamos aceleración a la variación de la velocidad en el tiempo.
Llamamos Fuerza a aquella cosa que hace variar el movimiento, o lo que varia la velocidad de un cuerpo, y esta variación está relacionada con la masa según la segunda ley de Newton.
Las fuerzas son las causas por las que un movimiento varia. (Teniendo en cuenta el reposo como movimiento cero.)
Al aplicar una fuerza neta distinta de 0 a una masa constante, se puede decir que lo que varia es la velocidad, y la variación de la velocidad, es por definición, la aceleración. Es decir, al aplicar una fuerza neta distinta de 0, el cuerpo acelera o desacelera, y en la relación F = ma. Segunda ley de Newton.
No tenemos en cuenta "la velocidad del coche como una fuerza" porque no es una fuerza. Tenemos en cuenta la variación de esta velocidad, expresada por el valor de la aceleración "a". Que tampoco es una fuerza propiamente dicha, pero hay una relación de proporcionalidad entre F, a, y m.
Una cosa es una cosa, otra cosa es la variación de la cosa, y otra cosa distinta puede ser aquello que causa la variación de la cosa.
Haciendo historia, la pregunta me suena un poco a mecánica Aristotélica, o a mecánica "intuitiva". Quizás no debería decir esto como profe auxiliar, pero mi consejo es que si quieres hacer estimaciones "a instinto", siempre que sea en términos de energías. Si estudias el tema ya verás que las energías y sus leyes están mucho mas a tono con la "intuición" que las fuerzas, velocidades, aceleraciones, etc. E incluso, y yéndome un poco de tema, varios conceptos Aristotélicos serían correctos bajo un punto de vista energético.
Para todo lo demás, matemática, porque el instinto puede fallar, y fallar fuerte.
Si sigues teniendo dudas en esto, repasa bien los conceptos básicos, las definiciones y leyes de Newton o puedes empezar a arrastrar problemas teóricos de base.
Espero haber podido aclarar las dudas.