
Hola! Me encantaría ayudarte, pero no respondemos dudas universitarias que no tengan que ver específicamente con los videos que ya ha grabado como excepcion el profe. O de otras asignaturas que no sean matemáticas, física y química. Lo siento de corazón… Espero lo entiendas
Unicoos llega exclusivamente hasta secundaria y bachillerato
Buenas tardes. ¿Alguien me podría explicar qué función tiene el operador nabla en sus aplicaciones? Por ejemplo: cuando se hace el producto vectorial con la fuerza para saber si un campo vectorial es conservativo o con el gradiente del potencial.
Muchas gracias de antemano.
Me ayudarían? Me da dos resultados negativos
T1= -5.96 y T2= -14.28
no se si estará bien por ser negativos

Revisa el enunciado. El sistema no puede estar en equilibrio salvo tensiones dirigidas en sentido opuesto a las supuestas tensiones mismas (o barras en lugar de cuerdas). Mas allá de eso, técnicamente los resultados a los que has llegado son correctos. Los signos negativos indican sentidos opuestos a los asumidos.

Supongo que la fuerza de rozamiento no actúa durante la compresión del resorte.
El trabajo W realizado por una fuerza constante durante un recorrido Δs es: W = F Δs cos(λ) donde λ es el angulo entre F y Δs.
Si F y Δs están alineados (λ = 0, o 180°) Entonces: W = F Δs
Para un resorte lineal (que obedece a la ley de hooke), la energía potencial elástica acumulada Epe es Epe = ½ kx², donde k es la constante elástica, y x es la deformación. Notese que el dato de k esta en kilo Newtons.
Por conservación de la energía, Conociendo la energía cinética con la que el bloque llega al resorte, podemos igualar en Epe y despejar x.
Altura inicial y angulo del plano inclinado.
El angulo α que forma el plano respecto a la horizontal se deduce del pequeño triangulo de base 4 y altura 3: tg(α) = 3/4 => α = arctan(3/4) = 36.9°
Luego, la altura inicial h = 7.6 sin(36.9) = 4.56 m
Parte 1. Plano inclinado.
Energía inicial. El bloque parte del reposo, de modo que su energía cinética inicial es 0. Toda la energía inicial es entonces su energía potencial gravitatoria Epg.
Epg = mgh = 30.6*9.8*4.56 = 1367 J. Si no existieran perdidas de energía por rozamiento, al finalizar el plano inclinado, toda su energía potencial gravitatoria se habría convertido en energía cinética. Pero como hay perdidas, la energía cinética Ec en ese momento sera entonces: Ec = Epg - Er donde Er es el trabajo realizado por la fuerza de rozamiento Fr.
Fuerza de rozamiento y trabajo de la fuerza de rozamiento.
Fr = µN. N = P cos(α) = mg cos(α) = 240N => Fr = 0.2*240 = 48 N. Y como µ y N son constantes durante todo el recorrido de plano inclinado, Fr también lo es.
El trabajo Wr realizado por tanto Wr = Fr Δs. El recorrido Δs es 7.60 m por lo tanto Wr = 48*7.6 = 365 J. Energía perdida por rozamiento, que habíamos llamado Er
Por tanto, Ec al finalizar el plano inclinado es Ec = 1367 - 365 = 1002 J
Parte 2. Plano horizontal.
La altura permanece constante. No hay variaciones de la Ec por motivos de la fuerza gravitatoria. Solo hay perdidas producto del rozamiento que en este caso es:
Fr = μN = μ mg = 60N, y el trabajo realizado en el recorrido de 2.75 (2.75? veo bien?) es Wr = 60*2.75 = 165j. Luego Ec al final del plano horizontal es 1002 - 165 = 837J
En resumen. El bloque parte del reposo con una Epg de 1367J. Mientras recorre el plano inclinado pierde por rozamiento una energía de 365j. De modo que comienza el movimiento en el plano horizontal con una Ec de 1002J. Y durante el movimiento horizontal disipa una energía de 165j. De modo que llega al resorte con una Ec de 837J.
Deformación del resorte.
La deformación máxima del resorte sucederá cuando toda la Ec con la que el bloque alcanza al resorte se transforme en Epe
Epe = ½ kx² => x² = 2Epe/k => x = √2Epe/k). Y si suponemos que no hay perdidas por rozamiento durante la compresión podemos igualar Epe a la Ec con la que el bloque alcanza el resorte.
Luego x = √2*837/18000) = 0.305 m

Por si lo piden con la fuerza de rozamiento actuando durante la compresión y lo manejan con algo mas de matemática.
El trabajo W realizado por una fuerza F es: W = ∫ Fdx entre a y b, si F y dx son colineales.
La fuerza ejercida por el resorte Fk es: Fk = kx y Fr es como ya se ha dicho Fr = μN.
Estableciendo un sistema de coordenadas con origen al finalizar el plano horizontal, el extremo inferior de integración a es a = 0 y el extremo superior b es un b tal que W = 837J.
Como la fuerza de rozamiento y la fuerza del resorte tienen igual sentido la fuerza neta Fn es: Fn = Fk + Fr = kx + μN.
Luego: W = ∫ Fn dx = ∫ Fk + Fr dx= ∫ kx + μN dx = ∫ kx dx + ∫ μN dx = k ∫ x dx + μN ∫ dx = ½kx² + μNx
Entonces: (½kb² + μNb) - (½ka² + μNa) = ½kb² + μNb = 837 => 9000b² + 60b - 837 =0 => b = 0.301644 = 0.302m

Para que la bola se encuentre en equilibrio, debe de haber una fuerza horizontal hacia la derecha de 100 N. Siendo x horizontal e y vertical:
Si dicha fuerza equilibrarte es únicamente producto de la tensión T, entonces, dicha fuerza es la componente horizontal de T, Tx
Por trigonométrica. Tx = T sen(37°) => T = Tx/sen(37°) y como Tx = 100 ( por condición de equilibrio) => T = 100/sen(37°) = 166N
Las respuestas están equivocadas. Posiblemente aplicaron Tx = T cos(α), quizás por costumbre ya que en general el dato es el angulo respecto a la horizontal y daría como resultado 125, pero es incorrecto.
Según ese angulo α de 37°. Tx = T sen(α) y Ty = T cos(α).

