¿Alguien puede dar una justificación teórica sobre porque se utiliza la ecuación de la cantidad de movimiento?

Observa que el personaje es pasajero del tren y que despreciamos su masa por ser mucho menor que la masa del tren o de uno de sus vagones, por lo tanto él aplica fuerzas de igual módulo y de sentido opuesto al primer vagón desacoplado y al resto de la formación (los otros tres vagones), por lo que tienes que la fuerzas aplicadas por el pasajero son internas al conjunto formado por los cuatro vagones y él y, por lo tanto, tienes que no actúan fuerzas exteriores en la dirección de movimiento y el impulsoX (cantidad de movimiento) se conserva.
Luego, estableces un sistema de referencia con eje OX con dirección y sentido positivo acordes al movimiento inicial del tren.
Planteas el impulso inicial, y queda:
pi = 4*25000*vi = 100000*vi (en N*s)
Planteas el impulso final, y queda:
pf = 25000*4 + 3*25000*2 = 100000 + 150000 = 250000 N*s.
Luego, planteas la conservación del impulso, y tienes:
pi = pf, sustituyes expresiones, y queda:
100000*vi = 250000, haces pasaje de factor como divisor, y queda:
vi = 2,5 m/s.
Espero haberte ayudado.
1)¿A qué distancia de un protón el potencial eléctrico es 10 mV mayor que a 2.2 micras?
2)Una partícula inicialmente neutra gana electrones. El potencial eléctrico vale aproximadamente -300 mV a 0.25 micras de distancia. Cuántos de electrones ha ganado la partícula?
Como podria resovolver estos ejercicios
porfavor
1)
Tienes los datos:
q = 1,6*10-19 C,
r1 = 2,2 μm = 2,2*10-6 m,
V1 = a determinar,
r2 = a determinar,
V2 = a determinar,
k = 9*109 N*m2/C2;
y tienes la relación entre los potenciales:
V2 = V1 + 10*10-3 V;
luego, sustituyes las expresiones de los potenciales, y queda:
k*q/r2 = k*q/r1 + 10*10-3;
y solo queda que despejes la incógnita r2 (te dejo la tarea).
2)
Tienes los datos:
V = -300 mV = -300*10-3 V,
r = 0,25 μm = 0,25*10-3 m,
q = a determinar,
k = 9*109 N*m2/C2,
qe = -1,6*10-19 C (carga de un electrón)
Ne = a determinar (cantidad de electrones ganados por la partícula);
luego, planteas la expresión del potencial, y queda:
k*q/r = V, haces pasajes de factor como divisor, y de divisor como factor, y queda:
q = V*r/k = -300*10-3*0,25*10-3/(9*109) = -75*10-6/(9*109) = (-25/3)*10-15 C;
luego, expresas a la carga de la partícula como múltiplo de la carga de un electrón, y queda:
Ne*qe = q, haces pasaje de factor como divisor, y queda:
Ne = q/qe = (-25/3)*10-15/(-1,6*10-19) ≅ 5,208*104 = 52080 electrones.
Espero haberte ayudado.
Hola disculpen, alguien sabrá hacer este ejercicio? Una varilla de longitud L=2 m está uniformemente cargada, siendo su carga total Q=40 nC. Calcula la intensidad del campo eléctrico en un punto P ubicado sobre el eje que contiene a la varilla y que dista 3 m del centro de la misma.

