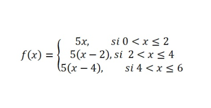
No sé resolver este problema, ¿Cual sería S' y cuál S ? ¿Por qué? H estado mirando y en la web hay ejercicios de óptica pero no encuentro ninguno que me aclare bien la duda.
Una persona tiene su punto remoto a 0’5 m delante de sus ojos.
a) ¿Qué distancia focal han de tener unas gafas para que pueda ver con
claridad los objetos distantes, en el infinito óptico?
b) Si su poder de acomodación es de 4 dioptrías, ¿dónde se halla su punto
próximo sin dichas lentes?
c) Con las gafas puestas ¿Dónde se halla su punto próximo con gafas?
d) Suponga que el radio de curvatura de la córnea de dicha persona es de 8’0 mm.
¿Qué radio de curvatura debe tener la superficie de entrada de una lente de
contacto construida con un material con n = 1’5, para que tenga la misma potencia
que la gafa anterior?
Gracias de antemano!!!

a) aplicando la ecuacion de las lentes:
1/s' -1/s = 1/f' =P=>1/(-0,5)- 1/∞ = 1/f' =P => P= -2 D=1/f' => f'= -0,5 m es decir, lentes divergente
Te dejo los demas apartados a ti.
Recordarte que estos ejercicios se corresponden con óptica universitaria, aspecto que unicoos no trata, sorry
Se lanza una bola horizontalmente desde una altura de 90 metros con una velocidad de 20 m/s. Calcula el vector velocidad y posición de la bola en tiempo igual a 2 seg y en tiempo igual a 4 seg.

Mirate los videos de tiro horizontal:
A partir de ahí, se trata
de que DESPUES DE IR A CLASE (ver los vídeos relacionados con vuestras dudas)
envies dudas concretas, muy concretas. Y que nos envies también todo aquello
que hayas conseguido hacer por ti mismo. Paso a paso, esté bien o mal. No solo
el enunciado. De esa manera podremos saber cuál es tu nivel, en que podemos
ayudarte, cuales son tus fallos.... Recuerda que el trabajo duro ha de ser tuyo.
Nos cuentas ¿ok?
Buenas noches. ¿Cómo se resolvería el siguiente ejercicio?
Dos partículas de 10g se encuentran suspendidas desde un mismo punto por dos hilos de 30cm. Ambas partículas poseen la misma carga y se separan de modo que sus hilos forman un ángulo de 60º. Calcula el valor de las cargas.
¡Muchas gracias!
Desde una ventana de un edificio situada a 20 metros de altura se lanza una pelota con una velocidad de 15 m/s formando un ángulo de 60º con la horizontal. Determinar altura máxima, alcance máximo y tiempo de vuelo.
Yo ya he hecho el problema pero quiero saber si está bien, mis resultados son:
Altura máxima 31'64 m. Alcance máximo 46'43 m. Tiempo de vuelo 6'19 seg.

Te sugiero veas los videos de tiro parabólico de la web y lo compares con ellos, para comprobarlo debería hacerte todo el problema, sería mas rentable que para la próxima adjuntaras todo el desarrollo, ok? nos cuentas
Hola que tal el ejercicio 3, 4 y 5 sobre movimiento circular no los comprendo muy bien. Dejo imagenes![]()
![]()

Te sugiero le eches un vistazo a los videos de movimiento circular que grabó el profe, te ayudarán bastante
Movimiento circular uniforme MCU