¿ Cómo serán el campo y el potencial en la mediatriz de las dos cargas en un dipolo eléctrico ? (Es una pregunta teórica que no encuentro al forma de responder)

Tienes los datos:
q1 = q (carga positiva) y q2 = -q (carga negativa);
luego, considera que la carga positiva se encuentra ubicada en el punto A(a,0), y que la carga negativa se encuentra ubicada en el punto B(-a,0) de un sistema de referencia cartesiano, por lo que tienes que la recta mediatriz entre ambos puntos es el eje coordenado OY, por lo que un punto genérico de ella es: P(0,y), con y ∈ R.
Luego, planteas que el potencial total en el punto genérico es igual a la suma de los potenciales de las cargas individuales, y queda:
V = V1 + V2;
luego, sustituyes las expresiones de los potenciales, y queda:
V = k*q1/r1 + k*q2/r2 (*),
donde los denominadores son los valores de las distancias entre cada carga y el punto genérico:
r1 = d(A,P) = √( (0-a)2+(y-0)2 ) = √(a2+y2),
r2 = d(B,P) = √( (0+a)2+(y-0)2 ) = √(a2+y2);
luego, sustituyes las expresiones de las cargas y de las distancias en la ecuación señalada (*), y queda:
V = k*q/√(a2+y2) + k*(-q)/√(a2+y2) = k*q/√(a2+y2) - k*q/√(a2+y2) = 0,
y observa (haz un dibujo), que la recta mediatriz (eje OY) es perpendicular al campo eléctrico en cada uno de sus puntos.
Espero haberte ayudado.

