Buenas, no tengo ni idea de como hacer el siguiente ejercicio, a ver si pueden ayudarme por favor:
-Halla la ecuación de la recta tangente y la recta normal a la función f(x) en el punto de abcisa x=1.

Con la información que has escrito, falta la expresión de la función.
Para plantear la ecuación de una recta necesitas uno de sus puntos (del que conoces solamente su abscisa x = 1, y te falta la ordenada y), y su pendiente.
La ordenada del punto de contacto se calcula evaluando la función, o sea: y = f(1), y el punto tiene coordenadas: (1 , f(1)).
La pendiente de la recta tangente se calcula evaluando la derivada de la función, o sea: mt = f ' (1)
Luego, puedes plantear la ecuación cartesiana de la recta tangente: y - f(1) = f ' (1) * (x - 1).
La recta normal es perpendicular a la recta tangente en el punto de contacto, por lo que su pendiente (recuerda la condición de perpendicularidad entre rectas) es: mn = -1/mt = -1/ f ' (1).
Luego, puedes plantear la ecuación cartesiana de la recta normal: y - f(1) = (-1/f ´(1)) * (x - 1).
Si conoces la expresión de la función f, puedes completar las ecuaciones.
Espero haberte ayudado.
Hola, estoy intentando plantear este problema pero no estoy seguro cómo tengo que crear el siguiente sistema de ecuaciones, si sustituyendo x,y,z o alfa, beta, gamma
Gracias de antemano!
HOLA GENTE, ALGUIEN ME PUEDE AYUDAR A RESOLVER ESTE SISTEMA POR EL METODO DE IGUALACION ????
b^2 + c^2 = 81
cb/2 = 10
GRACIAS DE ANTEMANO :)
Hola unicoos!!!. No me sale el resultado y necesitaria despejar esta X. Lo he intentado varias veces y nada, por favor alguien que me ayude.
La solucion de la X aproximadamente es 0,188.
Un saludo y gracias!

Observa que tienes una expresión fraccionaria:
el numerador es N = (x/2)*(x/2) = x^2 / 4;
el denominador es D = (0,4 - x) / 2;
luego, resolvemos el cociente:
N / D = ( x^2 / 4 ) / ((0,4 - x) / 2) = ( 2 * x^2 ) / ( 4 * (0,4 - x) = ( 2 * x^2 ) / (1,6 - 4x)
luego planteamos la ecuación:
N / D = 0,083
reemplazamos y queda:
( 2 * x^2 ) / (1,6 - 4x) = 0,083
hacemos pasaje de divisor como factor y queda:
2 * x^2 = 0,083*(1,6 - 4x)
distribuimos a la derecha y queda:
2 * x^2 = 0,1328 - 0,332x
hacemos pasajes de términos y queda:
2 * x^2 + 0,332x - 0,1328 = 0
dividimos en todos los términos por 2 y queda:
x^2 + 0,166x - 0,0664 = 0
observa que se trata de una ecuación polinómica cuadrática, aplicas la fórmula resolvente y llegas a sus dos soluciones:
x1 = 0,1877 (aproximadamente)
x2 = -0,3537 (aproximadamente)
Espero haberte ayudado.

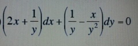
Observa que tratas con una ecuación diferencial exacta, de la forma df = 0, cuya integral nos lleva a f(x,y) = C, donde fx = 2x + 1/y, fy = 1/y - x / y^2:
fx = 2x + 1/y, integramos con respecto a x y queda:
f = x^2 + x/y + A(y) (***)
luego derivamos con respecto a y y queda: fy = -x/y^2 + A'
luego comparamos:
-x/y^2 + A' = 1/y - x / y^2, cancelamos términos y queda:
A' = 1/y, luego integramos con respecto a y, y queda:
A(y) = ln|y| + K
por último, remplazamos en la expresión señalada (***) y obtenemos la solución general implícita (observa que agrupamos todas las constantes en una sola a la derecha):
f(x,y) = C, luego queda finalmente:
x^2 + x/y + ln|y| = C.
Espero haberte ayudado.
Hola, tengo una duda sobre álgebra numérica, en el problema que adjunto en la imagen cómo podría comezar? no tengo lo que vale b y eso me impide poder empezarlo.
Muchas gracias!