Foro de preguntas y respuestas de Matemáticas

logo beUnicoos
Los foros de unicoos se han unificado en nuestra nueva plataforma beUnicoos. Para dejar nuevas preguntas deberás hacerlo allí, donde además podrás encontrar nuevas asignaturas y herramientas para ayudarte más con tus estudios.

  • icon

    Claudia
    el 12/3/17

    Hola, una consulta, que condiciones debe cumplir una funcion para que sea diferenciable?, me podrian dar algun ejemplo?, gracias

    replythumb_up0 voto/sflag
    icon

    Antonius Benedictus
    el 12/3/17

    ¿En qué nivel educativo estás?

    ¿La función es de una o varias variabeles?

    Contextualiza la pregunta, pues es demasiado abierta.

    thumb_up0 voto/sflag
  • icon

    Luis Felipe Mera Grandas
    el 12/3/17

    Hola. 

    disculpen la molestia pero necesito de su ayuda en este ejercicio por favor:

    Una variable aleatoria  X puede tomar cuatro valores con probabilidades (1 + 3x)/4, (1 – x)/4, (1 + 2x)/4 y (1 – 4x)/4. ¿Para  qué valores de X es ésta una distribución de probabilidades?

    De antemano muchas gracias

    replythumb_up0 voto/sflag
    icon

    Antonius Benedictus
    el 12/3/17

    Tienes que sumarlas e igualar a 1.

    Y luego, resolver la ecuación de primer grado.

    Sustituyes el valor de x en cada una, y compruebas que todas cumplen que están entre 0 y 1.

    Hazlo y coméntanos.

    thumb_up1 voto/sflag
    icon

    Luis Felipe Mera Grandas
    el 12/3/17

    Gracias

    thumb_up0 voto/sflag
    icon

    Luis Felipe Mera Grandas
    el 12/3/17

    Fue de mucha ayuda apenas lo tenga lo subo para reportar mi resultado

    thumb_up0 voto/sflag
    icon

    Luis Felipe Mera Grandas
    el 12/3/17

    Me dio que el resultado pues ser cualquier numero real


    thumb_up0 voto/sflag
    icon

    Antonius Benedictus
    el 12/3/17

    Te falta la 2ª parte:


    thumb_up0 voto/sflag
  • icon

    Guis CA
    el 12/3/17
    flag

    ¡Hola!

    Mi nombre es Giselle y soy de Costa Rica. 

    ¿Alguno sabe calcular la distancia hiperbólica en el plano de Poincaré?

    Sería de gran ayuda cualquier aporte.

    Gracias...

    replythumb_up0 voto/sflag
  • icon

    Claudia
    el 12/3/17

    ¿Como se haria esta integral?

    replythumb_up0 voto/sflag
    icon

    Axel Morales Piñón.
    el 12/3/17

    Realiza el cociente de polinomios Claudia. 

    thumb_up0 voto/sflag
  • Usuario eliminado
    el 12/3/17

    Me dan esta inecuación x5 + 6x4 + 9x3 > 4x2 + 12x 

    Me piden que resuelva la inecuación y que después dibuje el gráfico exactamente.

    Me dan estos pasos:

    1) encuentra los puntos de corte con la abscisa 

    2) ver que pasa en los intervalos formados

    3) escoger que intervalos cumple la inecuación

    4) hacer el gráfico de está función

    replythumb_up0 voto/sflag
    icon

    Antonius Benedictus
    el 12/3/17


    thumb_up1 voto/sflag
  • icon

    nohelia catalina fuentes cruz
    el 12/3/17

    HOLA pueden decirme si me han quedado bien estos limites ?

    replythumb_up0 voto/sflag
    icon

    Antonius Benedictus
    el 12/3/17

    Están bien.

    thumb_up0 voto/sflag
  • icon

    Milagros Avila
    el 12/3/17

    Hola! Tengo que completar el cuadrado de: -2x+x. Como puedo hacerlo?

    replythumb_up0 voto/sflag
    icon

    Axel Morales Piñón.
    el 12/3/17

    ¿Y el término cuadrático Milagros?

    thumb_up0 voto/sflag
  • icon

    nohelia catalina fuentes cruz
    el 12/3/17

    este es mi primer limite lateral para hallar las asintotas horizontales 


    replythumb_up0 voto/sflag
    icon

    Antonius Benedictus
    el 12/3/17

    Está bien

    thumb_up0 voto/sflag
  • icon

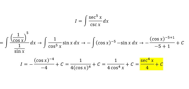
    carla R
    el 12/3/17

    esta integral paso por paso ? (secante/cosectante)

    gracias

    replythumb_up0 voto/sflag
    icon

    Axel Morales Piñón.
    el 12/3/17


    thumb_up1 voto/sflag
    icon

    carla R
    el 12/3/17

    y qué pasó con el sinx dx?

    osea ese resultado seria solo del coseno no?

    thumb_up0 voto/sflag
    icon

    Axel Morales Piñón.
    el 12/3/17

    No, es e resultado es la solución de la integral, por cierto, es directa, me refiero ¿derivada del coseno? -sin(x)dx ¿verdad?

    thumb_up1 voto/sflag
  • icon

    Matemáticas
    el 12/3/17
    flag

    Escribe la negación de las siguientes afirmaciones:

           (g) Si n es un número entero entonces es racional.

           (h) Para cualquier número natural n, si existe un natural k > 1 tal que nk es impar, entonces n es impar.

    replythumb_up0 voto/sflag
    icon

    David
    el 17/4/17

    Me encantaría ayudarte, pero no respondo dudas universitarias que no tengan que ver específicamente con los videos que ya he grabado como excepcion. O de otras asignaturas que no sean matemáticas, física y química. Lo siento de corazón… Espero lo entiendas

    Ojalá algun unicoo universitario se anime a ayudarte (de hecho lo ideal es que todos los universitarios intentarais ayudaros los unos a los otros)

    thumb_up0 voto/sflag