Buenas, algún unicoo universitario me podría orientar en el gráfico de esta función?
z = (1/2). √(x^2 + y^2)
No quisiera gráfico con graficadora, sino como graficarlo a mano, eso es lo que no consigo, desde ya muchas gracias

Observa que el segundo factor de la expresión es positivo, por lo que tienes que z toma valores positivos.
Luego, multiplica por 2 en ambos miembros de la ecuación y queda:
2z = √(x2 + y2), luego, haces pasaje de raíz como potencia y queda:
4z2 = x2 + y2, divides por 4 en todos los términos de la ecuación y queda:
z2 = x2/4 + y2/4,
que es la ecuación de un cono circular recto con vértice en el origen y eje de simetría OZ,
por lo que la ecuación del enunciado corresponde a su mitad superior,
que es un semicono con vértice en el origen y eje de simetría OZ positivo.
Espero haberte ayudado.

Observa que el denominador de la expresión debe ser distinto de cero, como bien has señalado, por lo que el dominio de a función queda: D = R2 - { (x,y) ∈ R2 / x = - y2 }.
Luego, plantea la ecuación general para las curvas de nivel de la función:
f(x,y) = k, con k ∈ R,
luego sustituyes la expresión de la función y queda:
(x2 + y)/(x + y2) = k.
a)
Para la curva de nivel que pasa por el punto A(1,-1), reemplazas sus coordenadas y queda:
(1 - 1)/(1 + 1) = k, resuelves el primer miembro y queda: 0 = k,
luego reemplazas en la ecuación remarcada y queda:
(x2 + y)/(x + y2) = 0, haces pasaje de divisor como factor y queda:
x2 + y = 0, haces pasaje de término y queda:
y = - x2,
que es una parábola con eje OY negativo, en la que debes excluir al origen porque no pertenece al dominio de a función.
b)
Para la curva de nivel que pasa por el punto B(1,0), reemplazas sus coordenadas y queda:
(1 + 0)/(1 + 0) = k, resuelves el primer miembro y queda: 1 = k,
luego reemplazas en la ecuación remarcada y queda:
(x2 + y)/(x + y2) = 1, haces pasaje de divisor como factor y queda:
x2 + y = x + y2, haces pasajes de términos y queda:
x2 - x = y2 - y, sumas 1/4 en ambos miembros de la ecuación y queda:
x2 - x + 1/4 = y2 - y + 1/4, factorizas los trinomios cuadrados perfectos en ambos miembros y queda:
(x - 1/2)2 = (y - 1/2)2, haces pasaje de potencia como raíz y tienes dos opciones:
b1)
+ (x - 1/2) = y - 1/2, de donde despejas: x = y,
que es la ecuación de una recta a la que el punto B(1,0) no pertenece;
b2)
- (x - 1/2) = y - 1/2, de donde despejas: - x + 1 = y,
Observa (haz un gráfico) que esta recta no pasa por puntos que no pertenecen al dominio de a función.
que es la ecuación de una recta a la que el punto B(1,0) si pertenece.
Espero haberte ayudado.
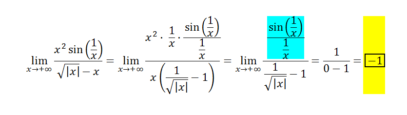
Buena Tardes, tengo una duda, me gustaría saber como se realizo en factor común en la parte de abajo que no lo entendí, muy bien y de verdad le pido disculpas de antemano, y de como dedujo que el seno (1/x)/1/x daba 1, si el limite tiende a infinito y no a cero. Muchas Gracias :) ![]()
Hola ! Alguien me Purdue decir la formula de las Funciones
inversa
parabola
lineal