
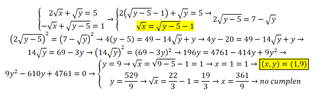
Echales un vistazo... Dominio funcion irracional
Inecuacion de cuarto grado
Incluso a otros más, que de inecuaciones tienes muchos videos...
A partir de ahí, se trata de que DESPUES DE IR A CLASE (ver los vídeos
relacionados con vuestras dudas) enviéis dudas concretas, muy concretas. Y que
nos enviéis también todo aquello que hayais conseguido hacer por vosotros
mismos. Paso a paso, esté bien o mal. No solo el enunciado. De esa manera
podremos saber vuestro nivel, en que podemos ayudaros, cuales son vuestros
fallos.... Y el trabajo duro será el vuestro. Nos cuentas ¿ok? #nosvemosenclase
;-)

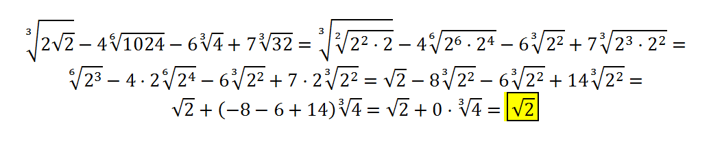
Echales un vistazo... Potencias
A partir de ahí, se trata de que DESPUES DE IR A CLASE (ver los vídeos
relacionados con vuestras dudas) enviéis dudas concretas, muy concretas. Y que
nos enviéis también todo aquello que hayais conseguido hacer por vosotros
mismos. Paso a paso, esté bien o mal. No solo el enunciado. De esa manera
podremos saber vuestro nivel, en que podemos ayudaros, cuales son vuestros
fallos.... Y el trabajo duro será el vuestro. Nos cuentas ¿ok? #nosvemosenclase
;-)

Se trata de que DESPUES DE IR A CLASE (ver los vídeos relacionados con
vuestras dudas) enviéis dudas concretas, muy concretas. Y que nos enviéis
también todo aquello que hayais conseguido hacer por vosotros mismos. Paso a
paso, esté bien o mal. No solo el enunciado. De esa manera podremos saber
vuestro nivel, en que podemos ayudaros, cuales son vuestros fallos.... Y el
trabajo duro será el vuestro. Nos cuentas ¿ok? #nosvemosenclase ;-)

Está perfecto salvo que el numerador en la derivada es una suma...
Te falta hacer el limite cuando x tiende a cero de la derivada para saber si es derivable. Si te da 0, como f'(0), entonces será derivable.
Por si te ayuda...