Foro de preguntas y respuestas de Matemáticas

logo beUnicoos
Los foros de unicoos se han unificado en nuestra nueva plataforma beUnicoos. Para dejar nuevas preguntas deberás hacerlo allí, donde además podrás encontrar nuevas asignaturas y herramientas para ayudarte más con tus estudios.

  • icon

    Daniel Ochoa
    el 20/3/17

    1. Me podrían ayudar con estos dos ejercicio: 1. de rectangular a polar y expresar r en funcion de theta:
      x^2+(y+1)^2=(sqrt(x^+y^2))+1

    2.De polar a rectangular:
    theta=pi/6


    replythumb_up0 voto/sflag
    icon

    Antonius Benedictus
    el 20/3/17

    Foto del enunciado original, por favor.

    thumb_up0 voto/sflag
    icon

    Daniel Ochoa
    el 20/3/17

    lo volvere a subir

    thumb_up0 voto/sflag
  • icon

    nohelia catalina fuentes cruz
    el 20/3/17


    hola

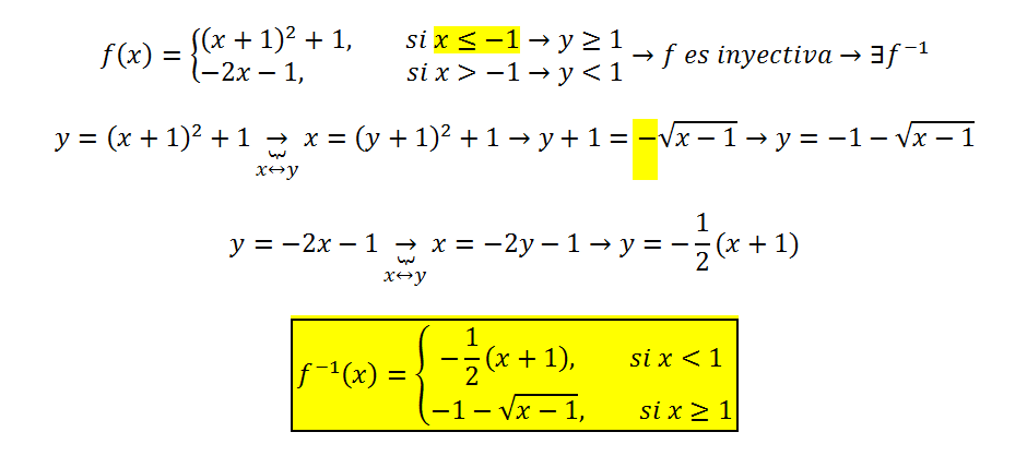
    pueden decirme porfavor si estan bien desarollado el sistema y cuantas solucionea posee gracias

    replythumb_up0 voto/sflag
    icon

    Ángel
    el 20/3/17

    Al principio es -2x= -2-------> x=1                

    y NO x=-1, porque -12+10=-2   y NO +2, como pusiste


    Posee una solución para cada incógnita

    x=1

    y=2

    z=1 

    thumb_up0 voto/sflag
  • icon

    Rodrigo Andrés Cortés Donoso
    el 20/3/17

    Hola podrian ayudarme con estos ejercicios?, que no logro entenderlos

    replythumb_up0 voto/sflag
    icon

    Antonius Benedictus
    el 20/3/17


    thumb_up0 voto/sflag
    icon

    Antonius Benedictus
    el 20/3/17


    thumb_up0 voto/sflag
  • icon

    Lola
    el 20/3/17

    Hola,que significa calcular el limite por evaluación directa?

    replythumb_up0 voto/sflag
  • icon

    Lola
    el 20/3/17

    Hola,podrian ayudarme en como se grafican?


    replythumb_up0 voto/sflag
    icon

    Antonius Benedictus
    el 20/3/17

    http://www.jorge-fernandez.es/proyectos/angulo/temas/indice.html

    thumb_up0 voto/sflag
  • icon

    Lola
    el 20/3/17

    Hola,podrian ayudarme en como se grafican?


    replythumb_up0 voto/sflag
    icon

    Antonius Benedictus
    el 20/3/17

    Busca aquí. Está todo (y más):

    http://www.jorge-fernandez.es/proyectos/angulo/temas/indice.html

    thumb_up0 voto/sflag
  • icon

    Lola
    el 20/3/17

    Hola,como verifico paso a paso si estas funciones son o no son pares?

    a)f(x)= x∧2  b) f(x)=e∧x   c) f(x)=cos x

    replythumb_up0 voto/sflag
    icon

    Ángel
    el 20/3/17

    a) f(x)=x2

     f(-x)=(-x)2= x=f(x)

    ES PAR

    thumb_up0 voto/sflag
    icon

    Ángel
    el 20/3/17

    b) f(x)=ex

    f(-x)=e-x= 1/ex

    NO ES PAR NI IMPAR

    thumb_up0 voto/sflag
    icon

    Ángel
    el 20/3/17

    c) f(x)=cos x

    f(-x)=cos -xcos x =f(x)

    ES PAR

    thumb_up0 voto/sflag
  • icon

    Lola
    el 20/3/17

    Hola,como verifico paso a paso si estas funciones son o no son impares?

    a) y=x∧3  b)y=ln x  c) y=sen x 

    replythumb_up0 voto/sflag
    icon

    Ángel
    el 20/3/17

    http://www.vitutor.com/fun/2/a_10.html

    a) f(x)=x3

    f(-x)= (-x)3= -x3= -f(x)

    ES IMPAR 


    thumb_up0 voto/sflag
    icon

    Ángel
    el 20/3/17

    b) f(x)= ln(x)

    f(-x)= ln(-x)

    No es par, es decir: f(-x) f(x)

    ni impar, o lo que es lo mismo: f(-x) -f(x)

    thumb_up0 voto/sflag
    icon

    Ángel
    el 20/3/17

    f(x)=senx

    f(-x)= sen(-x)= -sen(x)= -f(x)

    ES IMPAR

    thumb_up0 voto/sflag
  • icon

    Rene Rojas
    el 20/3/17

    Hola, me puede ayudar con este ejercicio

    como se factoriza este polinomio

    x^9+2x^2-x-2


    replythumb_up0 voto/sflag
  • icon

    itziar
    el 20/3/17

    Holaa, necesito ayuda con esta derivada. Me han dicho el resultado en clase pero no sé como llegar hasta él. Muchas gracias!!

    replythumb_up1 voto/sflag
    icon

    Antonius Benedictus
    el 20/3/17


    thumb_up0 voto/sflag