Hola me podrian ayudar con este pequeño ejericio.. no se por que no me da la respuesta
Un pequeño dirigible es llenado con 200 m3 de helio ¿cuanta masa adicional a la masa del helio puede el pequeño dirigible elevar? densidad del aire= 1.25 kg/m, densidad del helio=0.179kg/m3

Hola! Me encantaría ayudarte, pero no respondemos dudas universitarias que no tengan que ver específicamente con los videos que ya ha grabado como excepcion el profe. O de otras asignaturas que no sean matemáticas, física y química. Lo siento de corazón… Espero lo entiendas
Unicoos llega exclusivamente hasta secundaria y
bachillerato

Hola! Me encantaría ayudarte, pero no respondemos dudas universitarias que no tengan que ver específicamente con los videos que ya ha grabado como excepcion el profe. O de otras asignaturas que no sean matemáticas, física y química. Lo siento de corazón… Espero lo entiendas
Unicoos llega exclusivamente hasta secundaria y
bachillerato

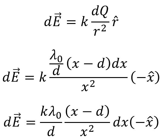
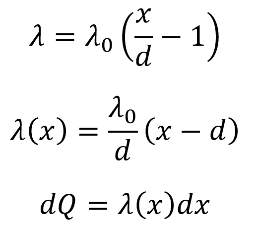
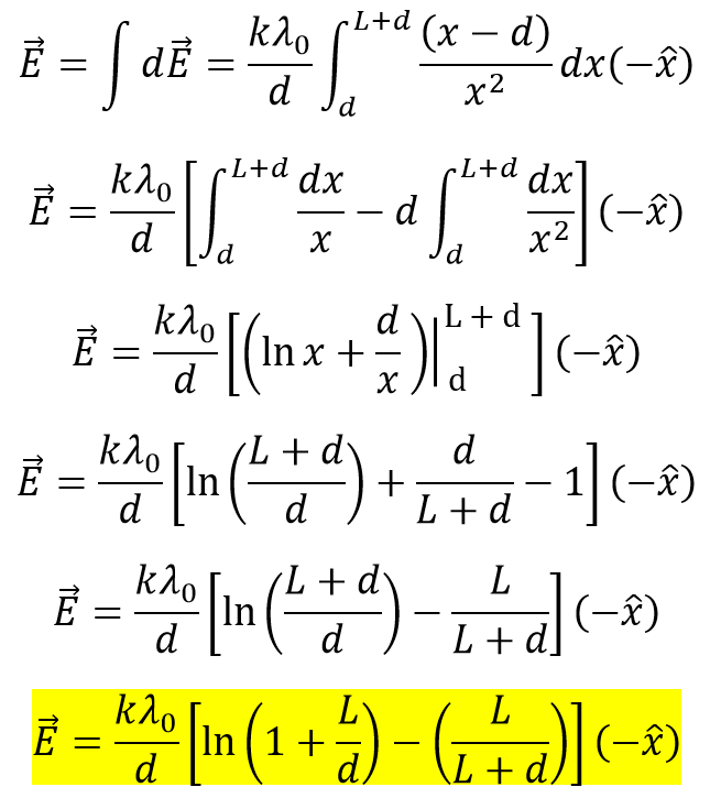
Hola Ángel, perdona la espera.
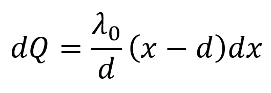
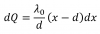
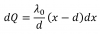
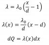
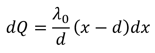
El ejercicio que planteas tiene los siguientes datos:
El valor de dQ puedes reemplazarla por:
En general, la figura que lo representaría mejor sería la siguiente:
El campo eléctrico de dQ en el punto O sería:
El campo debido a la varilla completa se obtiene integrando la expresión anterior:
Recuerda que:
Espero que te resulte útil, buen fin de semana.

