
¡Hola! Nos encantaría ayudarte, pero no solemos responder dudas universitarias que no tengan que ver específicamente con los vídeos que David ha grabado como excepción. O de otras asignaturas que no sean Matemáticas, Física y Química. Lo sentimos de corazón… Esperamos que lo entiendas.
Ojalá algún unicoo universitario se anime a ayudarte (de hecho, lo ideal es que todos los universitarios intentarais ayudaros los unos a los otros).
me podrian ayudar con este ejercicio ?graciaass
cual es el la tensión normal de que experimentara un tubo rectangular de dimensiones exteriores 12mm x 6mm con 1 mm de grueso y una largaria de 2m , cuando le aplicamos una fuerza de 7612? Cual será la massa y peso del tubo?
Basicamente no entiendo como calcular la area cuando hay grueso en ella .
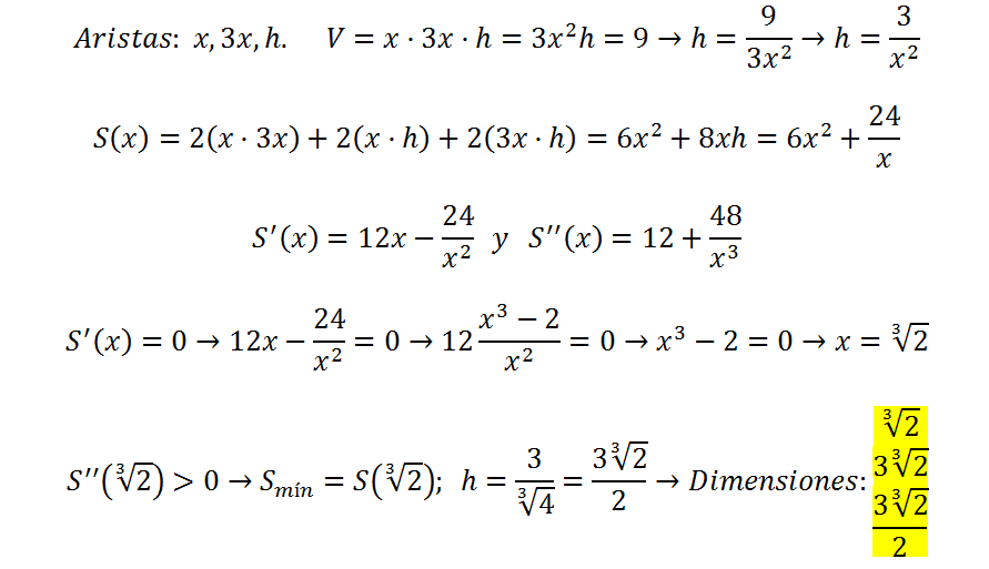
Considérese un paralelepípedo rectangular de volumen igual a 9 y tal que un lado sea el triple que el otro.
--Determinar las longitudes de sus lados para que el área total (la sula de las áreas de sus seis caras) sea mínima.

¡Hola! Nos encantaría ayudarte, pero no solemos responder dudas universitarias que no tengan que ver específicamente con los vídeos que David ha grabado como excepción. O de otras asignaturas que no sean Matemáticas, Física y Química. Lo sentimos de corazón… Esperamos que lo entiendas.
Ojalá algún unicoo universitario se anime a ayudarte (de hecho, lo ideal es que todos los universitarios intentarais ayudaros los unos a los otros).
Espero que puedan ayudarme en el siguiente ejercio:
-Halla los lados de un rectángulo, sabiendo que la base es 5 unidades mayor que el doble de la altura y que su área es de 33cm cuadrados.

Si la ecuación implícita es:
sen(xy) + cos(xy) = tan(x+y).
Derivas con respecto a x en cada término (observa que debes aplicar la regla de la cadena) y queda:
cos(xy)*( 1y +xy ' ) - sen(xy)*( 1y + xy ' ) = sec2(x+y)*( 1 + y ' )
Distribuyes en todos los términos y queda:
y*cos(xy) + x*cos(xy)*y ' - y*sen(xy) - x*sen(xy)*y ' = sec2(x+y) + sec2(x+y)*y '
Haces pasajes de términos y queda:
x*cos(xy)*y ' - x*sen(xy)*y ' - sec2(x+y)*y ' = sec2(x+y) - y*cos(xy) + y*sen(xy)
Extraes factor común en el primer miembro y queda:
( x*cos(xy) - x*sen(xy) - sec2(x+y) )*y ' = sec2(x+y) - y*cos(xy) + y*sen(xy)
Haces pasaje de factor como divisor y queda:
y ' = ( sec2(x+y) - y*cos(xy) + y*sen(xy) ) / ( x*cos(xy) - x*sen(xy) - sec2(x+y) ),
observa que el denominador debe ser distinto de cero, y que no debe indeterminarse el valor de la secante de x+y.
Espero haberte ayudado.