Hola.
Con respecto a la pregunta que hice sobre el campo magnético en un punto P
¿No sería α el ángulo entre el vector r y el vector dl, es decir, el marcado en naranja en la imagen, que es de 90 grados?
Y otra cosa, suponiendo que fuera σ, el que se muestra en la figura, ¿el seno no sería Y/r, cateto opuesto entre hipotenusa?
Muchas gracias.
Un saludo

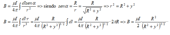
Si te fijas en el dibujo la contribucion del magnetico en P solo va a tener componente en By ya que Bx se anulan, con lo cual el ángulo que te interesa es el que te señalo en el dibujo, es decir, el que se forma justo en el vertice que es P
Que como ves es el mismo que tienes arriba por ser angulos opuestos por el vertice, ese es angulo que yo antes llamé α, de manera que senθ=R/r como te dije antes, lo demas ya lo tienes calculado
Espero lo entiendas ahora
Hola buenas, tengo una duda sobre campo eléctrico; En un ejercicio, me piden encontrar la aceleración de una partícula de -2 nano Couloumb pero no me dan la masa y entonces no se como encontrarla. Gracias
Hola.
Me piden que calcule el campo magnético en el punto P situado a una distancia Y del centro de la espira de radio R y que transporta una corriente I.
Las preguntas están en la imagen.
Gracias.
Un saludo

Hola! Me encantaría ayudarte, pero no respondemos dudas universitarias que no tengan que ver específicamente con los videos que ya ha grabado como excepcion el profe. O de otras asignaturas que no sean matemáticas, física y química. Lo siento de corazón… Espero lo entiendas
Ojalá algun unicoo universitario se anime a ayudarte
(de hecho lo ideal es que todos los universitarios intentarais ayudaros los
unos a los otros)
Hola buenas... necesito ayuda en un problema, disculpad la molestia...
// Una partícula oscila a lo largo de una línea recta con una variación de su velocidad en forma sinusoidal dada por v=16 Sen (πt/6). Si el desplazamiento de la partícula es de 8mm cuando t=0.- Determine su máximo desplazamiento " Xmáx".
Gracias de antemano..

φ0=Al ser un movimiento de tipo armonico la expresion de tu velocidad tiene la forma de:
v(t)=Aωsen(ωt+φ0) en tu caso φ0=0 y ω=π/6 rad/
v=16 Sen (πt/6)
Comparando ambas expresiones nos damos cuenta que:
Aω=16 con lo cual A=16/(π/6)=96/π m =0,031 mm(al no decirnos las unidades supongo que está en metros como el desplazamiento)
Integrando la expresion de la velocidad obtienes x(t):
x(t)=Acos(ωt+φ0)
Cuando t=0 x(0)=0,008 m siendo A=0,031 m
x(0)=Acos(ω·0+φ0) =>0,008=0,031cos(φ0) =>φ0=75º=5π/12 rad
con lo cual:
x(t)=0,031cos(πt/6+5π/12) m
Espero lo hayas entendido
Un ascensor con un contrapeso es un sistema similar a una máquina de Atwood. La masa del contrapeso se calcula para que el trabajo que realiza el motor subiendo o bajando la cabina sea mínimo. ¿Podrías indicar aproximadamente la masa del contrapeso que deberíamos situar en una ascensor cuya cabina tiene una masa de 800kg y está diseñado para subir o bajar a 4 personas de masa media 60kg?

Hola! Me encantaría ayudarte, pero no respondemos dudas universitarias que no tengan que ver específicamente con los videos que ya ha grabado como excepcion el profe. O de otras asignaturas que no sean matemáticas, física y química. Lo siento de corazón… Espero lo entiendas
Ojalá algun unicoo universitario se anime a ayudarte
(de hecho lo ideal es que todos los universitarios intentarais ayudaros los
unos a los otros)
Hola buenas, tengo un ejercicio de 2n bachillerato que no tengo ni idea de como hacer y era por si alguien me podía ayudar, GRACIAS.
una carga de 3 microcouloumb está situada en el punto (0,0) metros y otra carga de -4 microcouloumb está situada en el punto (2,0) metros.
Encuentra:
a) El potencial en el punto (1,1) metros.
b) La intensidad de campo eléctrico en el punto (1,1) metros.
Si colocamos una carga de -2 microcouloumb en el punto (1,1) metros encuentra:
c) La energía potencia que tendrá
d) La fuerza eléctrica que actuará sobre ella

Para que ganes algo de idea, te recomiendo que 1º vayas a clase, veas los vídeos sobre campo electrico:
Campo eléctrico y Ley de Coulomb
A partir de ahi te recomiendo que intentes resolverlo por ti mismo y que aportes todo lo que hayas hecho por tu cuenta, esté bien o mal, asi podremos saber en qué fallas y poder orientarte mejor, ánimo
Hola, me gustaria consultar una duda con vosotros. Mi libro de fisica tiene bastantes problemas sobre leyes de gases con soluciones(3Eso). El problema es que cuando tengo que hacer operaciones utilizando valores de temperatura en las fórmulas no sé si debo o no utilizar grados kelvin o centígrados. En el libro algunas veces ponen las soluciones en atm o cc utilizando pasando de un grado a otro, en otros no se hace la conversion etc. Me gustaria que me intentaseis ayudar, gracias.
Buenos días,
Soy estudiante de un CFGS de Robótica. En nuestra clase estamos teniendo muchos problemas con el profesor de sistemas de medida y regulación, tanto que nos puede llegar a hacer perder el curso. No veo necesario hacer mala sangre criticando a este profesor, pero personalmente me empiezo a ver en la necesidad de abandonar la asignatura y hacerla en otro centro, con un profesor competente.
Queria saber si David podría hacer videos explicativos concretos del temario que estamos dando (termopares, amplificadores operacionales, células de carga,... ), pagando por su trabajo, para ayudarnos con este problema.
No sé si habría alguna manera de tener un contacto directo, para comentarle lo que necesitamos y acordar precios.
Muchas gracias.