buenas, alguien me podría ayudar con este, muchas gracias:
De un movimiento armónico simple sabemos que en el instante t=17 s la posición, la velocidad y la aceleración de la partícula son respectivamente x=0.91 mm, v=528.95 mm/s y a=-13040 mm/s2 . Escribir la ecuación de movimiento.
ME PODRÍAN AYUDAR CON ESTE:
Un cuerpo de 4kg se desliza sobre una superficie horizontal con una velocidad de 10m/seg, siendo el coeficiente de rozamiento con el plano 0,1. La distancia desde el punto inicial hasta el final es de 5m. Determinar la energía cinética del bloque al finalizar el recorrido, si el trabajo realizado por la fuerza de rozamiento coincide con la variación de la energía cinética del cuerpo.
MUCHAS GRACIAS!

Observa que sobre el cuerpo (consideramos que se mueve hacia la derecha) actúan tres fuerzas, de las que indicamos sus módulos, direcciones y sentidos:
Peso: P = M*g, vertical hacia abajo,
Acción Normal: N, vertical hacia arriba,
Rozamiento dinámico: fr = μ*N (1), horizontal hacia la izquierda.
Luego, estableces un sistema de referencia con eje OX horizontal con sentido positivo hacia la derecha, y con eje OY vertical con sentido positivo hacia arriba, aplicas la Segunda Ley de Newton, y tienes el sistema de ecuaciones:
-fr = M*a (2),
N - P = 0 (3);
de la ecuación señalada (3) despejas:
N = P, sustituyes la expresión del módulo del peso, y queda:
N = M*g (4);
luego, sustituyes la expresión señalada (4) en la expresión del módulo de la fuerza de rozamiento señalada (1), y queda:
fr = μ*M*g (5).
Luego, planteas las expresiones de la energía cinética (observa que la energía potencial permanece constante) en el instante inicial, y queda:
ECi = (1/2)*M*vi2 (6).
Luego, planteas la expresión del trabajo de la fuerza de rozamiento, y queda:
Wfr = -fr*Δx (recuerda que el sentido de la fuerza de rozamiento es opuesto al desplazamiento del cuerpo),
sustituyes la expresión del módulo de la fuerza de rozamiento señalada (5), y queda:
Wfr = -μ*M*g*Δx (7).
Luego, planteas la ecuación energía-trabajo, y queda:
ECf - ECi = Wfr,
aquí sumas ECi en ambos miembros, y queda:
ECf = ECi + Wfr,
sustituyes las expresiones señaladas (6) (7), y queda:
ECf = (1/2)*M*vi2 - μ*M*g*Δx,
reemplazas datos que tienes en tu enunciado (consideramos: g = 10 m/s2), y queda:
ECf = (1/2)*4*102 - 0,1*4*10*5,
resuelves términos, y queda:
ECf = 200 - 20,
resuelves, y queda:
ECf = 180 J.
Espero haberte ayudado.
hola, alguien me puede ayudar con este problema:
Un bloque de 6kg que está en reposo, se deja caer desde una altura de 5m por una rampa curva que finaliza en un tramo recto horizontal, para el que puede despreciarse el rozamiento en todo el viaje. En la cabecera hay un resorte, inicialmente no deformado, cuya constante elástica es 15000N/m. Calcular la fuerza máxima que ejerce el resorte sobre el bloque y la velocidad con la que es lanzado nuevamente.
gracias!
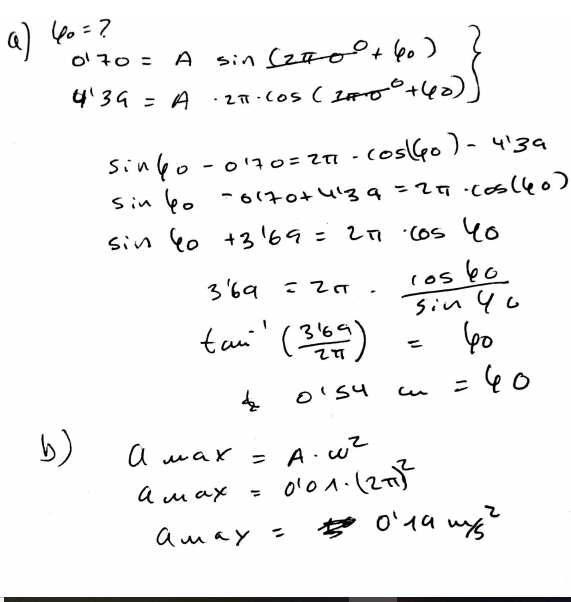
hola, tengo una duda sobre un ejercicio propuesto por unicoos de movimiento armónico simple. No me salen los resultados y no llego a comprender el porqué. Agradecería mucho vuestra ayuda gracias.
Hola unicoos,alguien puede enseñarme como hace esta conversión de tiempo a ángulos,por favor?
Muchas gracias.
me ayudarían con este por favor:
Un
haz de luz, que se desplaza por un medio transparente de índice de refracción n1, pasa (significa que atraviesa la placa y vuelve a emerger al
mismo medio del que provino inicialmente) por una placa gruesa y transparente
con caras paralelas e índice de refracción n2
. Determinar que el rayo emergente es paralelo al rayo incidente