Hola David, buenos días. Me harías un grandísimo favor si me resolvieras estos ejercicios.
El profesor me pide que resuelva cada una de las cuestiones planteadas incluyendo los siguientes pasos:
1) Representar claramente los diagramas de fuerzas cuando existan y el sistema de referencia que voy a utilizar.
2) Explicar el fundamento físico que da origen a cada ecuación que voy a aplicar.
3) Razonar cada paso seguido en el desarrollo del problema.
Me sería de vital importancia que me respondieras hoy dado que el examen de física lo tengo mañana :(. Gracias y un saludo. Te adjunto la primera foto con los ejercicios. Como solo puedo adjuntar 1 foto por pregunta, en las siguientes consultas te envío los demás archivos de imagen.

Se trata de que DESPUES DE IR A CLASE (ver los vídeos relacionados con vuestras dudas) enviéis dudas concretas, muy concretas. Y que nos enviéis también todo aquello que hayais conseguido hacer por vosotros mismos. Paso a paso, esté bien o mal. No solo el enunciado. De esa manera podremos saber vuestro nivel, en que podemos ayudaros, cuales son vuestros fallos.... Y el trabajo duro será el vuestro.
Para el 1).. ¿has visto los vídeos más básicos de dinámica? Se trata de trabajar duro y pensar un poco...
1a) Un cuerpo puede desplazarse con velocidad constante sin que ninguna fuerza actua sobre el..
1b) Puede haber cientos de fuerzas actuando sobre el y que la velocidad sea constante (igual que el 1d)), si la suma de todas las fuerzas es nula...
1c) Para que un cuerpo se pare hay que ejercer alguna fuerza sobre el... Igual que para que comience a desplazarse...
1d) Si un cuerpo se mueve a velocidad constante puede haber cientos de fuerxas sobre el, pero la resultante de todas ellas será 0...
Para el 2) https://www.youtube.com/watch?v=GuL2UnBwPyY
Para el 3) todos los de Momento lineal. Choques
Hola podrían decirme si estoy resolviendo bien este ejercicio de Dinámica lineal? me confunde un poco
Dice lo siguiente: El carro de masa M recorre una distancia de D1= 52 cm con MRUA partiendo del reposo,luego de lo cual continúo con MRU recorriendo D2=70 cm con un tiempo T2= 2 seg.
Halle la aceleración del carro.
Les adjunto una foto, espero se vea bien.
Tengo entendido que la aceleración no depende de la masa.
Por lo que intente calcularlo como un ejercicio normal de MRUA y MRU
Lo que me confunde es si debo calcular la aceleración solo en el MRUA o por si algún motivo en especial debo tomarlo todo.
yo solo tome la parte del MRUA por que tiene aceleración
No tenia la velocidad así que calcule la velocidad con el MRU
Xf=Xo+V.t
70 cm= 0cm +V. 2 seg.
35 cm/s= V
eso sería la velocidad final del MRUA.
Entonces para sacar la aceleración ya que no tengo el tiempo, use esta ecuación:
Vf=Vo+2a. (xf-xo)
35 m/s = 2.a.52 cm
0,34 cm/s2= a
Gracias y saludos!
La fórmula de la potencia en ópticas es 1/f o 1/f'? Porque en mi libro es la inversa de f', pero en el solucionario de un examen estaba resuelto con la inversa de f
Muy buenas, tengo unas dudas muy grandes sobre unos ejercicios de física, he mirado los videos pero no llego a saber resolverlos, tengo las formas graficas, pero la formas analíticas me cuestan mucho, si alguien pudisese ayudarme se lo agradecería mucho. Les adjunto los cuatro ejercicios que mas me cuestan.... gracias de antemano

Para el 1... FISICA Palanca de primer grado 01
Recuerda que F1.d1=F2.d2... en tu caso F2=2.F1... d1=x... d2=1,5-x... Te quedará... F1.x=2.F1.(1,5-x).... x=2.(1,5-x).... x=3-2x... 3x=3... x=1 metro
Fr=F1+F2=F1+2.F1=3.F1 por llevar el mismo sentido...
