
Recomiendo veas el vídeo de ecuaciones diferenciales, allí tienes muchas pistas para resolver. y observa que has cometido error en tu planteo.
Para este tipo de ecuaciones, buscamos el punto de intersección entre las funciones numeradora y denominadora, con el sistema de ecuaciones lineales:
x + y - 2 = 0
x - y = 0
observa que las gráficas corresponden a dos rectas secantes, resuelves el sistema y la solución es: x = 1, y = 1.
Luego, plantamos la sustitución:
u = x - 1, de donde tenemos: u + 1 = x
v = y - 1, de donde tenemos: v + 1 = y, y derivando tenemos: v ' = y '.
luego reemplazamos en la ecuación y queda:
v ´ = (u + 1 + v + 1 - 2)/(u + 1 - (v +1))
observa que operando en el numerador y en el denominador, por separado, se cancelan los términos constantes y queda:
v ' = (u + v)/(u - v)
Luego, observa que ha quedado una ecuación diferencial de primer orden con variables separables (en la que v es una función de u), por lo que planteamos:
v = up, derivamos y queda: v ' = p + up '
luego reemplazamos en la ecuación y tenemos:
p + up ' = (u + up)/(u - up)
observa que en el numerador y en el denominador podemos extraer factor común u, luego simplificar, y queda:
p + up ' = (1 + p)/(1 - p)
luego (vuelvo a recomendar que veas el vídeo) hacemos pasaje de término y queda:
up ' = (1 + p)/(1 - p) - p
luego tomamos denominador común a la izquierda, operamos y queda:
up ' = (1 + p^2)/(1 - p)
luego, recordemos que p ' = dp/du, hacemos separación de variables y queda:
(1 - p) dp / (1 + p^2) = du/u
distribuimos el denominador a la izquierda y queda:
(1/(1 + p^2) - p/(1 + p^2)dp = du/u
luego te queda integrar término a término, y llegarás a una ecuación implícita con p como función de u, y es cuestión de desandar las sustituciones que hemos planteado, para que obtengas la solución general implícita, con y como función de x.
Espero haberte ayudado.
Antonio, he visto casi todos los videos de ecuaciones diferenciales y no encontré uno con sistema de ecuaciones para resolver.
estas seguro que no puede plantearse como lo hice? pues lo saque del libro.
muchas gracias por tu ayuda.
lo que no entiendo es porque me ponen una bandera roja si hay videos sobre esto. no se si poner mas dudas que tengo. .. ¿no es contenido en unicoos?
me da arctan(y−1⁄x−1)=ln[C×(x²+y²−2×(x+y)+2)^1⁄2]
¿Esta bien?
me pueden decir por favor, si lo tienen fácil, en cual video de ecuaciones diferenciales está este caso?
hola,
quiero aprender a clasificar ecuaciones diferenciales, quisiera saber si usais algun truco para distinguirlas: Homogénea.. Variables separadas o separables.. Exacta.. Lineal en x, x′. Yluego por ejemplo para clasificar:
y×dx=(2×y+x)×dy
no se si esta bien, pero haria: (2×y+x)/y = dx/dy .Entonces diria que es una ecuacion Lineal en x, x′..
¿Es correcto? muchas gracias

