Buenas! Que tal?
Tengo un problema con este ejercicio.
Yo había planteado para el bloque A: T1 - Fr1 = m1.a1
Para el bloque B T2-T1-Fr2=m2.a2
Fr2 no es la fuerza de roce del Bloque b con la superficie, sino del bloque b con el a
Me resulta imposible porque tengo mas incógnitas de las que puedo encontrar usando un sistema con esas dos ecuaciones.
Podrían ayudarme? Gracias!
Buenas tardes, ¿me pueden ayudar?
b) Razone si, al triplicar la frecuencia de la radiación incidente sobre un metal, se triplica la
energía cinética de los fotoelectrones.
buenas tardes podríais ayudarme?
Recuerda: 1microculombio (μC) = 10-6 C. K (vacío) = 9.109 N.m2/C2.

Viste los vídeos de electrostática:
https://www.youtube.com/watch?v=xVMlGRcp54U&list=PLOa7j0qx0jgMEZgKsardkZGh38EUj-kfc
A partir de ahí, se trata de que DESPUES DE IR A CLASE (ver los vídeos
relacionados con vuestras dudas) enviéis dudas concretas, muy concretas. Y que
nos enviéis también todo aquello que hayais conseguido hacer por vosotros
mismos. Paso a paso, esté bien o mal. No solo el enunciado. De esa manera
podremos saber vuestro nivel, en que podemos ayudaros, cuales son vuestros
fallos.... Y el trabajo duro será el vuestro. Nos cuentas ¿ok?
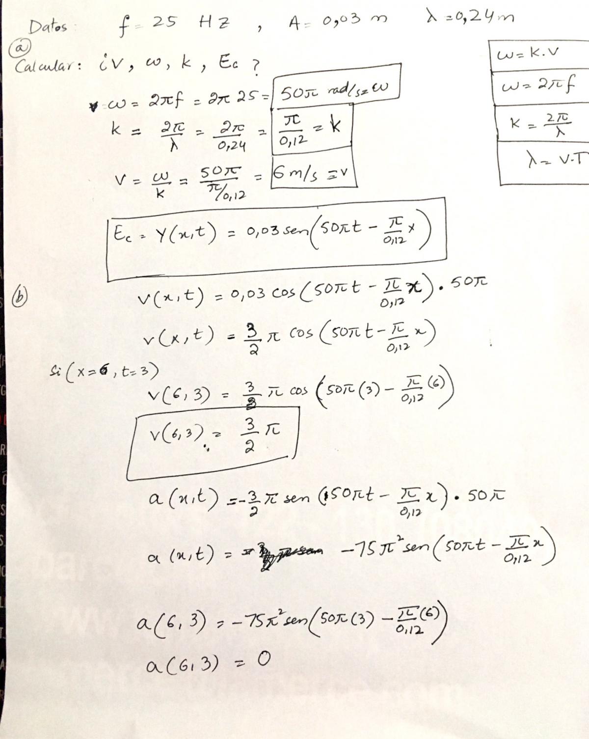
Buenos Tarde,
He hecho un ejercicio de ondas transversal y el anunciado dice lo siguiente:
Una onda transversal se mueve en una cuerda. El emisor que la produce vibra con una
frecuencia de 25,0 Hz. Considerad que la onda se está moviendo en el sentido del eje positivo de
las x. El centro emisor se encuentra en el origen de coordenadas y la elongación y(x,t) en el
momento inicial es nula. Sabemos que la distancia entre dos puntos consecutivos que están en el
mismo estado de vibración es de 24,0 cm y que la amplitud de la onda es 3,00 cm. Calcule:
a. La velocidad de la onda, la frecuencia angular (pulsación), el número de ondas y la
ecuación de onda.
b. La velocidad de oscilación y la aceleración de un punto situado a x = 6,00 m en el
instante t = 3.00 s
En este problema: la Via Lactea midae 100.000 años luz y el sistema solar 12.000 millones de km.¿Cuantas veces es mayor la Via Lactea con respecto al sistema solar?. Me estoy liando mucho con este problema, si alguien puede ayudarme gracias de antemano

Hola Rober,
Realmente es un problema de unidades. Te dan dos cantidades, y te preguntan cuantas veces es una mayor que la otra, es decir, te están diciendo que las dividas. El problema es que estas dos cantidades están en unidades distintas (una en años luz, la otra en millones de kilómetros), por lo que antes de dividirlas tienes que convertirlas a las mismas unidades. En la imagen que mandas, ambas se han convertido a kilómetros, y una vez hecho eso se pueden dividir:
Si los divídes, te sale que la vía láctea es (9.5*1017)/(1.2*1010)=7.92*107 veces mayor que el sistema solar. Puedes comprobar que si conviertes ambas cantidades años luz en vez de kilómetros, el resultado de dividirlas será el mismo.
Es increíble se te paras a pensarlo. Nuestro sistema solar, que apenas hemos explorado, ¡es 80 millones de veces más pequeño que nuestra galaxia!
Hola, buenas tardes.
Soy alumno de Ingeniería de Telecomunicación y esta carrera básicamente es pura física y matemáticas.
Una de las asignaturas más importantes para entender muchísimos conceptos de la carrera y a la vez más complicada de aprobar es "Medios de Transmisión" (o al menos así se le denomina en mi universidad), se basa en conceptos de física como: Análisis vectorial, Electrodinámica y Ondas planas, Líneas de Transmisión y Guías de Ondas.
Sería interesante explicar algunos de estos temas con uno de tus fantásticos videos y así ayudar a cientos de alumnos, como yo, de esta rama.
Gracias y un saludo.
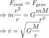
Alguien me puede ayudar a relacionar el movimiento orbital de un cuerpo con el radio de la órbita y la masa generadora del campo. (Dato: el campo es gravitatorio)
Un saludo,
Gracias.

Hola Carlos,
¿Te refieres a una órbita circular? En ese caso, sabes que la fuerza gravitatoria tiene que ser igual a la centrípeta, por lo que puedes obtener la siguiente relación:
Donde m es la masa del cuerpo, M es la masa generadora del campo, r el radio de la órbita, G la constante de gravitación universal, y v la velocidad
Si la órbita es de otro tipo (elíptica, parabólica, o hiperbólica) es ligeramente más complicado. ¿Te referías a algo así?
¿Cómo se sería la expresión de la velocidad si no conociese el valor de la constante de la gravitación universal? ¿O si conociese el periodo en vez del radio? Me refería a todos esos posibles casos, que después en los problemas no sé me ocurren esos "cambios"
Muchas gracias, Pablo.
Depejas de la expresion del tiempo que t=2πr/v y listo realmente los ejercicios no siempre te faltara un solo dato a veces son mas y debes igualar formulas y despejar un consejo es que diarimente las repases las formulas y despejes de las que te sabes para llegar al planteamiento.
Hola!!! saben otro metodo para hacer las constantes de elasticidad de un muelle que no sea F=KporX
hola amanda, No existe otro modo de hacer la constante de elasticidad asta el dia de hoy solo se conoce esa formula
PD: espero que te haya ayudado
La partícula se mueve en 1-dimensión. Si trazamos su velocidad y desplazamiento a lo largo del tiempo, la trayectoria forma un círculo centrado en el origen.
¿Cuál de las siguientes relaciones es verdadera con respecto a su aceleración (a), velocidad (v) y su desplazamiento (x)?
Nota: En las opciones, k es una constante positiva.
(a) a=kx
(b) a=-kx
(c) a=kv
(d) a=-kv