Foro de preguntas y respuestas de Matemáticas

logo beUnicoos
Los foros de unicoos se han unificado en nuestra nueva plataforma beUnicoos. Para dejar nuevas preguntas deberás hacerlo allí, donde además podrás encontrar nuevas asignaturas y herramientas para ayudarte más con tus estudios.

  • icon

    Pablo
    el 27/1/17

    Tengo una Duda con un ejercicio resuelto de mi guia


    Tengo el siguiente ejercicio


    No entiendo la tercera linea del ejercicio. Una vez que separo el determinante en otros cuatro determinantes, no entiendo como en la proxima linea solamente aparece el ultimo termino y no los demas. La otra parte del ejercicio que es cambiar el lugar de las variables, poner menos en el determinante y reemplazar por el resultado ya la entiendo, pero no entiendo porque solo se uso el ultimo termino en vez de los cuatro.


    Muchas gracias de antemano.


    replythumb_up0 voto/sflag
    icon

    Antonio Silvio Palmitano
    el 27/1/17

    Primero observa la segunda línea:

    el primer determinante es igual a cero, porque el primer vector es igual al doble del tercero,

    el segundo determinante es igual a cero, porque el segundo vector es igual al tercer vector,

    el tercer determinante es igual a cero, porque el primer vector es igual al doble del tercero.

    Luego, cuando pasas a la tercera línea, solo queda el cuarto determinante:

    det(2u,w,v) = extraemos el factor numérico del primer vector (recuerda que se extrae fuera del determinante) y queda:

    = 2*det(u,w,v) = permutamos el segundo vector con el tercer vector (recuerda que cambia el signo del determinante) y queda:

    = 2*(-1)*(u,v,w) = reemplazamos el valor del determinante a partir de la información del enunciado y queda:

    = 2*(-1)*(-1) = 2.

    Recuerda que cuando decimos "vector" nos referimos a una fila (o a una columna) del determinante correspondiente.

    Espero haberte ayudado.

    thumb_up0 voto/sflag
  • icon

    graciela soto perez
    el 27/1/17

    alguuien me puede ayudar en esta pregunta :)

    replythumb_up0 voto/sflag
    icon

    Antonius Benedictus
    el 27/1/17


    thumb_up0 voto/sflag
  • icon

    Maria Laura
    el 27/1/17

    Hola como estan? tengo una duda con el ejercicio 4 la parte b y c. Si alguien me pdria ayudar se lo agradeceria montones . Gracias:)

    replythumb_up0 voto/sflag
    icon

    Antonius Benedictus
    el 27/1/17

    La 1 con la 2:


    thumb_up0 voto/sflag
    icon

    Antonius Benedictus
    el 27/1/17

    La 1 con la 3:


    thumb_up1 voto/sflag
    icon

    Antonius Benedictus
    el 27/1/17

    La 2 con la 3:


    thumb_up1 voto/sflag
  • icon

    JUAN AMPIE
    el 26/1/17

    Una ayuda por favor


    replythumb_up0 voto/sflag
    icon

    Antonio Silvio Palmitano
    el 27/1/17

    1) Para evaluar P(3) planteamos:

    (x+1)/(x-1) = 3, hacemos pasaje de divisor como factor y queda:

    x + 1 = 3(x - 1), distribuimos el segundo miembro y queda:

    x + 1 = 3x - 3, hacemos pasajes de términos y queda:

    -2x = - 4, hacemos pasaje de factor como divisor y queda:

    x = 2;

    luego tenemos:

    P(3) = 21999 - 2*21998 + 4 = 21999 - 21999 + 4 = cancelamos términos opuestos = 4.

    2) Para evaluar P(-1) planteamos:

    (x+1)/(x-1) = -1, hacemos pasaje de divisor como factor y queda:

    x + 1 = -1(x - 1), distribuimos el segundo miembro y queda:

    x + 1 = -x + 1, hacemos pasajes de términos y queda:

    2x = 0, hacemos pasaje de factor como divisor y queda:

    x = 0;

    luego tenemos:

    P(-1) = 01999 - 2*01998 + 4 = 0 - 0 + 4 = cancelamos términos opuestos = 4.

