Hola unicoos, mi duda consiste en aprender a como hallar de forma puramente analítica sin realizar ninguna gráfica los intervalos de positividad y negatividad de la siguiente función:
g(x)=20 . x^3 -- 686 . x^2 + 4.500 . x + 3.500
Hasta ahora tengo hallado lo siguiente:
Ceros: {-7/10; 10; 25) , la función escrita en función de sus ceros: g(x)= 20. (x+7/10) . (x-10) . (x-25) y la funcion reducida mediante Ruffini g(x)=20 . x^2 -- 700 . x + 5.000
sea xn una serie de números reales convergente y {an} una sucesión de números reales convergente, entonces la serie an*xn es convergente??

¡Hola! Nos encantaría ayudarte, pero no solemos responder dudas universitarias que no tengan que ver específicamente con los vídeos que David ha grabado como excepción. O de otras asignaturas que no sean Matemáticas, Física y Química. Lo sentimos de corazón… Esperamos que lo entiendas.
Ojalá algún unicoo universitario se anime a ayudarte (de hecho, lo ideal es que todos los universitarios intentarais ayudaros los unos a los otros).
Hola, buenas tardes, tengo una duda con un ejercicio de probabilidad, que por más que lo intento no consigo razonarlo ni nada (he de decir que NO es muy difícil, pero no sé no llego a entenderlo), me cayó en el examen final de Mayo, y a día de hoy sigo sin entenderlo. Si alguien pudiese ayudarme o resolverlo a poder ser, lo agradecería muchísimo de verdad, gracias de antemano.![]()

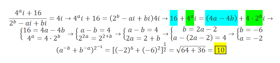
Tienes las expresiones de los números complejos:
z = (2+n) + (m-6)i, cuyo opuesto es:
-z = - (2+n) - (m-6)i, y el conjugado de su opuesto es:
(-z)c = - (2+n) + (m-6)i, y el opuesto del conjugado del opuesto es:
-(-z)c = (2+n) - (m-6)i;
w = (m+9) - (5+n)i, cuyo conjugado es:
wc = (m+9) + (5+n)i.
Luego plantea:
-(-z)c = wc, sustituyes expresiones y queda:
(2+n) - (m-6)i = (m+9) + (5+n)i, igualas partes reales y partes imaginarias y queda el sistema
2 + n = m + 9
- (m - 6) = 5 + n,
distribuyes agrupamientos, haces pasajes de términos y queda:
- m + n = 7
- m - n = - 1,
resuelves el sistema (te dejo la tarea, y tienes su solución:
m = - 3, n = 4.
Luego tienes el número complejo:
u = m + ni, reemplazas valores y queda
u = - 3 + 4i, cuyo opuesto es:
-u = 3 - 4i, y el conjugado de su opuesto es:
(-u)c = 3 + 4i.
Espero haberte ayudado.
El ejercicio 14 de la siguiente página web está bien resuelto? Gracias de antemano.
http://calculo.cc/temas/temas_geometria_analitica/vectores_espacio/problemas/vectores_espacio.html

Tienes el subconjunto incluido en R3: G = { <1,0,1> , <2,-1,2> , <0,3,1> }.
Luego, investiga la dependencia o independencia lineal de los tres vectores por medio de la "combinación lineal nula"
a<1,0,1> + b<2,-1,2> + c<0,3,1> = <0,0,0>,
resuelves el primer miembro (te dejo la tarea), igualas componente a componente y queda el sistema:
a + 2b = 0, de aquí despejas a = - 2b (1)
-b + 3c = 0
a + 2b + c = 0,
sustituyes la expresión señalada (1) en las dos últimas ecuaciones, reduces términos semejantes y queda:
-b + 3c = 0
c = 0,
reemplazas el valor remarcado en la primera eucación y queda:
-b = 0, de donde despejas: b = 0,
luego reemplazas en la ecuación señalada (1) y queda:
a = - 2(0) = 0,
por lo que tienes que los tres vectores del conjunto son linealmente independientes,
y, como la dimensión del espacio vectorial R3 es igual a 3,
puedes concluir que el conjunto G es una base de R3.
Espero haberte ayudado.
Hola! Tengo una duda sobre el método de descartes para hallar las soluciones de un polinomio de cuarto grado. Luego de haber hecho todo el proceso, llego a la equación de sexto grado que al aplicar un cambio de variable; se transforma en una de tercer grado que resuelvo por Cardano. Mi discriminante es positivo, con lo cual tendré una solución real que me interesa. Pero que ocurre si esta es negativa? Porque esta solución es la del cambio de variable así que habría de aplicar raíz pero no me interesa obtener un número complejo. Debería obtener uno de positivo para poder acabar el método. He hecho algo mal entonces si me da negativo? Qué he de hacer?
Gracias!

¡Hola! Nos encantaría ayudarte, pero no solemos responder dudas universitarias que no tengan que ver específicamente con los vídeos que David ha grabado como excepción. O de otras asignaturas que no sean Matemáticas, Física y Química. Lo sentimos de corazón… Esperamos que lo entiendas.
Ojalá algún unicoo universitario se anime a ayudarte (de hecho, lo ideal es que todos los universitarios intentarais ayudaros los unos a los otros).