Buenas tardes, me podría ayudar con los siguientes ejércitos, creo que lo estoy planteando mal. Gracias

Se trata de que DESPUES DE IR A CLASE (ver los vídeos relacionados con vuestras dudas) envies dudas concretas, muy concretas. Y que nos envies también todo aquello que hayas conseguido hacer por ti mismo. Paso a paso, esté bien o mal. No solo el enunciado. De esa manera podremos saber cuál es tu nivel, en que podemos ayudarte, cuales son tus fallos.... Recuerda que el trabajo duro ha de ser tuyo. Nos cuentas ¿ok?
me podriais ayudar con este ejercicio?
Dos partículas, A y B, están en movimiento circular uniforme alrededor de un centro común. La aceleración de
la partícula A es 4,7 veces mayor que la de la partícula B. La partícula B tarda 2.4 veces más en rotar que la partícula A. La relación del radio del movimiento de la partícula A con respecto a la de la partícula B es la más cercana a: a) 3.8 b) 2.0 c) 11 d) 0.51. Justifique su respuesta.

Recuerda la expresión de la velocidad en Movimiento Rectilíneo Uniformemente Variado:
v = vi + a*t, expresas a la velocidad como cociente entre diferenciales, y queda:
dx/dt = vi + a*t, separas variables, y queda:
dx = (vi + a*t)*dt,
que es la expresión del desplazamiento instantáneo del móvil.
Luego, reemplazas datos, y las expresiones de los desplazamientos instantáneos de los móviles quedan:
dx1 = (10 + 2*t)*dt,
dx2 = (12 - 10*t)*dt.
Luego, evalúas para el instante en estudio (t = 0, que corresponde al instante en en que los móviles están apareados), y queda:
dx1 = 10*dt,
dx2 = 12*dt;
luego, planteas la resta entre los desplazamientos instantáneos, y queda:
dx1 - dx2 = -2*dt,
y como su resultado es menor que cero puedes concluir que el desplazamiento instantáneo del móvil 2 es mayor que el desplazamiento instantáneo del móvil 1, por lo que tienes que en el instante en estudio el móvil 2 está sobrepasando al móvil 1.
Espero haberte ayudado.

Dibuja un gráfico cartesiano, y ubica en él un cuadrado con vértices: (0,0), (L,0), (0,L) y (L,L).
Considera cada una de las masas y sus posiciones:
M1, ubicada en P1(0,0);
M2, ubicada en P2(L,0);
M3, ubicada en P3(0,L).
Considera que el punto en estudio es: P(L,L),
y observa que las distancias entre las posiciones de las masas y el punto en estudio quedan:
d1 = |P1P| = √(2)*L (observa que es la longitud de la diagonal del cuadrado);
d2 = |P2P| = L (observa que es la longitud de un lado del cuadrado);
d3 = |P3P| = L (observa que es la longitud de un lado del cuadrado).
Luego, observa que las direcciones de los tres campos son con sentido hacia el origen, y observa además que la dirección del campo producido por la primera masa forma un ángulo de 45° con el eje OX, y que la dirección del campo producido por la segunda masa es paralela al eje OX, y que la dirección del campo producido por la tercera masa es paralela al eje OY.
Luego, planteas las expresiones de las componentes del campo gravitatorio resultante, y queda:
gx = -g1*cos(45°) - g2,
gy = -g1*sen(45°) - g3;
sustituyes las expresiones de los módulos de los campos producidos por las masas, y queda:
gx = -(G*M/d12)*cos(45°) - G*M/d22,
gy = -(G*M/d12)*sen(45°) - G*M/d22;
sustituyes las expresiones de las distancias, resuelves denominadores, reemplazas valores, y queda:
gx = -( G*M/(2*L2) )*√(2)/2 - G*M/L2,
gy = -( G*M/(2*L2) )*√(2)/2 - G*M/L2;
simplificas, extraes factores comunes, y queda:
gx = -(G*M/L2/4)*(√(2) + 4),
gx = -(G*M/L2/4)*(√(2) + 4),
que son las expresiones de las componentes del campo gravitatorio resultante en el punto P(L,L),
cuyo módulo queda:
g = (G*M/L2/4)*(√(2) + 4)*√(2) = (G*M/L2/4)*( 2 + 4*√(2) ) = (G*M/L2/2)*( 1 + 2*√(2) ).
Espero haberte ayudado.