Si las fuerzas fueran de sentidos opuestos... Fr=F2-F1=2.F1-F1=F1...
Y si d2=x... d1=1,5+x... Te quedará F1.(1,5+x)=2.F1.x.... 1,5+x=2x.... x=1,5 metros...
El 2) es como el 1)...
Para el 3)... Suma de fuerzas concurrentes
Para el 4)... Plano inclinado
Se trata de que DESPUES DE IR A CLASE (ver los vídeos relacionados con vuestras dudas) enviéis dudas concretas, muy concretas. Y que nos enviéis también todo aquello que hayais conseguido hacer por vosotros mismos. Paso a paso, esté bien o mal. No solo el enunciado. De esa manera podremos saber vuestro nivel, en que podemos ayudaros, cuales son vuestros fallos.... Y el trabajo duro será el vuestro. #nosvemosenclase Nos cuentas ¿ok?
Agradecería que me ayudasen a plantear y resolver el siguiente ejercicio:
"La figura representa dos hilos rectilíneos y paralelos de gran longitud. El primero entra perpendicularmente al papel en el punto A y el segundo sale perpendicularmente del papel en el punto C.
a) Representa la fuerza magnética que actúa sobre los dos hilos y el campo magnético en D.
b) Calcula el campo magnético en D y la fuerza por longitud ejercida sobre uno de los hilos."
a) Representa la fuerza magnética que actúa sobre los dos hilos y el campo magnético en D.
b) Calcula el campo magnético en D y la fuerza por longitud ejercida sobre uno de los hilos."
">

Te sugiero este video.. Ley de Biot Savart Tu ejercicio es igual pero lo estás viendo desde arriba...
A partir de ahí, se trata de que DESPUES DE IR A CLASE (ver los vídeos relacionados con vuestras dudas) enviéis dudas concretas, muy concretas. Y que nos enviéis también todo aquello que hayais conseguido hacer por vosotros mismos. Paso a paso, esté bien o mal. No solo el enunciado. De esa manera podremos saber vuestro nivel, en que podemos ayudaros, cuales son vuestros fallos.... Y el trabajo duro será el vuestro. #nosvemosenclase Nos cuentas ¿ok?
David yo se como se hace pero no tengo como enseñarle a la chica, aunque con el vídeo te queda esto muy claro.
Una cosilla que es mi única duda.En este caso el campo magnético en B se suma por superposición directamente ¿? o es necesario hacerlo vectorialmente. Los campos en el punto D ¿forman 90º? gracias maquinón.
¡Hola! Me estreno en el foro de física. Sí, también tengo global, y sólo un día después de matemáticas, pero qué se le va a hacer :/.
A lo largo de hoy y mañana iré mandando algunos ejercicios que hice para que me podías decir si los hice bien, ya que sois mi única manera de saberlo :P. Os pido, pues, clemencia y paciencia conmigo. Una vez pasado el lunes ya no molestaré más :).
