Encontrad qué condiciones tienen que cumplir los parámetros a,b,c∈ℛ a fin de que los sistemas sean compatibles y, en este caso, encontrad la solución general.
Considera los siguientes conjuntos:
A={z∈ℕ: z²≤20∧∃x∈ℤ(z=2x)}
B={z∈ℤ: |z|<6∧∃x∈ℤ(|z|=x²)}
C={0,{0,4},{-1,1},4}
Di razonadamente si son ciertas o falsas las siguientes afirmaciones:
{2,4}= A
{-4,-1,0,1,4}= B
{0,{0,4},{-1,1},4}= C
---------------------------------------
A∩B subconjunto propio de C
A∩B = {4}
¿ {4} subconj.propio de {0,{0,4},{-1,1},4} ? Sí---> Verdadero, porque no es igual al subconjunto en cuestion pero {4} es un subconjunto de C
(A∩B)⊆C
A∩B = {4}
¿ {4} ⊆ {0,{0,4},{-1,1},4} ? Sí---> Verdadero
(A∩B)∈C
A∩B = {4}
¿ {4} ∈ {0,{0,4},{-1,1},4} ? No---> Falso, pues 4≠{4}
------------------------------------------
*¿Decidiste ya si vas a matricularte en matemáticas? :P
Anda que bien!!
Yo me voy a matricular de 8 asignaturas de las 10 del primer curso de matemáticas (excepto física y geometría)
Lo haré a distancia por la UNED (supongo que no diferirá mucho del presencial en cuanto a contenido), y tiene esta distribución: http://portal.uned.es/portal/page?_pageid=93,53691653&_dad=portal&_schema=PORTAL&idGrado=6102
*en 3 (álgebra lineal I, álgebra lineal II y funciones de varias variables de momento no puedo aportarte nada)
**de las 5 restantes puedes buscarte ejercicios cuando quieras y podemos irlos intentando (tengo buenos pdf por si necesitas información de algún tema)
***Veo que estás dándole duro al álgebra lineal...si tienes algún enlace de un buen solucionario de álgebra lineal preuniversitaria (que no suponga muchas cosas por sabidas y que no escatime con las explicaciones) te lo agradecería porque estoy pez ya que en ing.informática se toca de refilón :(
No hay ningún problema a priori de que compagines ambas carreras (se permite), aunque no va a ser mi caso (descanso un año de informática y trabajaré) y por lo tanto no puedo especificarte los "papeleos"
Aquí tienes el planning de física http://portal.uned.es/portal/page?_pageid=93,53691653&_dad=portal&_schema=PORTAL&idGrado=6104
Cosas que tienes que tener en cuenta para lo que planteas y que yo que tú haría:
Este año
1.En el presencial de matemáticas te tienes que matricular como sabes de las 10 asignaturas (ahí te lo dan todo hecho)
2.En la UNED en física me matricularía de 6 o 7 del primer curso (las que no tienen que ver con el primer curso de matemáticas, obviamente...aunque cuidado con eso: ¡¡ infórmate de las convalidaciones de una carrera y otra !! )
El siguiente
3.Haría traslado de expediente la universidad presencial a UNED e iría combinando (ten en cuenta que las matriculas presenciales son más caras que las de UNED y juega con eso de manera hábil)

Tienes el sistema de dos ecuaciones vectoriales:
3x + 2y = p
2x + y = m, aquí haces pasaje de término y queda (presta atención a los signos):
y = - 2x + m (1),
luego sustituyes en la primera ecuación y queda:
3x + 2(-2x + m) = p, distribuyes el segundo término y queda:
3x - 4x + 2m = p, reduces términos semejantes y queda:
- x + 2m = p, haces pasaje de término y queda:
- x = - 2m + p, multiplicas en todos los términos por - 1 y queda:
x = 2m - p,
luego sustituyes en la ecuación señalada (1) y queda:
y = - 2(2m - p) + m, distribuyes en el primer término del segundo miembro y queda:
y = - 4m + 2p + m, reduces términos semejantes y queda:
y = - 3m + 2p.
Luego, solo queda que expreses a los vectores m y p en función de sus componentes y hagas los cálculos.
Espero haberte ayudado.
Hola, hay vídeos sobre las ecuaciones de tercer Grado? No los encuentro..
Ecuaciones de tercer grado en si, no hay. Lo más similar es la factorizacion de polinomios:
https://www.youtube.com/watch?v=Kn15S7w4IA8
Formula de Cardano:
https://www.youtube.com/watch?v=v7G1oELtuJo
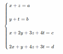
Consideremos el sistema de ecuaciones lineales
Determinad qué condiciones tienen que cumplir los parámetros a, b, c, d a
fin de que el sistema sea compatible indeterminado con más de dos grados de
libertad.

