Que fórmula debo aplicar en este ejercicio, lo he intentado con una pero no me da el resultado, Gracias![]()

Si te refieres por el ejercicio 19, se hace aplicando la Ley de Biot Savart..
B = (Uo/4pi). ∫(I x ds)/r^2
Procedo a sacar fuera de la integral la corriente I y r^2 por ser constantes
B = (Uo/4pi).(I .r^2). ∫(ds)
La integral del ds es s, ¿Que es s?, pues s es la superficie donde existe campo magnético, es decir, la superficie de la semicircunferencia
Superficie de una circunferencia --> 2pi.r
Superficie de una semicircunferencia --> pi.r
Luego entonces:
B = (Uo.I.pi.r)/(4pi.r^2)
Realizando simplificaciones correspondientes quedaría:
B = (Uo.I)/(4r)
Reemplazamos datos:
B = (4pi x 10^-7 x 2A)/(4.0,20 m) = 3,14 uT
Si te preguntas porque no analicé la parte recta del conductor, la respuesta es que esas secciones no generan campo magnético porque en esas partes del conductor, la linea de acción de la corriente pasa por el punto donde te están pidiendo que calcules el campo magnético, cualquier duda me la haces saber o sino busca "Ley de Biot-Savart", cuando te den ejercicios de este tipo, generalmente se aplica esta ley. Saludos!
Podriais decieme si el siguiente ejercicio se realiza como lo mando en la foto adjunta. Gracias.
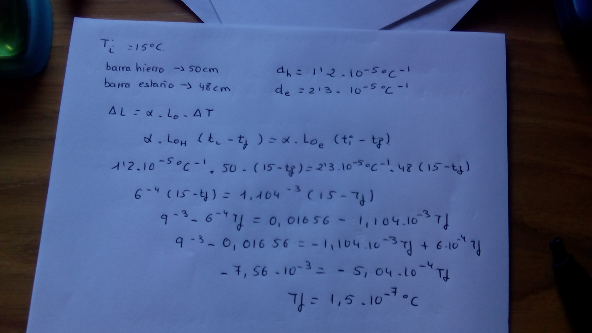
A una temperatura ambiente inicial de 15ºC he medido una barra de hierro y otra de estaño; la de hierro mide 50 metros y supera en 2 centímetros la longitud de la de estaño. Quiero calentar las dos barras hasta conseguir que midan exactamente lo mismo. Averiguar a qué temperatura ocurrirá eso.
Y¿ cómo se haría este otro?
Un gas se encuentra dentro de un recipiente de 1200 cm3 y está sometido a una presión de 646 mmHg y posee una temperatura de 25ºC. Estas condiciones cambian de tal forma que su temperatura disminuye en un 20% mientras que su volumen aumenta en un 15%. Hallar la nueva presión a la que se encontrará el gas y expresar dicha presión en milibares.

1)
Unidades de longitud en centímetros (cm).
Coeficiente de dilatación lineal del hierro: αh = 12x10-6 C-1
Coeficiente de dilatación lineal del estaño: αe = 23x10-6 C-1
Temperatura inicial para ambas barras: To = 15 ºC
Cambios de longitud por temperatura: ΔL = Lf - Lo = αLo(Tf - To)
Para el hierro: ΔL = Lf - 50 = 12x10-6*50*(Tf - 15) → Lf = 50 + 12x10-6*50*(Tf - 15) (1)
Para el estaño: ΔL = Lf - 48 = 23x10-6*48*(Tf - 15) → Lf = 48 + 23x10-6*48*(Tf - 15) (2)
Igualo estas expresiones y resuelvo para Tf : 50 + 12x10-6*50*(Tf - 15) = 48 + 23x10-6*48*(Tf - 15) → Tf ≈ 3983.2 ºC

