Foro de preguntas y respuestas de Matemáticas

logo beUnicoos
Los foros de unicoos se han unificado en nuestra nueva plataforma beUnicoos. Para dejar nuevas preguntas deberás hacerlo allí, donde además podrás encontrar nuevas asignaturas y herramientas para ayudarte más con tus estudios.

  • icon

    Antonio
    el 2/10/16
    flagflag

    Hola, alguien podría ayudarme con este ejercicio? No sé cómo afrontarlo. Gracias!!

    replythumb_up0 voto/sflag
    icon

    David
    el 3/10/16

    Me encantaría ayudarte, pero no respondo dudas universitarias que no tengan que ver específicamente con los videos que ya he grabado como excepcion. Lo siento de corazón… Espero lo entiendas

    thumb_up0 voto/sflag
  • icon

    Amelia Oña
    el 2/10/16

    La operación es la que está en azul y su enunciado el del mismo color, muchas gracias por querer ayudarme!

    replythumb_up0 voto/sflag
    icon

    David
    el 3/10/16

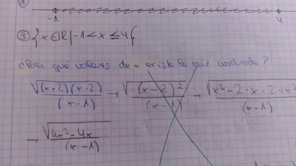
    Debes construir una tabla de signos con x=-2, x=2 y x=1
    Te sugiero este vídeo.. Dominio funcion irracional

    Nos cuentas despues ¿ok?

    thumb_up1 voto/sflag
    icon

    Amelia Oña
    el 3/10/16

    Muchísimas gracias, me ha servido de gran ayuda. Gracias a ese vídeo ya sé hacerlo. Muchísimas gracias!!

    thumb_up0 voto/sflag
  • icon

    Juan Carlos Gómez
    el 2/10/16

    Hola! Gracias por responder :D. Me ha ayudado mucho, solo que no me sale el.paso que te he señalado con el circulito, haber  si me lo puedes aclarar un poco. Un saludo

    replythumb_up0 voto/sflag
    icon

    Antonius Benedictus
    el 2/10/16

    He dividido numerador y denominador entre n.

    thumb_up0 voto/sflag
  • icon

    ErickMT12
    el 2/10/16


    Tengo que calcular la derivada por el método de los cuatro pasos, ya vi videos y me sirvieron mucho, pero estoy atorado en esta:  (¿podrían explicármelo paso a paso?)

    replythumb_up0 voto/sflag
    icon

    Antonius Benedictus
    el 2/10/16
    flag

    ¿Cuál es exactamente tu duda?

    thumb_up0 voto/sflag
    icon

    ErickMT12
    el 2/10/16

    Tardaste un poco, pero gracias, ya pude resolverla ;)

    thumb_up0 voto/sflag
  • icon

    Amelia Oña
    el 2/10/16
    flag

    Hola, soy una alumna de 4 eso. Hace unos días mi profesor de matemáticas nos propuso el siguiente problema:    √(x+2)(x-2)/(x-1)     No sé resolverlo porque hay que hacerlo mediante intervalos y semirrectas y además hay que representarlo de las tres maneras.  Ayudadme a resolver esta duda, muchísimas gracias!

         


    replythumb_up0 voto/sflag
    icon

    Gabriel
    el 2/10/16

    Si la solución hay que darla según intervalos, el enunciado debería ser una inecuación. Si puedes, pásanos una foto para poder saber qué te piden exactamente.

    Gracias.


    thumb_up1 voto/sflag
    icon

    David
    el 3/10/16

    Echale un vistazo... Dominio funcion irracional
    Se trata de resolver la inecuacion (x+2)(x-2)/(x-1)>=0

    thumb_up0 voto/sflag
  • icon

    Guille Martín Sáez
    el 2/10/16

    ¿Para utilizar la Regla de L'Hopital tiene que haber un cociente logarítmico, o simplemente que no sea de polinomios? Muchas gracias!

    replythumb_up0 voto/sflag
    icon

    Antonius Benedictus
    el 2/10/16

    Tiene que haber un cociente de funciones tal que, al hacer el límite se obtenga indeterminación 0/0 o bien ∞/

    Y luego que, al cambiar numerador y denominadorpor la correspondiente derivada, el límite obtenido es el límite inicial buscado.

