Me han pedido que deduzca una expresión para el periodo de oscilación o revolución del péndulo cónico en función de L y θ pero no tengo ni idea de como se hace, una ayudita???
Buenas tardes! Tengo un examen el lunes y me gustaría que alguien me pudiese corregir este ejercicio.
"Calcule la actividad de un radioisótopo cuando ha transcurrido un tiempo igual a 4 veces su media de vida." Muchísimas gracias!!
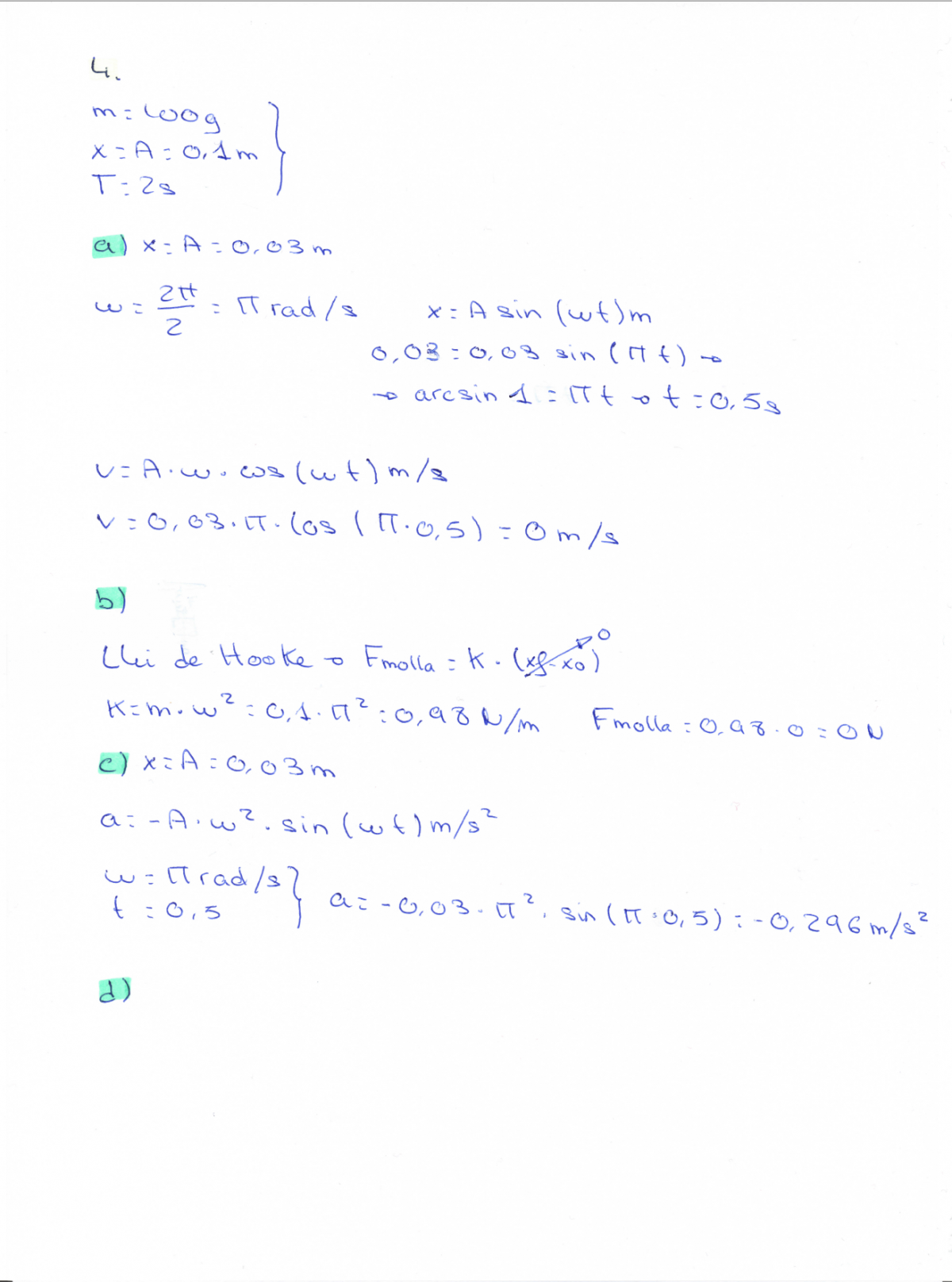
Hola buenas, en el siguiente ejercicio he hecho el apartado a, b y c (no se si están bien) y el d y e, no se hacerlos. Me lo podrían mirar. Se tira de un cuerpo de 100 g, suspendido de un muelle, hasta que baja 10 cm por debajo de su posición de equilibrio y se suelta. Se observa entonces que oscila con un periodo de 2 s. Calcula:
a) ¿Cuál será la velocidad cuando esté a 3 cm por encima de la posición de equilibrio.
b) La fuerza que ejerce el muelle cuando está en la posición de equilibrio.
c) La aceleración cuando está 3 cm por encima de la posición de equilibrio.
d) El vector fuerza total en esta posición.
e) La fuerza del muelle en esta posición.
Tengo una duda acerca del movimiento lineal y es que no me paran de preguntar sobre un objeto explota y tengo que averiguar hacia qué direccion va el tercer fragmento y no sé como hallarlo. Por favor es una duda existencial y además es urgente. Muchas gracias.

