Desde una altura de 100 metros se lanza un objeto en las siguientes condiciones:
a) Horizontalmente y con una velocidad de 10m/s
b) Con un ángulo de 30º sobre la horizontal y una velocidad inicial de 8 m/s
¿Cuál llegará más lejos? (Calcula el alcance de cada uno)
Calcula el vector velocidad en ambos casos para el instante en que choca con el suelo. ¿Cuál llega con mayor velocidad?

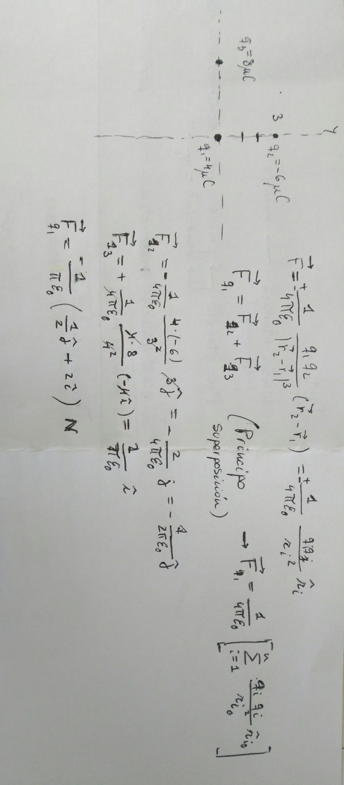
Viste los videos de tiro parabolico y horizontal?
A partir de ahí, se trata
de que DESPUES DE IR A CLASE (ver los vídeos relacionados con vuestras dudas)
enviéis dudas concretas, muy concretas. Y que nos enviéis también todo aquello
que hayais conseguido hacer por vosotros mismos. Paso a paso, esté bien o mal.
No solo el enunciado. De esa manera podremos saber vuestro nivel, en que
podemos ayudaros, cuales son vuestros fallos.... Y el trabajo duro será el
vuestro. Nos cuentas ¿ok?
Hola. Puse este problema el otro día pero nadie pudo contestar. Tengo recuperación. Por fa a ver si podéis ayudarme. El enunciado está en amarillo debajo. Gracias ![]()

a) Lo primero es hallar el ángulo del plano, el cual se define mediante la pendiente como:
m=tgα =>0,2=tgα => α=tg-10,2=11,31º
Lo siguiente sería calcular la aceleracion de frenado mediante MRUA:
v2=v02+2ae=>0=202+2·a·150=>a=-1,3m/s2
Al ser un plano inclinado se cumple que:
Px-F=m·a =>Psenα-F=m·a =>mgsenα-F=m·a =>F=m(a+gsenα)=9755,8N
b) La energia disipada será W=F·d=9755,8·150=1463377,25 J
Buenos días, tengo una duda con respecto a las unidades de este ejercicio. El resultado numérico es correcto pero las unidades no y no se cuales debería poner. Tampoco entiendo del todo por qué tengo que multiplicar el 70% (concentración de agua en el tejido) por la densidad del agua y cuales son sus unidades. Gracias! ![]()
![]()

Sorry! Lamento de todo corazon no poder ayudarte, pero unicoos (por ahora) solo llega hasta bachiller con matemáticas, física y química. Tu duda se da en la "uni". Espero lo entiendas...
Ojalá algun unicoo universitario se anime a ayudarte
(de hecho lo ideal es que todos los universitarios intentarais ayudaros los
unos a los otros)
Un gran depósito abierto, de sección cilíndrica y radio 2 m, se llena de agua mediante una cañería (como se ve en la figura). El radio de la cañería es de 5 cm pero con un segmento donde el radio es de 2 cm, que se utiliza para medir la velocidad del agua en ella mediante un manómetro con mercurio (ρHg = 13,6 g/cm3). Si se mide una diferencia de altura h = 10 cm entre ambas ramas, calcular: a) La velocidad del agua en la sección estrecha (S1) y en la ancha (S2) de la cañería. b) La presión en el fondo del depósito tras 2 horas. Sol: a) 5,1 m/s, 0,8 m/s; b) 137 kPa
¿Como se calculan las áreas de las cañerías? Me falta solo eso para hallar las velocidades, gracias.
Hola que tal a todos...? tengo una duda que no puedo solucionar es sobre tiro parabolico y caida libre:
https://www.youtube.com/watch?v=bOkwcEw06zg
En el vídeo este... buscan la altura a la que desean que el objeto caiga...se despeja el angulo y el tiempo
Como hago el ejercicio si no me dan Vo y el tiempo...
Tengo la altura, la distancia, la velocidad del segundo objeto...
Básicamente este es el ejercicio, le he dado muchas vueltas y no puedo resolverlo... Agradecería su ayuda, puedo retribuir monetariamente incluso si puede demostrarme que efectivamente los tiempos son correctos... y las posiciones iguales en el mismo instante
Pueden manipular los 34.38, me refiero a que pueden caer en el intervalo de 34.38 a cero.. que es cuando cae...

Buenas noches espero que anden bien, me encuentro realizando este ejercicio, llegue a un punto donde no se que mas hacer, tengo un problema y es que yo vivo en Venezuela y por la situacion de las protestas que ha habido por aqui, no se si han leido lo que ha estado pasando por aqui pero debido a eso no he podido recibir clases de la mejor manera en especial de esta materia, disculpen por ese minidiscurso, simplemente quiero que sepan que no es mi intencion abusar de esta plataforma, espero que me puedan orientar en algo en algo, adjuntare mas o menos lo que pude sacar, despues de sacar esas ecuaciones que creo que tuve un error conceptual en uno de los diagramas, no supe que mas hacer, muchisimas gracias!
es ![]()
Buenas, tengo una duda que hice en un vídeo ¿la potencia disipada en un circuito eléctrico de corriente continua es P =I^2*R? Es que yo tengo eso en mis apuntes y es lo que he visto, pero en el vídeo viene como potencia útil.
Gracias

Yo se que el rendimiento es la relación entre la potencia útil y la disipada en forma de porcentaje. Pero en todas las páginas que busco viene definido la potencia disipada como Pdisipada = I2 R (antes lo dije como útil) y me refería a que lo pusieron como la potencia útil en el video en vez de disipada.
No lo entiendo entonces, le adjunto fotos.

Para ello has de saber que la unidad atomica de masa es de 1,67·10-27kg, con lo que tendras que mirar en la tablas su masa y hacer la conversion, en cuanto a la carga es la misma para ambos, ya que lo único en lo que difieren es en el numero de neutrones.
Otra forma de hallar el apartado a) seria tener en cuenta que para que los iones no se desvien la fuerza magnetica y la electrica han de ser iguales, con lo cual:
Fe=Fm
q·E=qvB1=>v=E/B1=> siendo E=ΔV/d=200/0,002=100000 N/C
con lo cual: v=100000/0,5=200000 m/s
Para el apartado b) al darte el diametro del LITIO6 al saber que es 7,5 cm de radio, o sea, 0,075m bastaria con sustituir en la expresion que relaciona la trayectoria circular que sigue, que se obtiene igualando la fuerza centripeta y la magnetica (ya que es un MCU)
Fc=Fm =>m·v2/RLi6=q·vB2, con este radio puedes averiguar la relacion q/m, siendo:
B2RLi6/v=m/q =>m/q=7,5·10-7 kg/C
El problema que veo es que para el litio 7 la relacion m/q será distinta, por el mero hecho de tener mas masa...lamento no poder ayudarte mas