Un satélite describe una órbita circular en torno a la tierra. Exprese sus energías cinética y potencial en función de las masas del satélite y de la tierra y del radio orbital. Determine la relación entre la energía potencial y la energía total.
Yo he llegado a que la Ep = -GMm/r y que la Ec = 1/2*GMm/r pero se supone que la Ec = -Ep asi que el 1/2 sobraria

Planteas la expresión de la energía potencial gravitatoria del satélite, y queda:
EP = -GMm/r.
Luego, planteas la expresión del módulo de la fuerza de atracción gravitatoria que ejerce la Tierra sobre el satélite, y queda:
F = GMm/r2;
luego, aplicas la Segunda Ley de Newton para el satélite, y queda la ecuación:
GMm/r2 = macp;
luego, divides por la masa del satélite en ambos miembros, y queda:
GM/r2 = acp;
luego, expresas al módulo de la aceleración centrípeta en función del radio orbital y de la velocidad lineal del satélite, y queda:
GM/r2 = v2/r;
luego, multiplicas por r en ambos miembros de la ecuación, y queda:
GM/r = v2;
luego, multiplicas por la mitad de la masa del satélite en ambos miembros (observa que en el segundo miembro queda la expresión de la energía cinética de traslación del satélite, y queda:
(1/2)GMm/r = EC.
Luego, planteas la expresión de la energía mecánica total del satélite, y queda:
EM = EP + EC, sustituyes expresiones en el segundo miembro, y queda:
EM = -GMm/r + (1/2)GMm/r, reduces términos semejantes en el segundo miembro, y queda:
EM = -(1/2)GMm/r.
Luego, planteas la razón entre la energía potencial gravitatoria y la energía mecánica total para el satélite, y queda:
r = EP / EM (*), sustituyes expresiones, y queda:
r = (-GMm/r) / ( -(1/2)GMm/r, simplificas, resuelves, y queda:
r = -2,
sustituyes el valor remarcado en la ecuación señalada (*), y queda:
-2 = EP / EM, multiplicas por EM en ambos miembros, y queda:
-2EM = EP,
por lo que puedes concluir que la energía potencial gravitatoria del satélite es igual al opuesto del doble de su energía mecánica total.
Espero haberte ayudado.
buenas, mi deducción no coincide con la solución del libro...podriais explicarmelo?
"Se consigue dejar un globo lleno de aire en equilibrio en el interior de una masa de agua, utilizando una piedra.El conjunto queda en equilibrio en el interior del fluido.Lo hacemos descender 10cm. que pasa con el cuerpo? 1.queda en equilibrio en la nueva posición. 2 cae al fondo . 3. vuelve a la posición de equilibrio. 4 sube a la superficie "
yo creo que es la respuesta 3, que vuelve a la posición de equilibrio, porque en ella el empuje es igual al peso.. pero la solución es que cae al fondo.. por qué?
Gracias

Vamos con una orientación.
Observa que al descender, tienes que la profundidad aumenta y, por lo tanto también aumenta la presión que soporta el globo (consideramos que la temperatura del sistema es constante, y recuerda la Ley de Boyle-Mariotte), por lo que disminuye también el volumen del globo, lo que trae aparejado que la fuerza de empuje que ejerce el líquido sobre él también disminuya. Luego, tienes que el globo ya no se encuentra en equilibrio, ya que el módulo de su peso es menor que el módulo de la fuerza de empuje.
Espero haberte ayudado.
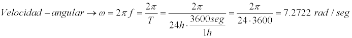
no logro entender este ejercicio de mcu :
calcular la velocidad angular del planeta Tierra en su rotación.
Se lanza un satélite en una dirección paralela a la superficie terrestre a
800 m/s desde 500 km de altura. Determine la velocidad del satélite cuando
alcance su máxima altura de 4500 km ¿Que excentricidad tiene la órbita
que describe? (RT = 6370 km)
Ayuda!!
Movimiento de proyectiles
Si en un partido de fútbol un jugador patea la pelota hacia el arco y esta alcanza una altura máxima de 3 m considerando que el palo superior del arco tiene una altura de 2,5 m. Qué ocurrirá? Justifica tu respuesta.
-------------
No entiendo, creo que la pelota esta en aceleración y sobrepasa el arco pero en algún momento volverá a v=0... AYUDAA NO ENTIENDO