a)
Establece un sistema de coordenadas con eje OX horizontal, con sentido positivo hacia el Este, con eje OY también horizontal pero con sentido positivo hacia el norte, y con eje OZ vertical con sentido positivo hacia arriba.
Luego, planteas las componentes de los vectores, y quedan:
A = <a,0,0> con a > 0 (observa que el vector A tiene la dirección y el sentido positivo del eje OX),
B = <0,0,-b> con b > 0 (observa que el vector B tiene la dirección y el sentido negativo del eje OZ.
Luego, plantea el producto vectorial entre los vectores que te piden en tu enunciado:
B x A = <a,0,0> x <0,0,-b>, desarrollas el producto vectorial (te dejo la tarea), y queda:
B x A = <0,ab,0>,
y como su segunda componente es positiva, tienes que tiene la dirección y el sentido positivo del eje OY,
por lo que puedes concluir que el vector B x A tiene dirección Sur-Norte, con sentido hacia el Norte.
b)
Planteas la ecuación tiempo-velocidad de Movimiento Rectilíneo Uniforme en las dos situaciones, y tienes:
0 = v0 + a*t (1) (situación inicial),
0 = 2v0 + (a/2)tf (2) (situación final)
Luego, haces pasaje de término en la ecuación señalada (1), y queda:
-a*t = v0 (1*).
Luego, divides por 2 en todos los términos de la ecuación señalada (2), y queda:
0 = v0 + (a/4)*tf (2*).
Luego, sustituyes la expresión señalada (1*) en la ecuación señalada (2*), y queda:
0 = -a*t + (a/4)*tf,
haces pasaje de término, y qued:
-(a/4)*tf = -a*t,
multiplicas en ambos miembros por -4/a, simplificas, y queda:
tf = 4*t,
por lo que tienes que el tiempo empleado final es el cuádruple del tiempo empleado inicialmente.
c)
Recuerda la expresión del alcance en función del módulo de la velocidad de disparo y del ángulo de elevación, para el Tiro Oblicuo (o Parabólico):
A = v02*sen(2θ)/g.
Luego, planteas los alcances para cada ángulo ( recuerda la identidad trigonométrica: senθ = sen(180°-θ) ), y queda:
A0 = v02*sen(40°)/g (para el ángulo 20°),
Aa = v02*sen(80°)/g (para el ángulo 40°),
Ab = v02*sen(100°)/g = aplicas la identidad = v02*sen(80°)/g (para el ángulo 50°),
Ac = v02*sen(120°)/g = aplicas la identidad = v02*sen(60°)/g (para el ángulo 60°),
Ad = v02*sen(140°)/g = aplicas la identidad = v02*sen(40°)/g (para el ángulo 70°),
Ae = v02*sen(160°)/g = aplicas la identidad = v02*sen(20°)/g (para el ángulo 80°).
Luego, como la función seno es creciente en el primer cuadrante (0 < θ < 90°), tienes:
las opciones de respuestas (a) (b) (c) (d) corresponden a alcances mayores que el alcance de referencia,
y que la opción (e) corresponde a un alcance igual al alcance de referencia.
Espero haberte ayudado.
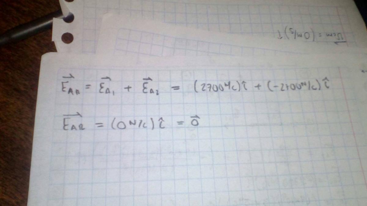
el ejercicio es muy sencillo si te das cuenta como las cargas se encuentran en el vertice del cuadrado te daras cuenta que los angulos que forman los vectores campo electrico son 45 grados
si realizas el ejercicio por componentes tienes
tienes
Ep1= Epx1+Epy1
Ep2=Ep2x + Ep2y
Ep3= Ep3x +Ep3y
Ep3= Ep4x +Ep4y
se trata de una suma vectorial para encontrar el vector resultante sumas las componentes en x e y
Epr=(Epx1+Epx2+Epx3+Epx4)i + (Epy1+Epy2+Epy3+Epy4)j
luego Epx1+Epx2+Epx3+Epx4=0 y Epy1+Epy2+Epy3+Epy4=0 sumalas y te dan cero las dos asi E=0
¿Alguien me podría decir como se ajusta está reacción química ? KCLO3 :KCL+ 02
por tanteo tienes que kClO3 -> KCL +O2 balances NM,M,H,O
Cl ya esta balanceado
K ya esta balanceado
O no esta balanceado para hacerlo colocas en los reactivos coeficiente estequiometrico 2 y en los productos el el oxigeno molecular un 3
luego 2kClO3 -> KCL +3O2 como los otros dos elementos ya no estan balanceados colocas un 2
asi 2kClO3 -> 2KCL +3O2
Hola, tengo una pregunta bastante simple creo, pero que algo me falla.
Si tienes una rueda rodando por el suelo, y va en linea recta la fricción se opone a la dirección de la rueda. muy bien. Si por el contrario la rueda no està a un angulo de 90º con el suelo, hará una trayectoria circular. La fricción en este caso irá en dirección hacia el centro del círculo. És este único valor que contribuye a la fuerza centrípeta? Dicho de otra forma: si consiguieramos un suelo 100% sin fricción, en el vacío (el aire no frena nada etc etc), y la rueda estuviera inclinada (o sea, no a 90º) haría una trayectoría circular o recta? En caso de ser movimiento circular que contribuye para tener una fuerza centrípeta?
la rueda no dobla, sigue en linea recta ya que al no estar la fuerza de roce no hay ninguna fuerza que la haga cambiar de dirección como un auto tratando de doblar sobre el hielo (causa de muchos accidentes por cierto) de hecho las curvas de las carreteras están un poco inclinadas con una pendiente que se la llama "peralte" esta pendiente sirve para que haya una componente de la fuerza normal que actúa sobre el auto que ayude al cambio de dirección te dejo un pequeño diagrama (en el caso extremo que no haya fuerza de roce) para que se entienda mejor la idea
Alguien sabe cual el es motivo por el que las fuerzas
gravitatorias producen en algunos casos movimientos de caída
libre y en otros casos movimientos orbitales.
Se demostrarlo con numeros pero teoricamente no.

El motivo de una órbita es la propia consecuencia de realizar un movimiento circular siendo la fuerza gravitatoria de tipo centripeta, la cual somete al cuerpo en sí a que este cayendo indefinidamente.
La caída libre se entiende como aquella en la cual entendemos la propia caida de manera rectilinea a grosso modo