Perdón. Conociendo la respuesta creo que ya entendí lo que verdaderamente está pidiendo el enunciado. 100N no es el modulo del vector representado, es el peso de la bola. Y lo mas confuso del enunciado, lo que se pide no es la tensión T en la cuerda sino la componente horizontal Tx de la tensión T.
La tensión T se calcula entonces igualando su componente vertical al peso de la bola: Ty = T cos(37°) = 100 => T = 125 N
Y su componente horizontal es entonces Tx = T sen(α) = 125*sen(37) = 75 N.
Pero es aplicando ingeniería inversa al confuso enunciado.
Tengo una duda con el ejercicio, si las cargas iguales se atraen y las distintas se repelen,
¿la carga q1 no se quedaría pegada a la q2 ?

La solución podría ser una posición que se encuentra a la izquierda de q2. Luego calculas las distancias entre cargas.
También podría ser a la derecha de q3. Pero por los valores prometo que si hay solución en donde las fuerzas se anulan, es a la izquierda de q2
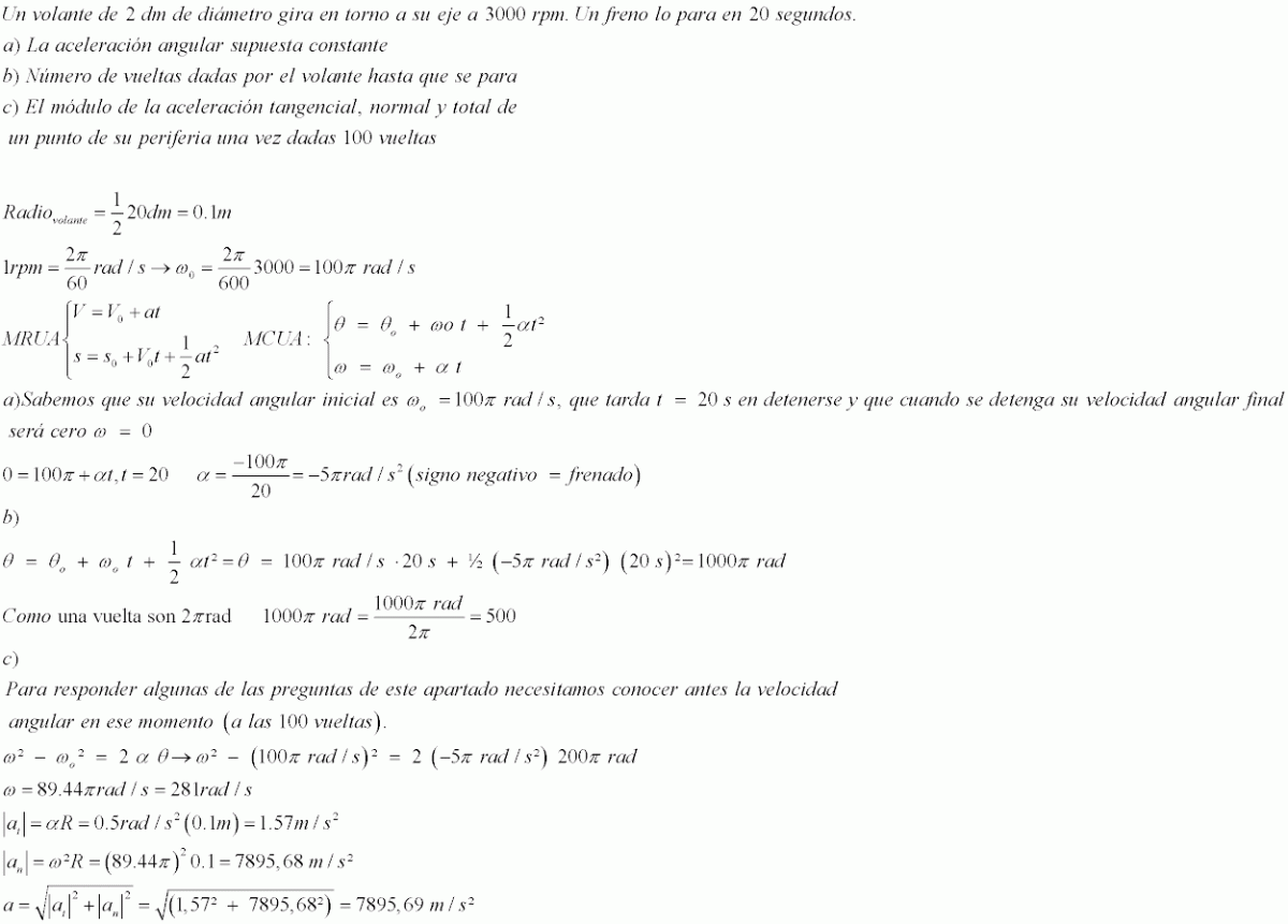
Puedes resolverlo ahora? El desarrollo del ejercicio es algo largo, pero si no puedes lo desarrollo.Un volante de 2 dm de diámetro gira en torno a su eje a 3000 rpm. Un freno lo para en 20 segundos.
a) La aceleración angular supuesta constante
b) Número de vueltas dadas por el volante hasta que se para
c) El módulo de la aceleración tangencial, normal y total de un punto de su periferia una vez dadas 100 vueltas