Buenas a todos!
Voy a hacer una pregunta poco común, diferente a las demás y difícil. Espero que alguien me pueda echar un cable.
Para un proyecto de la universidad, estoy diseñando un algoritmo basado en este pdf: http://www.dewtronics.com/tutorials/roulette/documents/Roulette_Physik.pdf.
Consiste en utilizar la física para predecir en una ruleta, en que sector la bola empezará a caer.
(Lo que nos interesa de él son las páginas 12 y 13, donde ya aparece lo importante y además resumido). Pues bien, todo está hecho según en el pdf, sin embargo..
Solo es capaz de predecir bien, a partir de las 10-8 últimas vueltas de la bola antes de que esta caiga. (Es decir, si en una tirada la pelota da un total de 31 vueltas, si utilizase como tiempo inicial lo que tarda en dar la primera vuelta de todas, la predicción es totalmente inútil. Sin embargo si utilizo como T0, por ejemplo, la vuelta número 25, la predicción si sería buena.)
En la siguiente imagen: http://es.tinypic.com/view.php?pic=1zz3zww&s=9, se puede apreciar esto. La línea roja es la función/ecuación para el tiempo final, habiendo puesto como T0 la primera vuelta de la tirada (de un total de 21 vueltas). Los puntos rojos y morados representan los valores reales de la tirada.
(Como se puede observar, las predicciones hechas con esa ecuación tomando ese To son totalmente inaceptables, aunque como he dicho anteriormente, si hubiese usado el To de la vuelta 17, hubiese conseguido una buena predicción.)
¿A que creéis que es debido esto?
Pd: Los datos de las tiradas no tienen ningún tipo de error o bias, y los parámetros que estimo siguiendo las instrucciones del pdf, parecen ser los reales. (De lo contrario, no obtendría buenas predicciones a partir de las 10-8 últimas vueltas). Además, he probado todo esto con diferentes ruletas, y en todas sucede lo mismo
Gracias!
Por favor alguien me puede ayudar con este problema, he tratado de resolverlo, pero no he podido resolverlo.
Un tambor pesa W = 320 lb; volumen 4 pie3, cae al mar con v0 = 0. Ec. de la fuerza al caer al mar es: m(dv/dt) = -W + B + FR. B fuerza de flotación (62,5 lb/pie3), FRfuerza resistencia del agua (1 lb por pie/seg). ¿Cuál es profundidad máx. para que impacto al fondo no pase de 30 pie/s? g = 32 m/s2.

Hola! Me encantaría ayudarte, pero no respondo dudas universitarias que no tengan que ver específicamente con los videos que ya he grabado como excepcion. O de otras asignaturas que no sean matemáticas, física y química. Lo siento de corazón… Espero lo entiendas
Ojalá algun unicoo universitario se anime a ayudarte (de hecho lo ideal
es que todos los universitarios intentarais ayudaros los unos a los otros)
Muy buenas! Me encantaría que me ayuden a hallar la presión que tendrá el agua que sale por un tubo.
El caudal es de 0,4 litros por segundo y el tubo por el que saldrá ese caudal es de 19 milímetros de diametro.
Muchas gracias!
:)
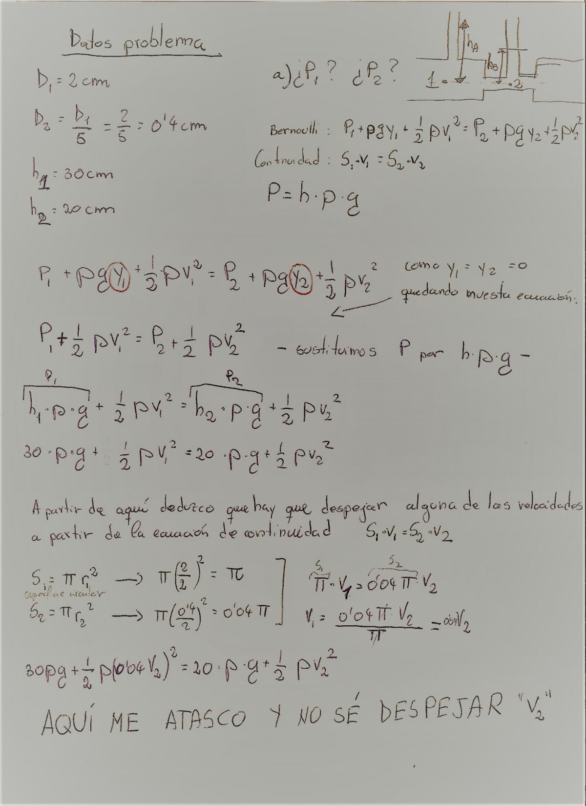
Muy buenas. Necesitaría ayuda con un problema de fluidos, exactamente con el apartado a), donde me pide averiguar la Presión en los dos puntos. Yo encuentro especialmente problematico el tener que despejar tanto "ro" (p) de la ecuación de Bernouiili. Os adjunto tanto el problema como hasta donde llego yo con la resolución. Alguna pista de como seguir o con que me digais que voy bien encaminado, me bastaría. Un saludo.![]()
![]()