    3) Evaluamos la expresión del enunciado:

    ( P(3) )P(-1) = reemplazamos valores = ( 4 )4= 256.

    Por lo tanto, concluimos que la opción C) es la respuesta correcta.

    Espero haberte ayudado.

    thumb_up1 voto/sflag
    icon

    JUAN AMPIE
    el 27/1/17

    Gracias

    thumb_up0 voto/sflag
  • icon

    Guillem De La Calle Vicente
    el 26/1/17



    replythumb_up0 voto/sflag
    icon

    Antonius Benedictus
    el 27/1/17

    ¿Qué definición  te han dado de predicado?

    thumb_up0 voto/sflag
    icon

    Ángel
    el 27/1/17

    El 1,3,6,9 y 10 son predicados matemáticos (fallas al decir que 4 y 7 lo son), aciertas en los demás y al decir que no tienen porque ser ciertos/verdaderos/tautología


    El 4 es un enunciado/ predicado literal, referido a un campo de las matemáticas (es una pregunta "trampa", porque vemos que no hay variables que sustituir por valores)


    El 7 es una expresión matemática (pero no un predicado), en concreto si te refieres a [sen(pi/2)]* (pi/4), es el número pi/4 siempre, no tiene ninguna variable que pueda alterar el resultado: es constante


    thumb_up1 voto/sflag
  • icon

    Abner José Hernández
    el 26/1/17

    necesiyo ayuda, como se hce una division de polinomios si el dividendo es de mayor numero aunq con menor exponente... urgeee

    replythumb_up0 voto/sflag
    icon

    Antonio Silvio Palmitano
    el 26/1/17

    Por favor, envía el enunciado para que podamos ayudarte.

    thumb_up0 voto/sflag
    icon

    Axel Morales Piñón.
    el 27/1/17

    Si nos adjuntas algún ejercicio, nos vendría de maravilla, así podríamos ayudarte :-)

    thumb_up0 voto/sflag
  • icon

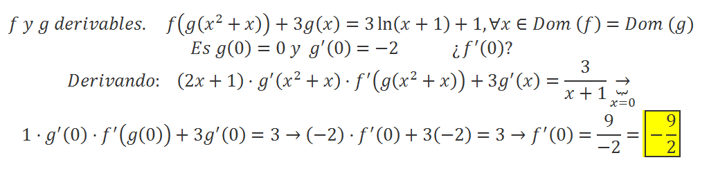
    Jose
    el 26/1/17

    Me dio -9/2 es correcto ? 

    replythumb_up0 voto/sflag
    icon

    Antonius Benedictus
    el 26/1/17

    Correcto:


    thumb_up0 voto/sflag
  • icon

    Eva
    el 26/1/17

    tengo que dibujar esta función f(x) = ΙxΙ /(2-x), mi profesor me ha dicho que es una función por partes pero no se como se hace. Alguien me podría ayudar?

    replythumb_up0 voto/sflag
    icon

    Antonius Benedictus
    el 26/1/17


    thumb_up0 voto/sflag
  • icon

    Leandro Ríos
    el 26/1/17

    Buenas Tardes!! espero que estén bien!, A continuación les colocare un ejercicio que seguramente puede ser sencillo pero que a mi se me ha hecho imposible. espero que me puedan ayudar por favor!, muchas gracias! 

    replythumb_up0 voto/sflag
    icon

    Antonius Benedictus
    el 26/1/17

    Se cumple la identidad:


    thumb_up2 voto/sflag
  • icon

    Jimmy
    el 26/1/17
    flagflag

    Hola Unicoos, ayudenme  con la expresión "I" POR FAVOR


    replythumb_up0 voto/sflag
    icon

    David
    el 27/1/17

    Me encantaría ayudarte, pero no respondo dudas universitarias que no tengan que ver específicamente con los videos que ya he grabado como excepcion. O de otras asignaturas que no sean matemáticas, física y química. Lo siento de corazón… Espero lo entiendas

    Ojalá algun unicoo universitario se anime a ayudarte (de hecho lo ideal es que todos los universitarios intentarais ayudaros los unos a los otros)

    thumb_up0 voto/sflag