hola necesito ayuda con el siguiente ejercicio
Un automovil se mueve a lo largo de una carretera a 72km/h durante minutos, luego frena a razon de 1,5m/s cada segundo hasta detenerse, se mantiene en la misma posicion durante 10 minutos para luego acelerar en sentido contrario al que venia, hasta alcanzar una velocidad de 108km/h en una distancia de 200m
a- Realizar una grafica dezplazamiento verus tiempo (e-t)
b- realizar una grafica velocidad versus tiempo (v-t)
c- determine la magnitud de la velocidad y de la aceleracion promedio para el lapso de tiempo
muchas gracias!!
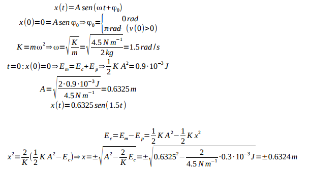
Hola quisiera que alguien me explique este ejercicio, pues llevo luchando meses contra el y no me da lo mismo que pone en su supuesta solución y la mia son incoìncidentes .- Un bloque de 2 kg de masa, que descansa sobre una superficie horizontal, está unido a un extremo de un muelle de masa despreciable y constante elástica 4,5 N m-1. El otro extremo del muelle se encuentra unido a una pared. Se comprime el muelle y el bloque comienza a oscilar sobre la superficie. Si en el instante t = 0 el bloque se encuentra en el punto de equilibrio y su energía cinética es de 0,90·10-3 J, calcule, despreciando los efectos del rozamiento: a) La ecuación del movimiento x(t) si, en t = 0, la velocidad del bloque es positiva. b) Los puntos de la trayectoria en los que la energía cinética del bloque es 0,30·10-3 J. Mis problemas son la amplitud que me resulta 0,02m y el apartado b me resulta 0,011 por favor me urge gracias.

Vale mira, el a) no he tenido ningún problema puesto que es utilizar la formula de la velocidad angular del MCUA pero en el b) para empezar no se como sacar la ecuación del radio respecto al tiempo, se que es algo relacionado con los 40 minutos que tarda la aguja en recorrer todo el vinilo y la integración pero al no darme directamente una ecuación previamente, no se como construirla.
Un acróbata se deja caer desde una altura de 5.4 metros directamente sobre una cama elástica, a) ¿Con qué velocidad toca el acróbata de 55 kg la cama elástica?, b) si la constante de deformación de la cama elástica es de 15000 N/m ¿Cuánto se hunde el acróbata en la cama elástica? Ayuda porfavor

Considera un sistema de referencia con eje de posiciones (alturas) OY vertical, con sentido positivo hacia arriba, y origen en el punto de partida del acróbata.
Luego, tienes tres instantes importantes, para los que planteamos las expresiones de la energía mecánica total:
1)
El acróbata comienza su movimiento (y1 = 0, v1 = 0):
EM1 = EP1 + EC1 = M*g*y1 + (1/2)*M*v12 = 0 + 0 = 0.
2)
El acróbata toca la cama elástica (y2 = -5,4 m, v2 = a determinar):
EM2 = EP2 + EC2 = M*g*y2 + (1/2)*M*v22 = 55*9,8*(-5,4) + (1/2)*55*v22 = -2910,6 + 27,5*v22.
3)
El acróbata alcanza su máximo hundimiento en la cama elástica (y3 = -(5,4 m + h) (observa que la longitud de hundimiento h toma valores positivos), v3 = 0):
EM3 = EP3 + EC3 + EPe = M*g*y3 + (1/2)*M*v32 + (1/2)*k*(-h)2 = 55*9,8*(-(5,4 + h) ) + 0 + (1/2)*1500*h2 = -2910,6 - 539*h - 1500*h = -2910,6 - 539*h + 750*h2.
Luego si desprecias todo tipo de pérdida de energía, tienes que la energía mecánica es constante, por lo que puedes plantear:
a)
EM2 = EM1, sustituyes expresiones, y queda:
-2910,6 + 27,5*v22 = 0, haces pasaje de término, y queda:
27,5*v22 = 2910,6, haces pasaje de factor como divisor, y queda:
v22 = 105,84, haces pasaje de potencia como raíz, y queda (observa que elegimos el signo negativo, porque la velocidad tiene sentido hacia abajo):
v2 ≅ -10,29 m/s.
b)
EM3 = EM1, sustituyes expresiones, y queda:
-2910,6 - 539*h + 750*h2 = 0, ordenas términos, y queda:
750*h2 - 539*h - 2910,6 = 0, que es una ecuación polinómica cuadrática, cuyas soluciones son:
h1 = (539 - √(9022321)/1500 ≅ -1,643 m, que no tiene sentido para este problema;
h2 = (539 + √(9022321)/1500 ≅ 2,362 m.
Espero haberte ayudado.
Necesito aprender a como resolver este ejercicio porfavor.
Un automóvil está detenido ante un semáforo. Después, viaja en línea recta y su distancia con respecto al semáforo está dada por x(t) = bt^2 - ct^3 , donde b = 2.40 ms^2 y c = 0.120 ms^3 .
a) Calcule la velocidad media del automóvil entre el intervalo t = 0 a t = 10.0 s.
b) Calcule la velocidad instantánea del automóvil en t = 0, t = 5.0 s y t = 10.0 s.
c) ¿Cuánto tiempo después de que el auto arrancó vuelve a estar detenido?