Empleamos el Sistema Internacional de Unidades de Medida.
Puedes plantear para la columna A, a la altura del punto señalado 1 (observa que consideramos que la longitud del radio de la tubería es mucho menor que la altura de la columna de agua):
p1 = pat + ρ*g*h1 = 101300 + 1000*9,8*0,3 = 101300 + 2940 = 104240 Pa.
Puedes plantear para la columna B, a la altura del punto señalado 2 (observa que consideramos que la longitud del radio de la tubería es mucho menor que la altura de la columna de agua):
p2 = pat + ρ*g*h2 = 101300 + 1000*9,8*0,2 = 101300 + 1960 = 103260 Pa.
Luego, puedes plantear al Ecuación de Bernoulli entre los puntos señalados 1 y 2 (observa que se encuentran a la misma altura):
p1 + (1/2)*ρ*v12 = p2 + (1/2)*ρ*v22, haces pasajes de términos y queda:
(1/2)*ρ*v12 - (1/2)*ρ*v22 = p2 - p1, multiplicas en todos los términos de la ecuación por 2/ρ y queda:
v12 - v22 = 2*(p2 - p1)/ρ, reemplazas valores y resuelves el segundo miembro y queda:
v12 - v22 = - 1,96 (1).
Luego, plantea para el caudal que fluye por la tubería:
Q = A1*v1 = (π*D12/4)*v1 = π*D2*v1/4,
Q = A2*v2 = (π*D22/4)*v2 = π*(D/5)2*v2/4 = π*D2*v2/100,
luego igualas las expresiones del caudal y queda la ecuación:
π*D2*v1/4 = π*D2*v2/100
luego multiplicas en ambos miembros por 100 / π*D2 y queda:
25*v1 = v2 (2);
luego sustituyes la expresión señalada (2) en la ecuación señalada (1) y queda:
v12 - (25*v1)2 = - 1,96, resuelves el primer miembro y queda:
- 624*v12 = - 1,96, haces pasaje de factor como divisor y queda:
v12 = 49/15600 ≅ 0,003141, haces pasaje de potencia como raíz y queda:
v1 = √(49/156) ≅ 0,056945 m/s,
luego reemplazas en la ecuación señalada (2) y queda:
25*√(49/156) = v2 ≅ 1,401121 m/s.
Luego reemplazas en las ecuaciones de caudal y queda:
Q = π*0,022*√(49/156)/4 ≅ 1,760701 m3/s,
Q = π*0,022*25*√(49/156)/100 ≅ 1,760701 m3/s.
Espero haberte ayudado.
ejercicio 3, esos son todos si me explican se los agradeciria y si hay algun video parecido al ejercicio o relacionado seria de mas ayuda
el profesor de fisica que tengo, solo llega dibuja y no explica o asume que debemos saber y del anterior semestre solo se pasaba en trigonometria, por ejemplo en los videos que vi de plano inclinado se porque se utiliza el seno y el coseno, como dije anteriormente estoy recien viendo videos y con esta respuesta no me ayudas en nada, almenos podias ayudarme con un link de algun video o alguna documentacion para ver algun tipo de ejercicio similar o simplemente ignorar mi pregunta