Puedes aplicar el método de sustitución, para ello despejas en las dos primeras ecuaciones:
x = a - z (1)
y = b - t (2),
luego sustituyes en las dos últimas ecuaciones, y queda:
a - z + 2(b - t) + 3z + 4t = c
2(a - z) + b - t + 4z + 3t = d,
distribuyes agrupamientos, reduces términos semejantes, haces pasajes de términos y queda:
2z + 2t = - a - 2b + c
2z + 2t = - 2a - b + d,
luego, como los coeficientes de las incógnitas coinciden, debes tener que las expresiones de los segundos miembros deben ser iguales para que el sistema sea compatible, por lo que plantea:
- a - 2b + c = - 2a - b + d, haces pasajes de términos y queda:
a - b + c - d = 0, de donde puedes despejar: a - b + c = d,
y observa que con esta condición, las dos ecuaciones coinciden y quedan:
2z + 2t = - a - 2b + c (3).
Luego, con las ecuaciones señaladas (1) (2) (3) tienes el sistema equivalente:
x = a - z (1)
y = b - t (2)
2z + 2t = - a - 2b + c (3),
por lo que tienes que con la condición remarcada:
divides por 2 en todos los términos de ecuación señalada (3) y queda:
z + t = - a/2 - b + c/2, haces pasaje de término y queda:
t = - z - a/2 - b + c/2 (3*), luego sustituyes en las ecuaciones señaladas (1) (2) y queda el sistema:
x = a - z
y = b - (- z - a/2 - b + c/2),
distribuyes el agrupamiento y reduces términos semejantes en la segunda ecuación y queda:
x = a - z
y = a/2 + 2b - c/2 + z,
luego, con estas dos ecuaciones y la ecuación señalada (3*) en la que ordenamos términos, tienes:
x = a - z
y = a/2 + 2b - c/2 + z
z ∈ R
t = - a/2 - b + c/2 - z;
por lo que tienes que el sistema tiene un grado de libertad.
También puedes estudiar el rango de la matriz del sistema, cuyos elementos son:
1 0 1 0
0 1 0 1
1 2 3 4
2 1 4 3,
aplicas el Método de Gauss y verás que el rango es 3 y,
como el sistema de ecuaciones tiene 4 incógnitas, tienes que el sistema puedes ser incompatible o compatible indeterminado, ésto último con la condición remarcada: a - b + c = d, con la que hemos probado que el sistema es compatible determinado con un grado de libertad.
Espero haberte ayudado.

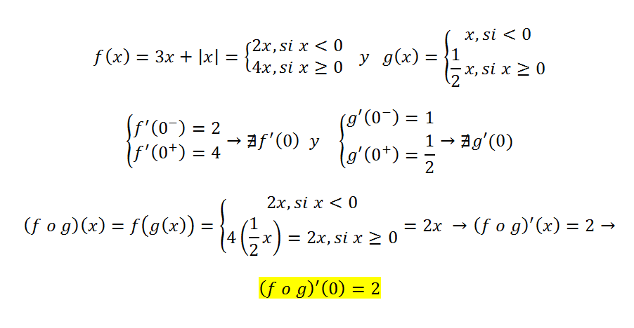
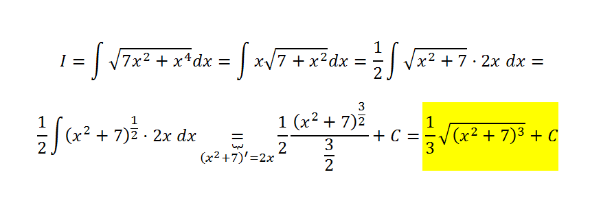
Seguimos la sugerencia de Guillem: extraes factor común x2 y el argumento de la raíz cuadrada queda:
f(x) = √(x2*(7 + x2) = distribuyes la raíz y simplificas = x*√(7 + x2) = √(7 + x2)*x.
Luego, la integral queda:
I = ∫ √(7 + x2)*x*dx,
luego aplicas la sustitución (cambio de variable:
w = 7 + x2, de donde tienes: dw = 2*x*dx, de donde puedes despejar: (1/2)*dw = x*dx,
luego sustituyes, extraes el factor constante y la integral queda:
I = (1/2)*∫ √(w)*dw = (1/2)*∫ w1/2*dw = integras = (1/2)*(2/3)*w3/2 + C = (1/3)*w3/2 + C;
luego vuelves a sustituir y finalmente queda:
I = (1/3)*(7 + x2)3/2 + C.
Espero haberte ayudado.