no entiendo este ejercicio... (1º ESO) La unidad va sobre las tablas (plano cartesiano etc...) y las gráficas. Alguien me ayuda? Gracias por leer :)
Indica si la gráfica de cada una de las siguientes funciones pasa por el punto (2,3)
a) y= 2x-1
b) y=2·(x-1)
c)y=3
d)y=x² -1

Observa que las coordenadas del punto son: x = 2, e y = 3. Luego, solo se trata de reemplazar en cada ecuación, y puedes tener dos casos:
1) si te queda una igualdad (identidad) Verdadera, tienes que el punto pertenece a la curva,
2) si te queda una igualdad (identidad) Falsa, tienes que el punto no pertenece a la curva.
a) Reemplazas y queda:
3 = 2(2) - 1, resuelves y queda: 3 = 3, que es una identidad Verdadera, por lo que el punto pertenece a la curva (en este caso recta).
b) Reemplazas y queda:
3 = 2*(2 - 1), resuelves y queda: 3 = 2, que es una identidad Falsa, por lo que el punto no pertenece a la curva (en este caso recta).
c) Reemplazas y queda:
3 = 3, que es una identidad Verdadera, por lo que el punto pertenece a la curva (en este caso recta).
d) Reemplazas y queda:
3 = 22 - 1, que es una identidad Verdadera, por lo que el punto pertenece a la curva (en este caso parábola).
Espero haberte ayudado.
¿Cómo compararían los libros antiguos de matemáticas con los libros modernos?
En los últimos días me he estado preguntando acerca de los libros de matemáticas de la antigüedad, por ejemplo los bien conocidos Elementos de Euclides. Miré algunas páginas de los Elementos originales de Euclides, pero por supuesto no pude entender nada debido a la lengua griega. Sin embargo, algunas preguntas básicas vinieron en mi mente:
¿Cómo se compararían los Elementos de Euclides (o antiguos libros de matemáticas en general) con los modernos libros de la escuela secundaria / universidad?
Para especificar lo que quiero decir con comparar, déjame darte algunos criterios:
Este mar estuvo tan revuelto que ninguna cuantificación será concluyente.
http://www.nationalgeographic.com.es/historia/grandes-reportajes/la-biblioteca-de-alejandria_8593 <--------MUY interesante
https://es.wikipedia.org/wiki/Euclides <------------Súmale 3 hipótesis que barajan algunos autores árabes según wikipedia y las que dirían los romanos o los califas conquistadores de turno en su día más sus secuaces, tergiversaciones de conclusiones científicas por no convenir con la concepción que convenía a los poderosos, etc etc...
La guerra y la religión malinterpretada lo enturbió/enturbia todo (espero que el pasado y el presente no contagien al futuro).

Observa que la figura es un polígono irregular con seis lados, que puede ser dividido en dos rectángulos.
Luego, observa que para su perímetro planteamos:
P = x + y + (x - 5) + 5 + 5 + (y - 5) = x + y + x - 5 + 5 + 5 + y - 5 = 2x + 2y.
Para el área del rectángulo coloreado en amarillo planteamos:
Aa = (x - 5)*y = x*y - 5*y.
Para el área del rectángulo coloreado en verde planteamos:
Av = 5*(y - 5) = 5*y - 25.
Y para el área del polígono de la figura planteamos:
A = Aa + Av = x*y - 5*y + 5*y - 25 = x*y - 25.
Luego, con los datos del enunciado, planteamos: P = 42 cm y A = 73 cm2, y queda el sistema de ecuaciones:
2x + 2y = 42
x*y - 25 = 73
dividimos por 2 en todos los términos de la primera ecuación, hacemos pasaje de término en la segunda y queda:
x + y = 21, de donde despejamos: y = 21 - x (1)
x*y - 98 = 0,
sustituimos la expresión señalada (1) en la segunda ecuación y queda:
x*(21 - x) - 98 = 0, distribuimos el primer término y queda:
21*x - x2 - 98 = 0, multiplicamos por - 1 en todos los términos, ordenamos términos y queda:
x2 - 21*x + 98 = 0, que es una ecuación polinómica cuadrática cuyas soluciones son:
a) x = 7 cm, reemplazamos en la ecuación señalada (1) y queda: y = 14 cm;
b) x = 14 cm, reemplazamos en la ecuación señalada (1) y queda: y = 7 cm.
Luego, observa que tienes dos soluciones posibles, para las que tienes todo para calcular las longitudes de los lados del polígono irregular.
Espero haberte ayudado.
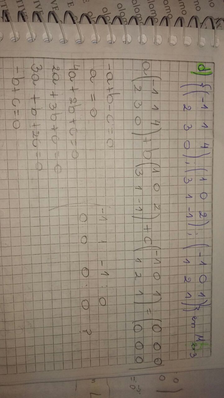
Holaaa, el numero 5 cómo demostraría en forma general ? . el ejercicio numero 4 que me dice que verifique si es LI o LD ya hice, pero siempre debo utilizar el metodo de Gauss para con las ecuaciones resultantes ? por que no puedo usar el metodo de sustitución, igualación, reducción, en caso de tener 3 ecuaciones, si una variable ya me dice que es cero, por ejemplo a=0, porque al colocar en la matriz tendría una fila 0 0 0: 0 por ejemplo, ? por favor
Hola, alguien me puede ayudar con el ejercicio a) , muchas gracias, es una parte importante del examen que no logro entender
Hola por favor alguien me puede ayudar a solucionar este ejercicio? No pudimos hacerlo en clase y es el modelo que nos ha puesto la uned para el examen de mayo, gracias!!!

6) f=c/λ =>3·108/0,2·10-6= 1,5·1015 Hz
7)We=hfo =>2,29·1,6·10-19=6,67·10-34·fo=>f0=5,53·1014 Hz
fo
8) λ=0,02·10-6 m => E=h·c/λ=9,94-18J=62,5 eV
Ecm=62,5-2,29=60,24 eV
Algo mal hay en los datos de este apartado, revísalo
Viste los vídeos de cuantica?
Efecto fotoeléctricoHola.
Alguien puede por favor ayudarme en el tema de cónicas...
En un ejercicio en particular...
Gracias de antemano

Hola, viste los vídeos de elipses?
Elipse
A partir de ahí, se trata de que DESPUES DE IR A CLASE (ver los vídeos
relacionados con vuestras dudas) enviéis dudas concretas, muy concretas. Y que
nos enviéis también todo aquello que hayais conseguido hacer por vosotros
mismos. Paso a paso, esté bien o mal. No solo el enunciado. De esa manera
podremos saber vuestro nivel, en que podemos ayudaros, cuales son vuestros
fallos.... Y el trabajo duro será el vuestro. Nos cuentas ¿ok?