Recuerda la expresión del alcance para el Tiro Oblicuo (o Parabólico):
v02*sen(2*α)/g = A (1).
Luego, tienes datos en tu enunciado:
α = 30°, A = 50 m,
reemplazas en la ecuación señalada (1), y queda:
v02*sen(60°)/g = 50, multiplicas en ambos miembros por g/sen(60°), y queda:
v02 = 50*g/sen(60°), extraes raíz cuadrada en ambos miembros, y queda:
v0 = √( 50*g/sen(60°) );
reemplazas valores, resuelves, y queda (consideramos: g = 10 m/s2):
v0 ≅ 24,028 m/s, que es el módulo de la velocidad inicial del balón.
Luego, estableces un sistema de referencia usual para esta clase de movimiento, y tienes los datos iniciales:
ti = 0, xi = 0, yi = 0, vxi = v0*cos(30°) = 20,809 m/s, vyi = v0*sen(30°) = 12,014 m/s, ax = 0, ay = -10 m/s2;
luego, reemplazas en las ecuaciones de posición y de velocidad de Tiro Oblicuo, y queda:
x = 20,809*t,
y = 12,014*t - 5*t2,
vx = 20,809 (constante),
vy = 12,014 - 10*t;
luego, tienes los datos finales de alcance del balón: x = 50 m, y = 0, reemplazas, y queda:
50 = 20,809*t, divides en ambos miembros por 20,809, y queda: 2,403 s = t,
0 = 12,014*t - 5*t2,
vx = 20,809 (constante),
vy = 12,014 - 10*t;
luego, reemplazas el valor remarcado en las dos últimas ecuaciones, y queda:
vx = 20,809, que es el valor de la componente horizontal de la velocidad en el punto de alcance,
vy = 12,014 - 10*2,403 = -12,016, que es el valor de la componente vertical de la velocidad en el punto de alcance.
Espero haberte ayudado.
Hola unicoos!
Tengo una duda sobre un ejercicio de tiro horizontal y ya después de exprimirme la cabeza muchas horas acudo a vosotros.
Es un ejercicio simple pero me está volviendo loco: Una bola rueda por una mesa a 0.30 m/s y cae por el borde impactando en el suelo a una distancia horizontal de 0.15m. ¿Qué altura tiene la mesa?
Cada vez que intento aplicar las formulas no puedo
adaptarlas a los datos que tengo en el problema ya que según el solucionario la
altura de la mesa es 23m. No logro que mis cálculos llegen a esa conclusión.

Establece un sistema de referencia OXY con eje OX horizontal al nivel del suelo, y con dirección y sentido positivo acorde al desplazamiento de la bola, y con eje OY vertical, con sentido positivo hacia arriba, que pase por el punto en el que la bola abandona la mesa.
Luego, tienes los datos iniciales:
ti = 0, xi = 0, yi = a determinar, vix = 0,30 m/s, viy = 0, ax = 0, ay = -g;
luego, planteas las ecuaciones de posición y de velocidad de Tiro Oblicuo (o Parabólico), y quedan (observa que cancelamos términos nulos):
x = 0,30*t,
y = yi - (1/2)*g*t2,
vx = 0,30 m/s (constante),
vy = -g*t.
Luego, tienes los datos finales:
x = 0,15 m, y = 0, vx = 0,30 m/s, vy = a determinar;
luego, reemplazas los datos en las ecuaciones, y queda:
0,15 = 0,30*t, aquí divides por 0,30 en ambos miembros, y queda: 0,5 s = t,
0 = yi - (1/2)*g*t2,
vx = 0,30 m/s (constante),
vy = -g*t;
luego, reemplazas el valor remarcado en las demás ecuaciones, y queda:
0 = yi - 0,125*g,
vx = 0,30 m/s (constante),
vy = -0,5*g;
luego, haces pasaje de término en la primera ecuación, y queda: 0,125*g = yi;
luego, si consideras que el módulo de la aceleración gravitatoria terrestre es g = 10 m/s2,
reemplazas en la última ecuación remarcada, resuelves, y queda: 1,25 m = yi;
luego, remplazas en la ecuación remarcada de la velocidad vertical, y queda: vy = -5 m/s.
Luego:
tienes que la altura de la mesa es: yi = 1,25 m,
tienes que la bola permanece t = 0,5 s en el aire, desde que abandona la mesa y llega al suelo,
tienes que la componente horizontal de la velocidad es: vx = 0,30 m/s durante todo el vuelo de la bola,
y tienes que la componente vertical de la velocidad es: vy = -5 m/s en el instante en que la bola toca al suelo.
Espero haberte ayudado.
Muchísimas gracias por la ayuda. Los cálculos que realizaba me daban los resultados que plasmas pero ya después de contrastarlo aquí me doy cuenta que hay una errata en el solucionario y claro esto me traía de cráneo pensaba que cometía algún error en los cálculos y no lo veía.
Dejo las imágenes de la pregunta y la solución el libro es “Fundamentos de Física-Andrew Rex & Richard Wolfson” por si le puede servir a alguien a no volverse loco o por si he explicado algún concepto mal.
Hola, alguien me podrá ayudar con este problema?
Una partícula sale de su origen con una velocidad de 3x10^6 m/s, formando un ángulo de 35 grados con el eje OX. Se mueve en un campo eléctrico constante E=Ey. Determinar Ey por tal de que la partícula cruce el eje OX para x=1,5cm si se trata de un electrón.
Muchas gracias!

