Buenas tardes otra vez, ¿podría alguien ayudarme?
¿A qué velocidad tendría que girar la Tierra alrededor de su eje para que el peso de un cuerpo se redujera en un 70%?
Gracias.
Buenas tardes, tengo que resolver este problema y no sé cómo:
Un motorista asciende por una rampa de 20º y cuando está a 2,0 m sobre el nivel del suelo "vuela" a fin de salvar un río de 10 m de ancho. ¿Con qué velocidad debe despegar si quiere alcanzar la orilla sin mojarse?
¡Muchas gracias!

Es un ejercicio de tiro parabolico... Te sugiero estos vídeos Tiro oblicuo o parabólico
La altura inicial es ho=2m, el angulo α=20º
El "truco" está en plantear que cuando alcance el otro lado del rio (x=20 e y=0)
Nos cuentas ¿ok?
¡Muchísimas gracias! Aunque creo que el otro lado del río es x=1, ¿no? porque realmente yo en ese movimiento tengo la altura de 2m y el alcance de 10, porque no puedo averiguar lo que ha avanzado en esa rampa
¡Menos mal que estáis vosotros, me estoy sacando 1ºbach en mucha parte gracias a esto!
Buenas tarde, hoy tengo un ejercicio que me ha salido en el examen de física, que no he podido saber como resolverlo, desde ya muchas gracias por la ayuda.
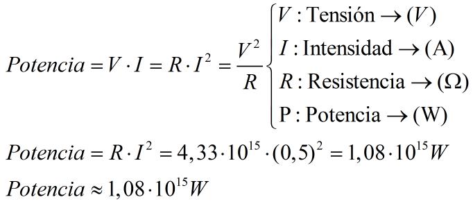
Para una barra de cobre de 80cm de longitud y sección circular 0.1mm de radio, circula una corriente eléctrica de 0,5A, a)Cual es la resistencia eléctrica de la barra? b) Cual es la potencia disipada a la barra?
resistividad del cobre = 1,7 10^8 Ohm m.
Saludos.
Hola!! Me podrían ayudar con este ejercicio de cinemática por favor? Gracias
-Un automóvil esta esperando a que cambie la luz roja de un semáforo. Cuando ésta cambia,acelera uniformemente durante 10 segundos razón de 1,9 m/s,después de lo cual mantiene la velocidad constante. En el instante que el auto comienza a moverse,un camión de galletas que se desplaza en la misma dirección y sentido lo pasa a 40 km/h. ¿Cuánto tiempo tardan en encontrarse nuevamente y a que distancia del semáforo?

Vale aquí tienes que tener claro una cosa. Para que se crucen, matemáticamente tiene que ocurrir una cosa, que el punto s(espacio) sea el mismo en ambos, si no, no se encontrarían. Es decir, s1=s2.
Primero sacamos la ecuación de movimiento del automóvil. Es un movimiento rectilíneo uniformemente acelerado al principio(te dice que acelera), entonces usaremos estas ecuaciones:
s=s0+v0t+1/2at^2
v=v0+at
Como el movimiento acelerado solo dura 10 s, calcularemos la velocidad final en ese momento, v=0+1.9*10=19m/s.
También calcularemos el espacio que recorre en esos 10 s, s=1/2*1.9*10^2=95m
Aquí empieza a moverse uniformemente mantiendo la velocidad constante.
Entonces su nueva ecuación del movimiento será la del movimiento rectilíneo uniforme:
s=s0+vt--->s=95(el movimiento rectilineo uniforme empieza en el metro 95)+19t
Para el autobús, tiene un movimiento rectilíneo uniforme cuya ecuación es:
Primero debemos pasar los 40km/h a m/s--->40 km/h*(1000m/1km)*(1h/3600s)=11.12m/s
Ahora vemos el espacio que ha recorrido en esos 10s. Si pusieramos que empieza desde el 0 y el coche desde el 95 sería falso, ambos empiezan desde el 0, pero como el primer coche tienes dos tipos de movimientos, debemos adaptarnos al problema y empezar a contar el espacio desde el punto en el que ambos permanecen con un movimiento estable y constante, que es cuando el primer móvil termina de acelerar.
s=s0+vt--->s=0+11.12*10=111.2m (en esos 10 s ha recorrido este espacio, mayor al otro móvil, como ves no ha podido adelantarle). s=111.2+11.12t
s1=s2
95+19t=111.2+11.12t
19t-11.12t=111.2-95
7.88t=16.2
t=2.05s
Tardan en encontrarse 2.05s, NO, se encuentran a los 2.05s de empezar a ir con movimiento constante, pero llevan 10 s más en carretera, por lo tanto se encontrarán en 12.05s.
El espacio que recorren en total será sustituir 2.05s en una de los dos ecuaciones.
95+19(2.05)=s
S=133.95m.
Si compruebas en la otra da lo mismo. S=111.2+11.12(2.05)=133.96m.
Buenas tardes, ¿pueden ayudarme con este ejercicio por favor?
Un satélite gira alrededor de un planeta a una distancia de 8500km y tarda 650 minutos en dar una revolución completa. Calcula la masa del planeta.
Hasta ahora tengo:
Ro: 8,5·10^6
T: 39000s
Vo=2Π·8,5·10^6/39000 = 1369,41 m/s
T=2Π·√r^3/G·Mp ;
39000 = 2Π·√(8,5·10^6)^3 / 6,6·10^-11 · M

