Hola buenas tardes, tengo un problema de ecuaciones diferenciales que me tiene confundido, haber si alguien podria ayudarme, el ejercicio es el siguiente: dy/sen(x+y+1)=dx con una condición inicial y(0)=π-1, necesito hallar la constante de integración.
Agradezco la ayuda
Hola buenos dias, tengo dudas en un ejercicio de integrales impropias q no eh visto en YouTube, se trata del tipo en q la integral no esta definida en ambos límites siendo estos [-2 por derecha] y [2] por izquierda lo q hice fue dividirla en el lim b q tiende a 2 por izquierda + lim b tiende a -2 por derecha y luego aplique la regla de Barrow, lo pero no estoy seguro q esta bien echo.![]()
Hola buenas, al que pueda ayudarme con alguno de estos ejercicios, el a) b) para ser sincero no entiendo ni como empezar a plantearlos, no entiendo como sacar la derivada parcial de la funcion tampoco ya que me queda una funcion que es un despelote y me esta poniendo muy mal, por favor espero una respuesta, desde ya muchas gracias!!![]()
Hola puender ayudarme con un problema.Quisiera subir un ejercicio por imagen y no sé subir una imagen aqui

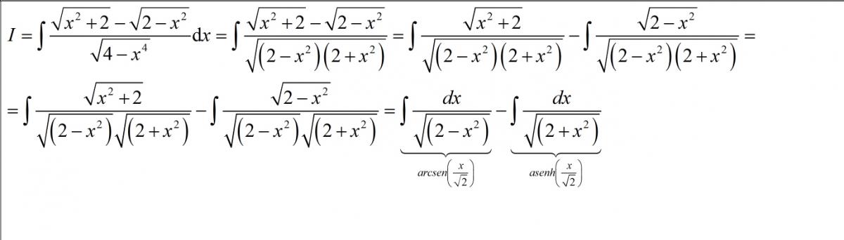
Va orientación para la integral: observa que el argumento de la raíz denominadora es factorizable:
V(4 - x^4) = V( (2 + x^2)(2 - x^2) ) = distribuimos la raíz = V(2 + x^2)*V(2 - x^2).
Luego, la expresión de la función a integrar queda:
( V(2 + x^2) - V(2 - x^2) ) / ( V(2 + x^2)*V(2 - x^2) ) = distribuimos el denominador, simplificamos en cada término y queda:
= 1/V(2 - x^2) - 1/V(2 + x^2).
Luego, puedes aplicar sustituciones (cambios de variables).
Para el primer término: x = V(2)*sent.
Para el segundo término: x = V(2)*senhu.
Espero haberte ayudado.
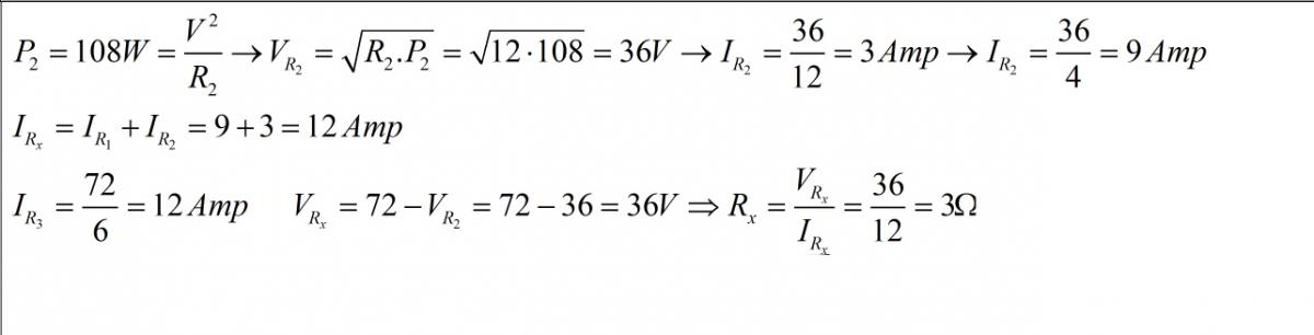
Para el ejercicio de circuitos, por favor traslada tu consulta al Foro de Física para que los colegas puedan ayudarte.
Y para el resto, por favor mira los vídeos.