¡Buenas tardes! Tengo una duda de una cuestión teórica. ¿Qué diferencia hay entre un movimiento armónico simple y uno vibratorio?
La vibración es, en general, cualquier movimiento que se mueve hacia adelante y hacia atrás. No necesita repetirse y no necesita tener frecuencias o amplitudes específicas. En general, es movimiento con respecto a alguna posición promedio. Podría superponerse al movimiento de traslación, en cuyo caso esa traducción general no se consideraría parte de la vibración. Por lo general, la vibración se llama vibración solo cuando no es un movimiento que podríamos estar controlando o con la intención de que ocurra. Por lo tanto, el movimiento hacia arriba y hacia abajo de un pistón en un cilindro de un motor no se consideraría vibración porque está haciendo lo que nosotros diseñamos para hacer. Eso podría llamarse movimiento oscilatorio, pero probablemente no vibración. En contraste, el movimiento de la tapa de metal sobre el filtro de aire se llamaría vibración.
El movimiento armónico simple es un tipo de movimiento oscilatorio muy específico. Es el movimiento que se produce cuando tienes una fuerza que es proporcional al desplazamiento y actúa en la dirección opuesta al desplazamiento. Con estas condiciones, el movimiento es una onda sinusoidal pura a amplitud constante y frecuencia constante Puede o no ser considerado vibración dependiendo de las circunstancias.
Saludos.
Si entre todas las paradas (que son 7) existe la misma distancia, dice calcular aceleración y velocidad final ¿lo tomo a ese dato como velocidad y distancia inicial?

Si el tren no tiene paradas entre los puntos inicial y final de su recorrido, es razonable pensar que acelera durante la primera mitad de su recorrido (18,5 Km, tardando 7,5 min), y que desacelera durante la segunda mitad, con velocidad inicial y velocidad final nula.
Si el tren para en todas sus estaciones, es razonable pensar que acelera durante la primera mitad de la etapa ( ((37 Km)/7)/2 = 37/14 Km, tardando (15/7)/2= 15/14 min ), y que desacelera durante la segunda mitad de la etapa, con velocidad inicial y velocidad final nula en cada etapa.
Por favor, revisa bien tus apuntes de clase para ver si entre estas dos opciones está lo que necesitas.
Espero haberte ayudado.
No tengo los resultados pues es un ejercicio de examen. Pero me parece que no es así. Pues en todo el recorrido tiene una aceleración de modulo constante y hay que calcular el valor de velocidad máxima alcanzada, no puedo pensar que en la1er mitad acelera y en la 2da mitad desacelera.
En una región del espacio hay un campo eléctrico E=4X10^3 j N/C y otro magnético B=-0.5 i T. Si un protón penetra en esa región con una velocidad perpendicular al campo eléctrico y se mantiene el campo magnético:
¿Cuál debe ser la veocidad del protón para que al atravesar esa región no se desvíe?
Ayuda con este ejercicio, no se como sacar la componente del vector velocidad.
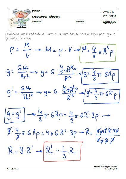
Hola buenos días tengo una duda con un ejercicio concreto si me piden que cuanto debería ser el radio terrestre para que el valor de la gravedad no variará y me dan de dato que si la densidad de la Tierra fuese tres veces mayor, ¿Que fórmula tendría que usar en este ejercicio para resolverlo?![]()

Como partes del dato de que la densidad de la tierra se triplica y por tanto su masa variara, es obvio que si varia la masa, la aceleración de la gravedad también lo hará. El problema es que no te piden cuanto varia, te piden como debe de ser el radio para que no varíe esa gravedad. Por tanto tenemos que tomar que la gravedad que varia debe de ser igual a la gravedad actual. Una vez planteado desarrollamos matemáticamente esa condición para calcular que ocurre cuando la densidad se triplica y es que el radio también lo hace. Espero que te ayude, animo ;)
Me podrían ayudar con este ejercicio?
¿Cuántas veces es mayor la cantidad de movimiento angular de la Tierra en órbita en torno al Sol que el de la Luna en órbita alrededor de la Tierra? (Use: masa de la Tierra = 5.98x1024kg; masa de la luna = 7.36x1022 kg; distancia sol-Tierra = 1.5x1011m; distancia Tierra-luna = 3.84x108m)
Ayuda con este problema?..
No se como hacerlo, tengo entendido que si los cilindros estan juntos, se suman sus momentos de inercia.
Si tomo torque alrederor del centro del cilindro chico me quedaria
F*0,3m - Froz*1m = Inercia ambos * Aceleracion Angular.
No se si esta bien esto, pero me falta la aceleracion y nose como sacarla.

Lamento no poder ayudarte con este ejercicio por ser de nivel universitario. Eso sí, decirte que como excepción el profe grabó algunos vídeos sobre momento de inercia que espero te ayuden. Un saludo
es urgente :C


Observa que puedes calcular la superficie de la base del bloque (ancho por largo), y queda:
S = a*L = 10*4 = 40 m².
Luego, planteas la expresión de la presión que ejerce el bloque sobre el suelo (observa que la fuerza aplicada es el peso del bloque), y queda:
p = (360 N) / (40 m²) = 9 Pa.
Espero haberte ayudado.
estoy necesitando ayuda para esto:
Un tren rápido se mueve con una velocidad de 30 m/seg. La frecuencia que emite el silbato de la locomotora es de 500 Hz. ¿Cuál es la longitud de onda de las ondas sonoras que recibe un observador inmóvil delante del tren y cuál cuando el tren ya pasó por delante del observador?. ¿Qué frecuencia percibirá un observador que viaje en otro tren cuya rapidez sea 15 m/seg si se acercan uno al otro? (velocidad del sonido en el aire vs=345 m/seg)
disculpen la molestia, muchas gracias!

Te recomiendo encarecidamente que veas este vídeo, el profe lo explica genial y te mostrará la teoria que necesitas para resolverlo, si sigues con dudas nos lo dices, ánimo!
holaaaa, alguien me me ayuda con este problema:
La velocidad del sonido en el aire es 340 m/seg, y en el agua 1420 m/seg. Calculen la longitud de onda de una vibración de frecuencia 256 Hz cuando: se propaga en el aire, y cuando se propaga en el agua.
gracias