2)
Ley de Gases Ideales: P1V1/T1 = P2V2/T2
V1 = 1200 cm3
V2 = 1.15V1 = 1.15*1200 = 1380 cm3
T1(K) = T(ºC) + 273 = 25 + 273 = 298 K
T2 = 0.8T1(K) = 0.8*298 = 238.4 K
P1 = 646 mmHg
Reemplazando en la ecuación y resolviendo para P2 : 646*1200/298 = P2*1380/238.4 → P2 ≈ 449.4 mmHg
Expresando en milibares (mbar): P2 = 449.4 mmHg (1.333 mbar/1 mmHg) ≈ 600 mbar
Ayuda con este problema en el inciso b), se que en el inciso a) la respuesta es 50.0uC (u es micro).
Supongamos que las placas de un capacitor de 5.0uF se conectan a una diferencia de potencial de 10V.
a)¿Cuál es la carga del capacitor?
b)Si se desconecta el capacitor de 5.0uF de la batería y se conecta a un capacitor de 3.0uF, originalmente descargado. ¿Cuál será la carga final en cada capacitor?

Al conectar inicialmente el capacitor de 5 μF a un potencial (batería) de 10 V, la carga que adquirirá será de: Q = CV = (5x10-6)(10) = 50 μC
Si desconectamos la batería y conectamos este capacitor cargado (5 μF) a otro capacitor descargado (3 μF) la carga final de cada capacitor dependerá del tipo de conexión que se haga.
Si conectamos los capacitores en serie:
La carga que pasara por ambos capacitores será la misma, igual a la magnitud de carga que tenía el capacitor cargado. Ósea 50 μC para ambos capacitores.
Si conectamos los capacitores en paralelo:
En esta ocasión, el potencial en ambos capacitores será el mismo. Dicho esto podemos decir que: V = Q1/C1 = Q2/C2 = Q1/5x10-6 = Q2/3x10-6 (1)
Además, para esta configuración haciendo una ecuación de nodo nos resulta que: Q = Q1 + Q2 = 50x10-6 (2)
Tengo dos ecuaciones con dos incógnitas. Resolviendo el sistema 2x2 obtienes que Q1 = 31 μC y Q2 = 19 μC
Para dudas, házmelo saber.

Los dos capacitores en el inciso b están conectados en serie, lo que tienes que hacer es calcular la capacidad equivalente entre esos dos capacitores que están en serie, la cuál da:
1,87 uF
Con la capacitancia equivalente (en adelante Ceq) podés calcular la carga equivalente del circuito(en adelante Qeq) haciendo
Qeq = Ceq x V
Siendo V la diferencia de potencial
La carga equivalente es 1,87x10^-5 Culombios
Para terminar de resolver el apartado b, y calcular las cargas sobre cada capacitor debes hacer:
Q1 = Ceq x V
Q2 = Ceq x V
Te darás cuenta que Q1=Q2, y además Q1=Q2=Qeq, lo cuál aporta la conclusión de que cuando los capacitores estan en serie, la carga en cada capacitor es la misma y es igual también a la carga equivalente en todo el circuito.
Para terminar te dejo un tip a tener en cuenta para esta clase de ejercicios y aplicalo cuando practiques:
Capacitores en serie:
-La carga es la misma en cada uno y es igual a la carga equivalente.
-La diferencia de potencial que entra en cada capacitor es distinta.
Capacitores en paralelo:
-La carga en cada capacitor es distinta
-La diferencia de potencial que entra en cada capacitor es la misma.
Un Saludo!
Hola quisiera que me ayudaran con estas 3 preguntas.. dos preguntas respondi mas o menos
1.En el flujo estable, el vector velocidad es constante encualquier punto. Si, en cada punto del fluido la velocidad permanece constante a través del tiempo, de tal manera que cada partícula que pasa por ese punto tendrá dicha velocidad. ¿Puede existir entonces un movimiento acelerado de las partículas del fluido?
2.Explique si es válida la ecuación de continuidad para fluidos comprensibles?
3.¿Qué principio físico expresa el Teorema de Bernoulli? la disminucion de la precion de un fluido (loquido o gas) en movimiento cuando aumenta su velocidad.