Vamos con una orientación.
Observa la polea móvil, y verás que está sostenida por dos tramos de cuerda, y está sujeto el bloque A a ella, por lo tanto plantea la Segunda Ley de Newton y queda la ecuación (consideramos sentido positivo hacia abajo):
PA - 2*T = MA*aA, sustituyes la expresión del peso, haces pasaje de término y queda:
- 2*T = - MA*g + MA*aA, multiplicas en ambos miembros por -1/2, extraes factor común y queda:
T = (1/2)*MA*(g - aA) (1).
Luego, considera un sistema de referencia cartesiano con eje OX paralelo al plano inclinado y sentido positivo hacia arriba, y eje OY perpendicular al plano inclinado y sentido positivo hacia arriba, descompones el peso en las dos direcciones, planteas la Segunda Ley de Newton y quedan las ecuaciones:
NB - MB*g*cosθ = 0 (2)
T - MB*g*senθ - fr = MB*aB (3)
fr = μ*NB (4)
Luego, observa que si el bloque A se desplaza hacia abajo una distancia D, tienes que el bloque B recorre una distancia 2B sobre el plano inclinado,
por lo tanto, tienes que el desplazamiento del bloque B es el doble del desplazamiento del bloque A en todo instante, y esta relación se mantiene tanto para las velocidades de los bloques como para sus aceleraciones, por lo que puedes plantear la ecuación:
aB = 2*aA (5).
Luego, con todas las ecuaciones señaladas tienes el sistema de cinco ecuaciones con cinco incógnitas:
T = (1/2)*MA*(g - aA)
NB - MB*g*cosθ = 0
T - MB*g*senθ - fr = MB*aB
fr = μ*NB
aB = 2*aA
Luego, solo queda que resuelvas el sistema y determines los valores de las incógnitas: T, aA, NB, aB y fr.
Espero haberte ayudado.
el profesor de fisica que tengo, solo llega dibuja y no explica o asume que debemos saber y del anterior semestre solo se pasaba en trigonometria, por ejemplo en los videos que vi de plano inclinado se porque se utiliza el seno y el coseno, como dije anteriormente estoy recien viendo videos y con esta respuesta no me ayudas en nada, almenos podias ayudarme con un link de algun video o alguna documentacion para ver algun tipo de ejercicio similar o simplemente ignorar mi pregunta

Veamos, al haber solo una única fuerza y ser ésta de rozamiento, te queda que:
Fr=m·a =>μmg=ma => a=μg=0,05·9,8=0,49 m/s2
Por otra parte como el objeto se para se produce un MRUA, siendo v= 40 km/h=11,1 m/s
v=vo+at =>0=11,1+0,49t=> t=22,65 s
Solo te queda sustituir en la expresión de la distancia para hallarla
Buenas noches, por casualidad llegue a este sitio pero realmente es lo mejor, mejor que los profesores de fisica que tengo.
Estoy rebisando los videos mientras trato de aprender fisica por favor me pueden ayudar con los siguientes ejercicios:
el profesor de fisica que tengo, solo llega dibuja y no explica o asume que debemos saber y del anterior semestre solo se pasaba en trigonometria, por ejemplo en los videos que vi de plano inclinado se porque se utiliza el seno y el coseno, como dije anteriormente estoy recien viendo videos y con esta respuesta no me ayudas en nada, almenos podias ayudarme con un link de algun video o alguna documentacion para ver algun tipo de ejercicio similar o simplemente ignorar mi pregunta
Cuando sobre un cuerpo se realiza un trabajo,su energia ¿aumenta,disminuye o permanece constante?

Vamos con una precision.
La energia mecanica permanece constante cuando no actuan fuerzas disipativas, como rozamientos por ejemplo, ni fuerzas aplicadas sobre el cuerpo que no sean perpendiculares a la direccion de movimiento.
Pero si tienes, por ejemplo, una fuerza horizontal que empuja a un cuerpo apoyado en el piso (tambien horizontal) cuyo modulo es mayor que el modulo de la fuerza de rozamiento, veras que el cuerpo se acelera y, por lo tanto, su velocidad aumenta y la energia mecanica del cuerpo (en este caso energia cinetica) aumenta. En este ejemplo tienes que parte del trabajo realizado por la fuerza se transformo en energia cinetica del cuerpo, y otra parte se transformo en calor que pasa al ambiente.
Espero haberte ayudado.
Al aumentar la deformacion de un resorte el valor de la constante k ¿aumenta disminuye o permanece constante? la Energia potencial elastica ¿aumenta disminuye o permanece constante?