Hola! Me encantaría ayudarte, pero no respondemos dudas universitarias que no tengan que ver específicamente con los videos que ya ha grabado como excepcion el profe. O de otras asignaturas que no sean matemáticas, física y química. Lo siento de corazón… Espero lo entiendas
Ojalá algun unicoo universitario se anime a ayudarte (de hecho lo ideal es que todos los universitarios intentarais ayudaros los unos a los otros)
Primero fijate que se forman triangulos rectangulos: Tienes que hacer el equilibrio de fuerzas, y situa el eje x encima de la hipotenusa del triangulo rectangulo (en la derecha), y el eje y perpendicular obivamente. Luego dibujas las fuerzas: fuerza centripeta (o mas bien centrifuga), peso, normal (perpendicular a la superficie del cono, y por tanto al eje x), fuerza de roce estatico (por el momento considera que es "positiva", y que esta evitando que el bloque caiga), al final debe quedarte estas formulas:
https://ibb.co/g4Fs0b
Fr + Fc senβ - P cosβ = 0 (se supone que debe mantener a una altura h, por lo que no hay movimiento ni aceleracion)
N - P senβ - Fc cosβ = 0 (se mantiene en la superficie, no sale volando, ni destruye la superficie obviamente)
(Fr=fuerza de roce, P=peso, Fc=fuerza centrifuga, N normal a la superficie)
Ademas, por trignometria sabes que tanβ = r/h, y que Fr=u N (u=coeficiente de rozamiento estatico)
Al final, luego de usar todas las ecuaciones y factorizar , debes llegar a lo siguiente:
w = √ [ gh tanβ [ (cosβ - usenβ)/(ucosβ+senβ) ] ]
esta seria la velocidad minima sin que el bloque caiga
Recuerdas cuando dije que consideraramos Fr positiva? pues bien, alli consideramos que Fr evitaba que el bloque cayera (movimiento inminente hacia abajo), y que pasa si consideramos que Fr evitaba que el bloque se elevara? (movimiento inminente hacia arriba) Entonces Fr seria negativa (recuerda que Fr siempre en direccion contraria al movimiento), como Fr=u N, y no queremos cambiar el signo de N, entonces cambiamos el signo de "u", el coeficiente, con lo cual obtienes otra formula para "w":
(en el dibujo considere movimiento inminente hacia abajo, para movimient inminente hacia arriba Fr tendria direccion opuesta)
w = √ [ gh tanβ [ (cosβ + usenβ)/(-ucosβ+senβ) ] ]