1. En el flujo estable, ¿el vector velocidad es constante en cualquier punto?
R. Si es estable, es estacionario. Por lo tanto la velocidad no variara con el tiempo; será constante en magnitud en cualquier punto.
2. Explique si es válida la ecuación de continuidad para fluidos comprensibles.
R. No es válida ya que para flujos compresibles, la densidad no es constante.
3. ¿Qué principio físico expresa el Teorema de Bernoulli?
R. El Principio de la Conservación de Energía.
Au revoir.

a) La refracción es el cambio de dirección y velocidad que experimenta una onda al pasar de un medio a otro con distinto índice refractivo. Solo se produce si la onda incide oblicuamente sobre la superficie de separación de los dos medios y si estos tienen índices de refracción distintos. -Wikipedia
La reflexión es el cambio de dirección que experimenta un rayo luminoso al chocar con la superficie de un objeto. El rayo reflectado continúa propagándose en el mismo medio.
b)
i)Verdad.
ii)Verdad. Al ser dos medios de distinto índice de refracción, la longitud de onda y velocidad de propagación cambian. Al ser mayor el índice de refracción del agua, ambas disminuyen.
hola necesito ayuda con este problema Un hilo muy largo puede hacerse vibrar hacia arriba y hacia abajo con un motor mecánico con objeto de producir ondas que recorran el hilo. En el otro extremo lejano del hilo las ondas se absorven de tal manera que no hay ondas reflejadas que vuelvan hacia el motor. Se observa que la rapidez de onda es de 24 m/s. El máximo desplazamiento transversal del hilo es de 1,0 cm y la distancia entre máximos es de 3,0cm.
a) Escribe una función de onda para representar la que se propaga en el hilo.
b)¿Cuál es la frecuencia de vibración del motor?
c) ¿Cuál es el periodo de las oscilaciones transversales del hilo?
d) ¿ Cuál es la máxima rapidez transversal que tendrá un pequeño insecto agarrado del hilo?
En un sube y baja están Pedro y Raúl. Pedro se ubica en un extremo y pesa 40kg ¿cuantos pesará Raúl si se encuentra a 1/4 del extremo siguiente y el sube y baja está en equilibrio?
Resolver por palanca de primer género.
Un motociclista tarda 20 minutos en recorrer un llano de 15 km, 15 minutos en subir una cuesta de 5 km y 10 minutos en bajar un puerto de 12 km. Calcula la velocidad media en m/s y km/h.

Tan solo tenemos que calcular la velocidad en cada tramo, pasando primero a las unidades adecuadas, y luego hacer la media entre las tres. Aquí, en cada tramo, he pasado los kilómetros a metros y los minutos a segundos, para calcular la velocidad en m/sg y luego he pasado cada una a km/h por factores de conversión. Sin embargo también puedes pasar los minutos a horas y calcular la velocidad en km/h y luego pasarlo a m/sg.
Al final, una vez que tengo los 3 tramos, calculo a velocidad media tanto en m/sg como en km/h, pero basta con calcular la media en una de las unidades por ejemplo en m/sg, y después por factores de conversión pasarlo a km/h.
Te recomiendo que intentes hacerlo tú y después compruebes el resultado. Espero que te sea de ayuda!
AYUDA URGENTE EXAMEN EL MARTES porfavor ayudadme a resolver esto :
Si un móvil recorre una circunferencia de 5 m de radio con la velocidad constante de 10 vueltas por minuto, ¿cuál es el valor del período, de la frecuencia, de la velocidad lineal, de la velocidad angular y de la aceleración?

Te recomiendo que veas este vídeo ya que el ejercicio es muy parecido. Cuando lo tengas subelo y te ayudaré si tiene cualquier problema. Espero que te sirva de ayuda!
FISICA Movimiento circular uniforme MCU 02