No se entiende bien Adrian... Y no te pueden pedir trayectoria.....
En cuanto al desplazamiento... suma de vectores...
(0,15)+(8,0)+(0,-6)+... imposible saberlo si no sabemos el angulo...
Intenta para la próxima tomar los datos y el enunciado exacto i literal lo más definidos posibles. Un abrazo...
Hola Unicoos :)
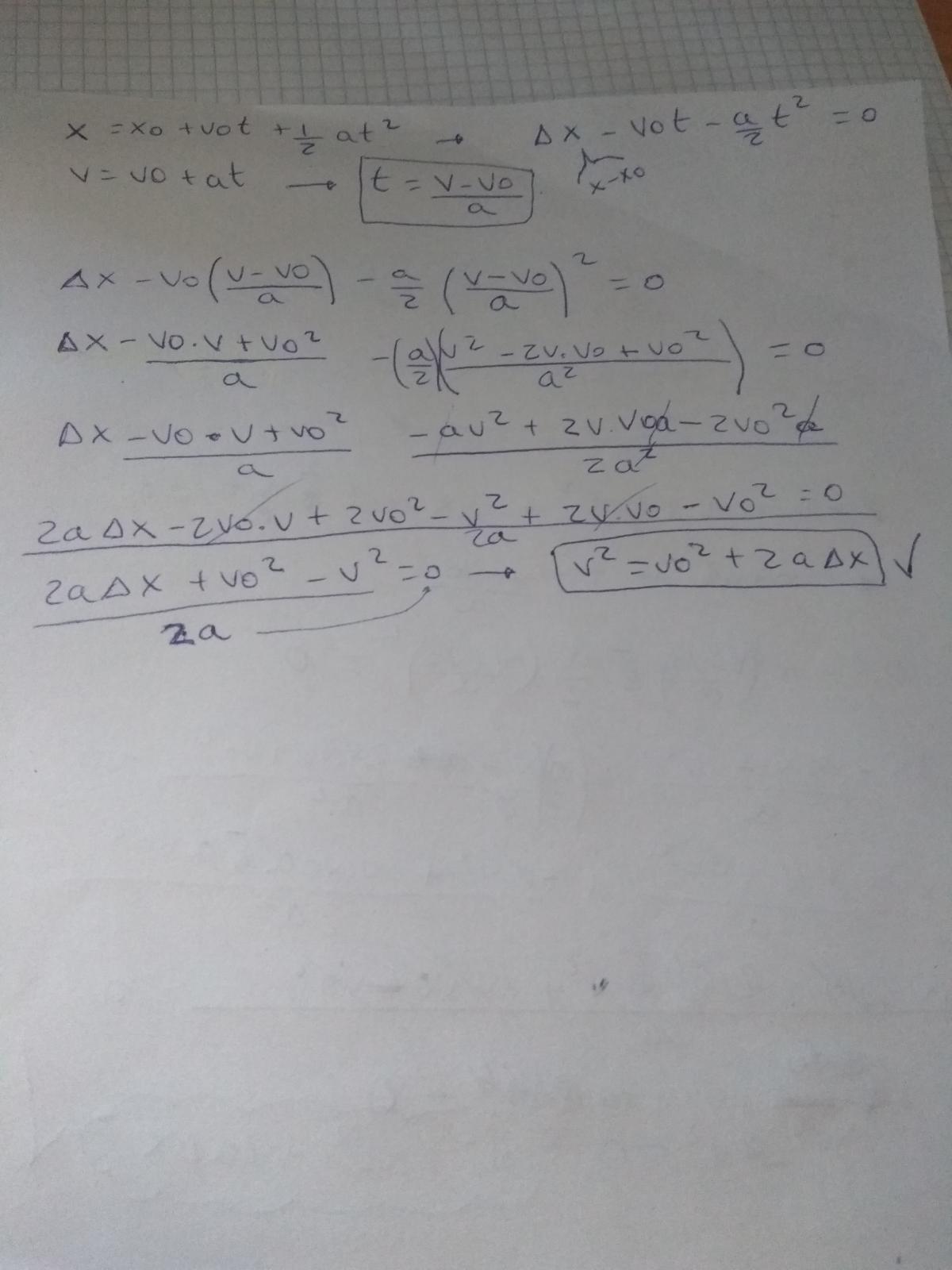
Me gustaría que alguien me explicase la deducción de la famosa fórmula de cinemática de MRUA que no necesita el tiempo.
Vf2- V0 = 2aΔx a partir de las fórmulas de velocidad y posición ( Vf = V0 + at y xf =x0 +v0t+1/2 at2 )
He intentado hacer el sistema, pero no he logrado llegar a la solución.
Muchas gracias por su tiempo.

2a)
Debes considerar dos etapas: cambio de estado y luego enfriamiento del líquido:
ΔQ = -M*Lv + M*CL*(tf - ti) =
= -20*540 + 20*1*(20 - 100) =
= -10800 + (-1600) =
= -12400 cal.
2b)
Debes considerar tres etapas: calentamiento del hielo, cambio de estado, y luego calentamiento del líquido:
ΔQ = M*CS*(tfS - tiS) + M*Lf + M*CL*(tfL - tiL) =
= 80*0,55*( 0 - (-6) ) + 80*80 + 80*1*(10 - 0) =
= 264 + 6400 + 800 = 7464 cal.
4)
Observa que el trozo de aluminio cede calor, que es absorbido por el calorímetro de cobre y por la masa de aceite, por lo que puedes plantear la ecuación de equilibrio térmico:
ΔQAl + ΔQCu + ΔQac = 0,
sustituyes expresiones, y queda:
MAl*CAl*(tf - tiAl) + MCu*CCu*(tf - tiCu) + Mac*Cac*(tf - tiac) = 0,
reemplazas valores, y queda:
80*CAl*(72 - 300) + 200*0,094*(72 - 20) + 150*0,37*(72 - 20) = 0,
resuelves el coeficiente en el primer término, resuelves y reduces los dos últimos términos, y queda:
-18240*CAl + 3863,6 = 0,
restas 3863,6 en ambos miembros, y queda:
-18240*CAl = -3863,6,
divides en ambos miembros por -18240, y queda:
CAl ≅ 0,212 cal/(g*°C).
Esopero haberte ayudado.
Hola!!! tengo una duda sobre fuerzas no conservativas.
Supongamos que lanzo un objeto por el piso con una cierta velocidad inicial. Si existe una fuerza de rozamiento, entonces ¿no hay energía cinética final? es decir, ¿ la velocidad final siempre va a ser cero?

Observa que la velocidad del móvil iría disminuyendo, por lo que tienes que tener en cuenta cuál es la pregunta que debes responder.
Si te piden hallar "la distancia máxima que puede recorrer el móvil", ahí sí tienes que su velocidad final es nula.
Pero si te piden evaluar la velocidad en un instante determinado, ahí ya no tienes seguridad de que la velocidad sea nula.
Espero haberte ayudado.