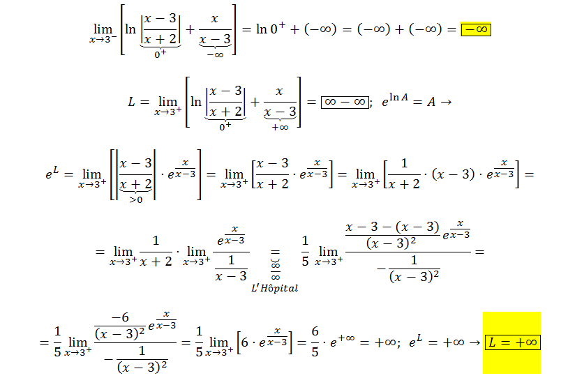
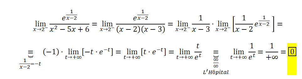
*me podrían ayudar con este ejercicio que non entiendo cual es el punto de acumulación y por que los es , ni porque es acotado?? y abierto ni porque no es cerrado ni compacto?? , ni porque no tiene máximo ni mínimo? ? ni porque sup A =5 y inf A =1????
Muchas gracias
el ejercicio que me plantean es: Teniendo en cuentas los planos π1= x+y+z= -2 y π2= x-y-2z= 1, crea otro plano, y que la posición relativa de los tres planos sea:
a- que corte en un punto
b- que los corte una recta
c- que no tengan un punto de corte común, pero que los planos se corten dos a dos
si me dan dos planos y me piden que cree otro que cumpla la condición: que los tres planos se corten, cómo puedo hacerlo.
Se pueden cortar en un solo punto, en ese caso el sistema de ecuaciones determinado por los 3 planos debe ser COMPATIBLE Y DETERMINADO.
Si se cortan en 2 dos rectas , en este caso el sistema de ecuaciones determinado por los 3 planos debe ser INCOMPATIBLE
y de rangos 2 y rango 3 para la matriz ampliada.
No se si te vale así.
Si no pon ejemplo
Buenas tardes, ¿alguna ayuda con estos problemas?
1. Sea una fracción a/b. ¿Qué números x e y se pueden añadir respectivamente al numerador y denominador de la fracción para obtener una fracción equivalente?
2. ¿Es cierta la siguiente afirmación? "Dadas dos fracciones cualesquiera, la fracción que tiene por numerador la suma de los numeradores y por denominador la suma de los denominadores está comprendida entre ambas". Si sustituyo con números me da que es cierta, pero necesito una explicación "más teórica".
Muchas gracias!

Vamos con el 1.
Puedes multiplicar al numerador y al denominador por un mismo número real distinto de cero:
Si x ≠ 0, tienes: (a*x)/(b*x) = (a/b)*(x/x) = simplificas = (a/b)*1 = a/b.
Luego investigamos si podemos sumar una mismo número real al numerador y al denominador (suponemos que son distintos), para ello planteamos:
(a + y)/(b + y) = a/b, hacemos pasajes de divisores como factores (observa que los divisores no pueden ser iguales a cero):
(a + y)b = a(b + y), distribuimos en ambos miembros:
ab + yb = ab + ya, hacemos pasajes de términos y queda:
yb - ya = ab - ab, extraemos factor común en el primer miembro y cancelamos términos opuestos en el segundo miembro:
y(b - a) = 0, hacemos pasaje de factor como divisor (recuerda que consideramos que a y b son distintos):
y = 0/(b - a), resolvemos el segundo miembro y queda:
y = 0,
por lo que concluimos que solamente se puede sumar cero al numerador y al denominador para que no se altera la fracción a/b.
Si a = b, tenemos que podemos sumar cualquier número real al numerador y al denominador, con excepción del opuesto del denominador:
Si x ≠ - b, tenemos:
(a + x)/(b + x) = (recuerda que a = b) = (b + x)/(b + x) = simplificamos = 1 = b/b = (recuerda que a = b) = a/b.
Espero haberte ayudado.

Gracias por las respuestas, aunque creo que el ejercicio 1 lo acabo de comprender.
Operando a partir de a/b=(a+x)/(b+y), llegaba a esto:
x= ay/b, que es lo mismo que decir que x=(a/b)*y (la fracción inicial por y).
o bien:
y= bx/a, que es lo mismo que decir que y=(b/a)*x (la inversa de la fracción inicial por x).
Pero no entiendo muy bien como interpretar eso, y si es correcto a lo que he llegado.
Buenas tardes a todos, tengo que entregar una serie de ejercicios a la vuelta de navidad y me gustaría saber si están bien planteados
de los 39 alumnos de 1º de Bachillerato que cursan matematicas de CCSS 23 aprueban matamaticas. Halla la probabilidad de que al elegir 5 alumnos al azar:
a) ninguno apruebe matamaticas
b) aprueben a lo sumo 2
c) al menos cuatro aprueben
p= 23/39= 0,59
q= 1-0,59= 0,41
n= 5
a) ninguno apruebe matemáticas

Observa que la probabilidad de elegir un alumno, entre todos los del curso, que aprobó Matemática es:
p = 23/39, pero la de elegir al siguiente ya es diferente, por lo que no es conveniente plantear elecciones sucesivas alumno por alumno.
Si consideramos que las elecciones son sin orden y sin repetición podemos plantear:
Sea X: "cantidad de alumnos que aprobó Matemática", y observa que X puede tomar los valores: 0, 1, 2, 3, 4, 5.
a) P(X = 0) = C(16,5)C(23,0)/C(39,5)
observa que de los 16 alumnos que no aprobaron Matemática elegimos cinco, y por cada elección que hemos hecho tenemos que de los 23 alumnos que si aprobaron Matemática no elegimos a ninguno, sobre un total de 39 alumnos del curso de los cuáles elegimos cinco.
b) P(X ≤ 2) = P(X = 0) + P(X = 1) + P(X = 2) (1)
observa que el primer término lo tenemos calculado en el inciso anterior, luego los demás quedan:
P(X = 1) = C(16,4)C(23,1)/C39,5)
observa que de los 16 alumnos que no aprobaron Matemática elegimos cuatro, y por cada elección que hemos hecho tenemos que de los 23 alumnos que si aprobaron Matemática elegimos a uno, sobre un total de 39 alumnos del curso de los cuáles elegimos cinco;
P(X = 2) = C(16,3)C(23,2)/C(39,5)
observa que de los 16 alumnos que no aprobaron Matemática elegimos tres, y por cada elección que hemos hecho tenemos que de los 23 alumnos que si aprobaron Matemática elegimos a dos, sobre un total de 39 alumnos del curso de los cuáles elegimos cinco;
luego tenemos todo lo que necesitamos para resolver la expresión señalada (1).
c) P(X ≥ 4) = P(X = 4) + P(X = 5) (2)
planteamos cada término por separado:
P(X = 4) = C(16,1)C(23,4)/C(39,5)
observa que de los 16 alumnos que no aprobaron Matemática elegimos uno, y por cada elección que hemos hecho tenemos que de los 23 alumnos que si aprobaron Matemática elegimos a cuatro, sobre un total de 39 alumnos del curso de los cuáles elegimos cinco;
P(X = 5) = C(16,0)C(23,5)/C(39,5)
observa que de los 16 alumnos que no aprobaron Matemática no elegimos a ninguno, luego tenemos que de los 23 alumnos que si aprobaron Matemática elegimos a cinco, sobre un total de 39 alumnos del curso de los cuáles elegimos cinco;
luego tenemos todo lo que necesitamos para resolver la expresión señalada (2).
Espero haberte ayudado.