Establece un sistema de referencia con origen en el cetro de la varilla, con sentido positivo hacia el punto en estudio.
Luego, observa que la varilla ocupa el intervalo cerrado [-1,1],
y que su densidad longitudinal de carga (que suponemos está uniformemente distribuida) es: λ = (40 nC)/(2 m) = 20*10-9 (C/m).
Luego, observa que la posición del punto en estudio es: x = 3 m.
Luego, plantea un elemento muy pequeño de la varilla, con longitud dx, ubicado en un punto de abscisa x (con x perteneciente al intervalo ocupado por la varilla),
que produce un diferencial de intensidad de campo eléctrico en el punto en estudio, cuyo módulo tiene la expresión (observa que la distancia entre el punto en estudio y el elemento infinitesimal de la varilla es: d = 3-x):
dE = k*dq/d2 = k*(λ*dx)/(3-x)2.
Luego, planteas la expresión de la intensidad de campo eléctrico en el punto en estudio, y queda:
E = ∫ dE, con el intervalo de integración correspondiente al que ocupa la varilla;
luego, planteas la integral, y queda:
E = -1∫1 (k*(λ*dx)/(3-x)2) = k*λ * -1∫1 (1/(3-x)2)*dx;
luego, plantea la sustitución (cambio de variable):
3-x = w, de donde tienes: -dx = dw, y también tienes: dx = -dw,
y observa que para x = -1 tienes: w = 4, y que para x = 1 tienes: w = 2;
luego, sustituyes en la expresión de la intensidad del campo, y queda:
E = k*λ * 4∫2 (1/w2)*(-dw) = -k*λ * 4∫2 w-2*dw;
luego, integras (observa que indicamos con corchetes que debes evaluar con regla de Barrow), y queda:
E = -k*λ * [ -w-1 ] = -k*λ * [ -1/w ], para evaluar entre w = 4 y w = 2;
luego, evalúas, y queda:
E = -k*λ*( -1/2 - (-1/4) ) = -k*λ*(-1/2 + 1/4) = -k*λ*(-1/4) = (1/4)*k*λ;
luego, reemplazas valores (recuerda la Constante de Coulomb: k = 9*109 N*m2/C2), y queda:
E = (1/4)*(9*109)*(20*10-9) = 45 N/C,
que es otra forma que expresa el resultado que indica el colega Javier.
Espero haberte ayudado.
buenas noche alguien me puede ayudar con este ejercicio un jugador de fútbol patea un balón con una velocidad inicial de 22 metro sobre segundos un ángulo de 48 grado respecto ala horizontal determina
A.que altura maxima alcanzo el balon
B.cuanto tiempopermanecio el balon en el aire
C.cual es la velocidad del balon al hacer contacto con el suelo
D.distancia recorrida por el balon cuando hace contacto con eel suel

y = yo + voy*t - 0.5*g*t2
yo = 0
voy = 22*Sin(48º) m/s
g = 9.81 m/s2
y = 0 + 22*Sin(48º)*t - 0.5*9.81*t2
y = 16.349*t - 4.905*t2
vy = dy/dt
vy = 16.349 - 9.81*t
x = xo + vx*t
xo = 0
vx = 22*Cos(48º) m/s
x = 0 + 22*Cos(48º)*t
x = 14.721*t
a)
vy = 16.349 - 9.81*t = 0
t' = 1.667 s
y = 16.349*1.667 - 4.905*1.6672
y = 13.623 m
b)
T = 2*t'
T = 2*1.667
T = 3.334 s
c)
vy = 16.349 - 9.81*3.334
vy = -16.349 m/s
vx = 14.721 m/s
v = (vx2 + vy2)0.5
v = [(-16.349)2 + (14.721)2]0.5
v = 22 m/s
d)
x = 14.721*3.334
x = 49.080 m
Buenas tardes, ¿podrían decirme si estas afirmaciones son verdaderas o falsas?
¡Mil gracias!
Una distribución lineal uniforme de carga λ =9,0 nC/m está ubicada a lo largo del eje x desde el punto x1 =0 m hasta x2 = 3,0 m ¿Cuál es la magnitud del campo eléctrico en x = 4,0 m? No entiendo el dato de λ. Qué debo hacer para sacar el campo?
Una partícula de 50 mg de masa y 4,0 mC de carga eléctrica se mueve en un campo eléctrico uniforme y estacionario de intensidad 60 N/C orientado a lo largo del eje y positivo. En el instante inicial esta partícula está en el origen, moviéndose en el sentido del eje x positivo con rapidez de 25 m/s ¿Cuál es la rapidez de la partícula 5 segundos más tarde?
Buenas. Alguien me puede verificar si el resultado es 32m/s?

Tienes los datos:
M = 50 mg = 5*10-5 Kg,
q = 4*10-3 C,
E = 60 N/C, con dirección y sentido positivo del eje OY,
xi = 0,
yi = 0,
vxi = 25 m/s,
vyi = 0,
ax = a determinar,
ay = a determinar.
Observa que sobre la partícula actúa una fuerza eléctrica con dirección y sentido positivo del eje OY, cuyo módulo es: F = q*E = 2,4*10-1 N;
y observa que no actúan fuerzas en la dirección del eje OX, por lo que puedes considerar:
Movimiento Rectilíneo Uniforme en la dirección del eje OX, por lo que tienes: ax = 0;
Movimiento Rectilíneo Uniformemente Acelerado en la dirección del eje OY, por lo que tienes: ay = F/M = 4,8*103 m/s.
Luego, planteas las ecuaciones de velocidad para cada dirección, expresadas en m/s, y queda:
vx = 25 (constante),
vy = 4,8*10-3*t (variable).
Luego, evalúas las componentes de la velocidad para el instante en estudio (t = 5 s), y queda:
vx = 25 m/s,
vy = 0,024 m/s;
por lo que la expresión vectorial de la velocidad en dicho instante queda.
v = < 25 , 0,024 > m/s;
luego, la expresión de la rapidez correspondiente queda:
|v| = √(252 + 0,0242) = √(625 + 0,000576) = √(625,000576) ≅ 25,000012 m/s.
Espero haberte ayudado.
Un protón (masa 1,67x10-27 kg, carga positiva 1,6x10-19 C) entra a una región en la que actúa un campo eléctrico uniforme y estacionario de inten sidad 80 N/C. El protón ingresa perpendicularmente a las líneas del campo, con rapidez de 20 km/s. ¿Cuál es su rapidez al cabo de 2,0 microsegundos? Alguno sabe hacer esto? a mi me dio 42 pero no se si está bien