Viste los videos de caida libre?
A partir de ahí, se trata
de que DESPUES DE IR A CLASE (ver los vídeos relacionados con vuestras dudas)
envies dudas concretas, muy concretas. Y que nos envies también todo aquello
que hayas conseguido hacer por ti mismo. Paso a paso, esté bien o mal. No solo
el enunciado. De esa manera podremos saber cuál es tu nivel, en que podemos
ayudarte, cuales son tus fallos.... Recuerda que el trabajo duro ha de ser tuyo.
Nos cuentas ¿ok?
Buenas. Pregunta de muelles:
Si un muelle después del equilibrio lo estiramos la fase inicial es siempre 270 grados? Considerando tiempo cero ese instante de máximo estiramiento.????

Fíjate que la ecuación del desplazamiento está formada por el producto de la Amplitud del movimiento (máximo desplazamiento sobre el punto de equilibrio) y la función seno. Para que en el instante cero tengo la máxima amplitud (A), quiere decir que
sen(f)=1
y, por tanto, despejando
f= arco sen(1).

Observa que tienes dos posibles posiciones para estiramiento máximo, por lo que deberás elegir una opción para la fase inicial, de acuerdo al sistema de referencia que hayas planteado para abordar el problema y, además, sería muy conveniente enviaras el enunciado completo:
1°)
x(t) = A*sen(ω*t + 90°),
que para el instante inicial (t = 0) toma el valor:
x(0) = A*sen(ω*0 + 90°) = A*sen(90°) = A*1 = A;
2°)
x(t) = A*sen(ω*t + 270°),
que para el instante inicial (t = 0) toma el valor:
x(0) = A*sen(ω*0 + 270°) = A*sen(270°) = A*(-1) = -A.
Espero haberte ayudado.
Hola buenas, tenga una duda sobre un problema de MAS. Un bloque de madera esta sujeto a un muelle y oscila sobre una superficie horizontal lisa con un periodo de 0,8 s. Un segundo bloque descansa en su parte superior. El coeficiente de rozamiento estático entre los bloques es de 0,25.
a) Si la amplitud de oscilación es de 1cm, ¿deslizara el bloque situado arriba?
b) ¿Cual es la mayor amplitud de oscilación para la cual no se desliza el bloque situado en la parte superior?.
No se como desarrollar el problema, si alguien me puede echar un cable lo agradecería, muchas gracias, un saludo.
Tengo una duda sobre un problema de plano inclinado y poleas:
En un plano inclinado con polea la masa de cada cuerpo es de 20Kg. El coeficiente de rozamiento entre A y el suelo es 0.25. Calcula el tiempo que transcurre desde que se sueltan los cuerpos hasta que A avanza 2m, suponiendo despreciable el rozamiento de la polea.
Ángulo del plano inclinado = 37º
Muchas Gracias