Para ver si estamos tratando con una ecuación con variables separables, planteamos: y = xu, de donde tenemos: y ' = u + xu '
luego, sustituimos en la ecuación diferencial tal como la has reescrito (observa que dx/dy = 1/y ') y queda:
(2xu + x)/(xu) = 1/(u + xu ')
observa que a la izquierda se puede extraer factor común x en el numerador y en el denominador, para luego simplificar y queda:
(2u + 1)/u = 1/(u + xu ')
luego hacemos pasajes de factores y queda:
(2u + 1)(u + xu ') = u
luego distribuimos y queda:
2u^2 + 2xuu ' + u + xu ' = u
luego hacemos pasajes de términos, cancelamos términos y queda:
2xuu ' + xu ' = -2u^2
luego extraemos factor común a la izquierda (recuerda que u ' = du/dx) y queda:
x(2u + 1)du/dx = -2u^2
luego hacemos pasajes de factores comos divisores buscando separar variables y queda:
((2u + 1)/(u^2))du = -2dx/x
finalmente, solo queda integrar para luego sustituir luego u (recuerda: y = xu, luego: y/x = u).
Espero haberte ayudado.
Hola a todos, se me ha complicado bastante este ejercicio, si alguien me pudiera colaborar en serio que se lo agradezco
Muchas gracias. Lo publiqué en el foro de física, pero lo hago también acá por si alguno me puede colaborar.
Gracias
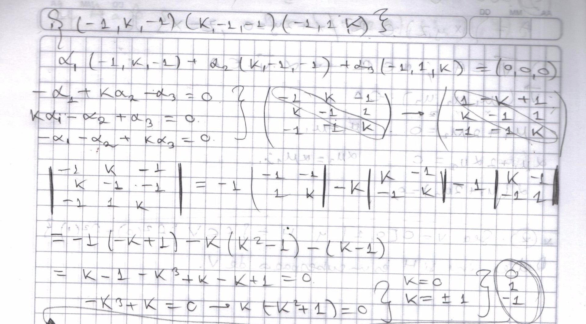
Alguien puede ayudarme con esto..lo he puesto en matemáticas porque no hay un foro de álgebra..
la pregunta dice: que valores de k permiten que el conjunto {(-1,k,-1) (k,-1,-1) (-1,1,k)} sea linealmente independiente.
Lo he resuelto así.. pueden guiarme si es correcto...
Para que un sistema sea linealmente independiente, una forma de hacerlo es encontrar el valor del determinante y hacer que sea distinto de cero.
-1 k -1
k -1 -1
-1 +1 k
El determinante da = k-k^3 = k(1-x^2)= k *(1+k)*(1-k)
así los valores distintos a k=0 k=-1 y k=1 harán el sistema linealmente independiente
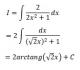
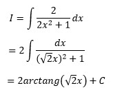
integral del tipo arcotangente.
Tengo una duda con una integral inmediata de este tipo.
Si la formula es asi: ∫u'/(u^2 +1)
Entonces si yo tengo esta integral: ∫2/(2x^2 +1)
El resultado no seria: arctg (2x) ?

Observa primero que el punto Q pertenece a la curva, ya que sus coordenadas verifican la ecuación implícita.
Luego, observa también que V(xy) = (xy)^(1/2) = x^(1/2) * y^(1/2), por lo que la ecuación queda:
x^2 - 3x^(1/2) * y^(1/2) + y^2 = -1
luego derivamos implícitamente, recordando que y es función de x, y que x es la variable independiente, y queda:
2x - (3/2)x^(-3/2) y^(1/2) - (3/2)x^(1/2) y^(-3/2) y ' + 2yy ' = 0
Luego, como tenemos es punto Q que pertenece a la curva, el valor de la derivada para él saldrá al evaluar la última ecuación que hemos obtenido, reemplazamos sus coordenadas, resolvemos y queda:
2 - 3/2 - (3/2)y ' + 2y ' = 0
luego reducimos términos semejantes y queda:
1/2 + (1/2)y ' = 0
por último despejamos y llegamos al valor de la derivada para el punto Q, que nos queda:
y ' = -1.
Observa que ya tienes todo lo necesario para plantear la ecuación de la recta tangente a la curva en el punto Q:
Q(1,1) pertenece a la curva
m = -1 (recuerda que la pendiente de la recta tangente es el valor de la derivada evaluada en el punto de contacto)
por lo tanto, planteamos la ecuación cartesiana de la recta:
y - 1 = -1(x - 1)
por último distribuimos a la derecha, hacemos pasaje de término y reducimos términos semejantes, y llegamos a la ecuación cartesiana explícita:
y = -x + 2
que es la ecuación buscada.
Puedes verificar todo por medio de un graficador.
Espero haberte ayudado.
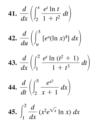
porfa chicos ayudemen con estas integrales definidas, no seee como resolver estas, me quede estancada, ayudemen con unas cuantas para continuar con mi tarea porfa

41)
Por el Teorema Fundamental del Cálculo Integral (TFCI), tenemos que la expresión es igual a: e^x * lnx / (1 + x^2).
42)
Invertimos el orden de los límites de integración (recuerda que esto consiste en un cambio de signo del resultado), y aplicamos el TFCI, y la expresión es igual a: -e^u * (lnu)^4
43) 44) y 45)
En estos casos se trata de derivar integrales definidas con límites numéricos (cuyos resultados son números), por lo tanto ton todas iguales a cero.
TFCI:
Si F(x) = Integral(entre a y x) (f(w)dw) entonces F ' (x) = f(x), donde f es una función integrable.
Observa que en todos estos casos piden derivar una función F que es la integral de otra función f.
La aplicación del TFCI nos conduce a una función cuando uno o ambos límites de integración son funciones, y nos conduce a cero cuando ambos límites de integración son constantes.
Espero haberte ayudado.