    En caso de nueva indeterminsción, se puede reiterar.

    thumb_up0 voto/sflag
  • icon

    Juan Carlos Gómez
    el 2/10/16

    Hola! Me podríais ayudar?. Se supone que tiene que dar 0 pero no me sale :(



    replythumb_up0 voto/sflag
    icon

    Antonius Benedictus
    el 2/10/16

    Te va, Juan Carlos:

    thumb_up1 voto/sflag
  • icon

    Gaussiano
    el 2/10/16

    Hoola! Estoy bloqueado con esta matriz, me falta hacer un cero en la tercera fila para poder triangularla y estudiar las soluciones, si me podrían decir cómo continuo. Gracias!

    replythumb_up0 voto/sflag
    icon

    David
    el 3/10/16

    Lo que planteas... (-a-1).F3-F2 es lo correcto.. Debes continuar... Es muy muy muy largo este ejercicio.. ANIMO!!!!

    thumb_up1 voto/sflag
  • icon

    Pablo Reyes
    el 2/10/16

    Hola buenas tardes:

    Sea la función f(x) = (x-senx)/x^3 si x≠ 0                                 a si x= 0

    a) ¿Existe algún valor de a para que f sea derivable en todo su dominio de la definición?

    b) En caso afirmativo, ¿es posible determinar f''(0) para dicho valor de a?


    Mi proceso: Saco el valor de a para que f sea continua haciendo límite que me da a= 1/6

    luego saco la derivada de la primera derivada y aquí que hago?

    Por cierto que importancia tiene lo de la segunda derivada, o sea, cuando se que la puedo hacer y cuando no? tengo que aplicar siempre definición?

    replythumb_up0 voto/sflag
    icon

    Antonius Benedictus
    el 2/10/16

    Te esxplicamos, Pablo:

    thumb_up0 voto/sflag
    icon

    Antonio Silvio Palmitano
    el 2/10/16

    Has calculado correctamente el valor de a para que la función sea continua en x = 0.

    Luego, para plantear la derivada, debes emplear la definición.

    El numerador del cociente incremental queda:

    f(0+h) - f(0) = f(h) - 1/6 = (h - senh)/h^3 - 1/6 = ( 6(h - senh) - h^3 )/(6h^3).

    Y al dividir por h, el límite del cociente incremental queda:

    Lím(h-->0) ( 6h - 6senh - h^3 )/(6h^4) = (indeterminado) aplicamos regla de L'Hôpital:

    = Lím(h-->0) ( 6 - 6cosh - 3h^2)/(24h^3) = otra vez LH:

    = Lím(h-->0) (6senh - 6h)/(72h^2) = otra vez LH:

    = Lím(h-->0) (6cosh - 6)/(144h) = otra vez LH:

    = Lím(h->0) (- 6senh)/144 = 0/144 = 0.

    Por lo tanto tenemos: f ' (0) = 0.

    Espero haberte ayudado.

    thumb_up0 voto/sflag
  • icon

    Ignacio Pignanelli
    el 2/10/16

    Hola!  Sobre probabilidades:

     Un investigador estudia los efectos de la temperatura, la presión y el tipo de catalizador en la producción de cierta reacción química. Están en consideración tres diferentes temperaturas, cuatro presiones distintas y cinco catalizadores diferentes se están considerando. Suponga que se tienen que realizar cinco experimentos diferentes el primer día de

    Experimentación. Si los cinco se eligen al azar de entre todas las posibilidades, de modo

    que cualquier grupo de cinco tenga la misma probabilidad de selección, ¿Cuál es la

    Probabilidad de que se utilice un catalizador diferente en cada experimento?


    En primera medida calculé la cantidad de experimentos posibles por conteo, es decir: 3x4x5=60 experimentos posibles. Luego por combinación C60,5 tengo 5461512 selecciones posibles de 5 experimentos al azar y de ahí ya no sé que más hacer. Desde ya graciass!!

    replythumb_up0 voto/sflag
    icon

    Pablo Reyes
    el 2/10/16

    Si lo preguntas en el foro de química mejor

    thumb_up0 voto/sflag
    icon

    Ignacio Pignanelli
    el 2/10/16

    Pablo, entra en el área de matemáticas! No es química.

    thumb_up0 voto/sflag