Usa las mismas ecuaciones de movimiento parabólico, solo que aquí la aceleración no es la aceleración de gravedad sino la producida por el campo eléctrico,
. La distancia que te dan vendría a ser el alcance máximo de tu movimiento parabólico. Toma en cuenta el signo de la carga a la hora de determinar el sentido del campo.

Hola! Me encantaría ayudarte, pero no respondemos dudas universitarias que no tengan que ver específicamente con los videos que ya ha grabado como excepcion el profe. O de otras asignaturas que no sean matemáticas, física y química. Lo siento de corazón… Espero lo entiendas
Unicoos llega exclusivamente hasta secundaria y
bachillerato
Hola buenas tardes, estoy con un ejercicio de física sobre el momento lineal que trata sobre los choques y estoy desesperada, les importaría mirar si es posible que me echasen un cable, muchas gracias.
Dos bolas de billar de masas iguales chocan frontalmente con velocidades de 4,48 m/s y 2,32m/s. Después del choque, la primera bola se mueve en una dirección que forma 60° con su dirección inicial, y allá segunda bola, en una dirección que forma -20° con la dirección inicial de la primera. Calcular la velocidad final de ambas.

Buenas noches, necesito ayuda. ¿Alguien sabe resolver estos dos problemas de física? Muchas gracias :)
1. En un recipiente con agua se introduce un tubo capilar cuyo diámetro interior es d = 1 mm. La diferencia de altura entre los niveles del agua en el capilar y en el recipiente es ∆h = 2.8 cmR. ¿Qué radio de curvatura tiene el menisco en el tubo capilar? ¿Cuál sería la diferencia de altura entre los niveles de agua en el recipiente y en el capilar si el agua mojase perfectamente el material del capilar? γa = 7.28 × 10−2 N/m.
2.Los riñones filtran diariamente unos 180 l de sangre, de los que el 1 % se elimina como orina. La presión osmótica de la sangre es 10 mmHg superior a la del fluido filtrado (se trata de un proceso de ósmosis inversa). La filtración se produce gracias a un exceso de presión hidrostática de unos 10 mmHg. ¿Qué parte del trabajo me- cánico de bombeo realizado diariamente por el corazón se invierte en esta ósmosis inversa?

Hola! Me encantaría ayudarte, pero no respondemos dudas universitarias que no tengan que ver específicamente con los videos que ya ha grabado como excepcion el profe. O de otras asignaturas que no sean matemáticas, física y química. Lo siento de corazón… Espero lo entiendas
Unicoos llega exclusivamente hasta secundaria y bachillerato

El programa de unicoos de por sí, no se extiende hasta la universidad, tu duda como es de carácter universitario, depende de que algún otro unicoo universitario la sepa contestar o no, yo por mi parte, la parte de hidrostática la di en Física I hace dos años y mucho no recuerdo el tema, lo que te puedo recomendar es que acudas al libro Serway volumen 1 de Física, allí se abunda en detalle problemas como el primero que mencionas. Saludos
Hola.
En ese ejercicio, ¿cómo puede resolver el sistema si tiene 5 incógnitas y 4 ecuaciones?
Inc:
Pa, Pb, P1, P2, Z1
Ec:
Las 3 que aparecen ahí, más la del enunciado.
Muchas gracias.
Un saludo.