Establece un sistema de referencia cartesiano con eje OX con dirección y sentido positivo acorde al movimiento de la partícula, y eje OY con dirección y sentido positivo acorde al campo eléctrico.
Tienes los datos:
M = 1,67*10-27 Kg,
q = 1,6*10-19 C,
E = 80 N/C, con dirección y sentido positivo del eje OY,
xi = 0,
yi = 0,
vxi = 20 Km/s = 2*104 m/s,
vyi = 0,
ax = a determinar,
ay = a determinar.
Observa que sobre la partícula actúa una fuerza eléctrica con dirección y sentido positivo del eje OY, cuyo módulo es: F = q*E (en newtons);
y observa que no actúan fuerzas en la dirección del eje OX, por lo que puedes considerar:
Movimiento Rectilíneo Uniforme en la dirección del eje OX, por lo que tienes: ax = 0;
Movimiento Rectilíneo Uniformemente Acelerado en la dirección del eje OY, por lo que tienes: ay = F/M = q*E/M (en m/s2).
Luego, planteas las ecuaciones de velocidad para cada dirección, expresadas en m/s, y queda:
vx = vxi (constante),
vy = (q*E/M)*t (variable).
Luego, evalúas las componentes de la velocidad para el instante en estudio (te = 2 μs = 2*10-6 s), y queda:
vx = vxi m/s,
vy = (q*E/M)*te m/s;
por lo que la expresión vectorial de la velocidad en dicho instante queda.
v = < vx , vy > m/s;
luego, la expresión de la rapidez correspondiente queda:
|v| = √(vx2 + vy2) = y solo resta que hagas los cálculos correspondientes (te dejo la tarea).
Espero haberte ayudado.
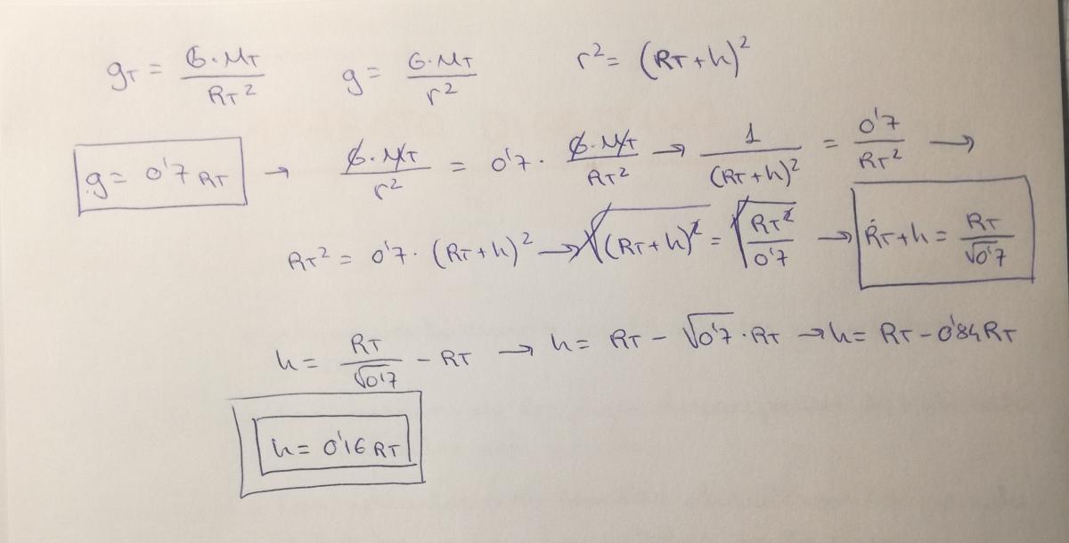
A qué altura sobre la superficie terrestre tendríamos que elevarnos para que nuestro peso se redujera un 30%. Expresa dicha altura en función del radio terrestre. Estaría correcto?