Para resolver este ejericio tienes que saber una cosa. La fuerza con la que se atraen estos cuerpos puede ser definida con la siguiente fórmula--->Fg=Gm1m2/R^2
Pero también sabemos que este caso, Fg coincide con la fuerza centrípeta o normal, cuya fórmula es Fc=mv^2/R
Entonces podemos igualarlas perfectamente porque son lo mismo
G*m(planeta)*m(satélite)/R^2 = m(satélite)*v^2/R
Podemos quitar ambas masas del satélite, y una de las R^2 anulando la del otro denominador, de tal forma que nos queda así
G*m(planeta)/R=v^2
Ahora, la velocidad lineal, v, es igual a la velocidad angular por el radio, v=ω*R. Y sabemos que ω=2π(una vuelta)/T(tiempo en dar una vuelta).
Entonces, G*m(planeta)/R=(2πR/T)^2
G*m(planeta)/R=4π^2*R^2/T^2
Despejamos la m(masa del planeta, lo que queremos saber)
m(planeta)=(4π^2*R^3)/(T^2*G)
Sabemos el radio de la órbita, y sabemos el periodo, T=650min=39000s.
m(planeta)=4π^2*8500000^3/39000^2*6.67*10^-11=2.39+10^23kg nos da la masa del planeta.
Espero haberte ayudado :). Unicoos tiene más vídeos de este tema, https://www.youtube.com/playlist?list=PLOa7j0qx0jgPezdcoTXOwV8fcqWizhsF1
Hola,
¿M e podrían resolver el siguiente ejercicio por favor?
Se lanza una pelota verticalmennte hacia arriba desde un puente situado a 35 m del agua. Si la pelota golpea el agua 4,0 s después de soltarla, calcula: La velocidad con que se lanzó.
Muchas gracias.

Conocemos g=9,8 m/s^2 , h=35m t=4,00 s y considerando como origen el punto donde impacta la pelota y el agua.
Yf=Y°+V°t-1/2gt^2
Sustituyo
0=35m+V°(4s)-1/2(9,8 m/s^2)(4s)^2
Despeja V°=[-35+0,5(9,80)(4)^2]/4=.... y da positivo,
Eso quiere decir que el balón fue lanzado verticalmente hacia arriba con dicha velocidad y luego impacta con el agua, se lanzó hacia arriba para que haga un viaje gastando tiempo.
Espero haber ayuda en algo.
Hola,
¿Me podrían ayudar con este problema por favor?
Un avión vuela horizontalmente a 1000m de altura con una velocidad constante de 100m/s, deja caer una bomba para que caiga sobre un vehículo que está en el suelo. Calcular a qué distancia del vehiculo, media horizontalmente, debe soltar la bomba si este; a) esta parado. b) se aleja del avión a 72km/h
Muchas Gracias

Vamos a hacerlo cris:
H=1/2 at²→1000=1/2·10t²→1000=5t²→t=√200=14.14 s.
Como V = cte en el eje x tenemos: X=Vt→X=100·14.14=1414 m.
b) si el coche se mueve a 72 km/h→72·1000/3600=20m /s
Como el vehículo se aleja a 20 m/s, es como si el avión fuese a (100+20) en m/s
X=(100+20)·14.14=1696.8 m
Un Saludo.
Buenas tardes
Me pueden ayudar con estos problemas,
tópico a)
BxC =(-2,-1,0)
Ax(BxC)= (2,-4,-1)
A.(Ax(BxC))= 0
CxD= (-5,-6,-7)
BxA=(7,5,6)
(CxD).(BxA)=-107
entonces lo que piden es 0-107=-107
tópico b)
Resultante=(0,4,-2)
entonces: R.V=|R|.|V|.cos(90)
R.V=0
(0,4,-2)(x,y,z)=0
0x+4y-2z=0
y=1
z=2
respuesta V=(0,1,2)
tópico c)
CxB= (2,1,0)
tópico d)
B-A=(-1,5,-3)
A-B=(1,-5,3)
(B-A)x(A-B)=(0,0,0)
me preguntan que angulo forma Z con la componente z del vector pero el vector es 0, la respuesta seria angulo 0?
me podrian confirmar si los topicos de la a) hasta la c) lo hice correctamente