Os mando mi primer ejercicio:
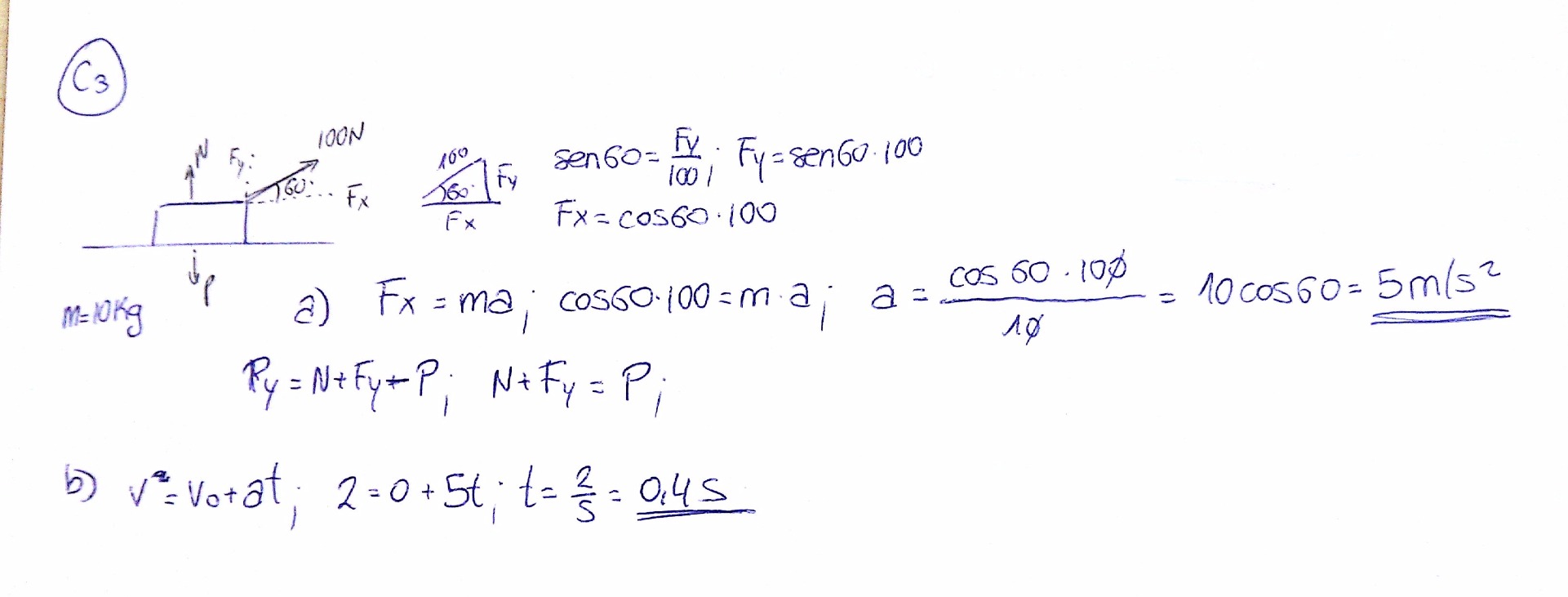
"Se arrastra un cuerpo de 10kg por una mesa horizontal, sin rozamiento, con una fuerza de 100N que hace un ángulo de 60º con la horizontal. ¿Con qué aceleración se mueve el cuerpo? ¿Qué tiempo tardará en alcanzar una velocidad de 2m/s suponiendo que parte del reposo sobre el plano?"
Gracias.
¡Hola! Me estreno en el foro de física. Sí, también tengo global, y sólo un día después de matemáticas, pero qué se le va a hacer :/.
A lo largo de hoy y mañana iré mandando algunos ejercicios que hice para que me podías decir si los hice bien, ya que sois mi única manera de saberlo :P. Os pido, pues, clemencia y paciencia conmigo. Una vez pasado el lunes ya no molestaré más :).
Os mando mi primer ejercicio:
"Se arrastra un cuerpo de 10kg por una mesa horizontal, sin rozamiento, con una fuerza de 100N que hace un ángulo de 60º con la horizontal. ¿Con qué aceleración se mueve el cuerpo? ¿Qué tiempo tardará en alcanzar una velocidad de 2m/s suponiendo que parte del reposo sobre el plano?"
Gracias.
Hola, tengo problemas para resolver el siguiente ejercicio, solo me han enseñado a calcular la Tensión cuando tengo alguna aceleración o velocidad constante, el ejercicio no me da nada de eso y no sé calcularlo por que no sé si en esas condiciones se puede aplicar la segunda ley de Newton. Gracias.
Alguien me puede explicar por qué un cuerpo que por alcanzar la temperatura propicia para que sus longitudes de ondas sean las de ultravioleta no se vuelve invisible?